Showing 120 of 120on this page. Filters & sort apply to loaded results; URL updates for sharing.120 of 120 on this page
2012 On The Neumann Function and The Method Ofimages in Spherical and ...
Answered: where je (x) is the spherical Bessel function of order , and ...
Solved 7.5 Prove that the spherical Bessel and Neumann | Chegg.com
Solved Prove that the spherical Bessel and Neumann functions | Chegg.com
2. The 2nd Neumann eigenfunction on spherical cap. | Download ...
Applying the Spherical Bessel and Neumann Functions to a Free Particle ...
The von Neumann entropy as a function of α for L = 2 states of two ...
Neumann system, spherical pendulum and magnetic fields
(PDF) Three-particle integrals with spherical Bessel and Neumann ...
(PDF) Accurate recursive generation of spherical Bessel and Neumann ...
Spherical Bessel Function of the First Kind -- from Wolfram MathWorld
Lec 29 Pulsating sphere using the exterior Neumann Green function - YouTube
SOLVED: The generating functions for the spherical Bessel and Neumann ...
Spherical Bessel Function of the Second Kind -- from Wolfram MathWorld
SOLUTION: Neumann Function and Examples notes - Studypool
Setting parameters for spherical symmetry with Neumann boundary ...
Illustration of the image system for the interior Neumann function Nair ...
Illustration of the image system for the exterior Neumann function Naer ...
1. Recovering a function from spherical means. Suppose that the ...
The shape of Spherical function | Download Scientific Diagram
A spherical function expressed as a linear combination of spherical ...
Maps of the potential in Neumann function construction for the ...
Speed curves on the spherical function | Download Scientific Diagram
wave equation - Neumann functions of integer order - are they undefined ...
c), is determined by the zeros j n,l of the spherical Bessel functions ...
Lec 33 Sound radiation from a spherical cap on a rigid sphere using the ...
(a) Find the s-wave phase shift, as a function of wave number k, for a ...
2: Cylindrical Bessel and Neumann functions for m = 0, 1, 2 and 3 ...
3 Neumann Functions Bessel Functions of the 2
Harmonic Representation of Spherical Functions | MTEX
PPT - Spherical Extent Functions PowerPoint Presentation, free download ...
Mode Analysis in a Spherical Resonator
Neumann's Function - YouTube
Spherical Bessel function: bile) = (-2)* (Sina (3) | Chegg.com
Free Particle Schro Eqn Spherical Coordinates | PDF | Atomic Nucleus ...
Griffiths QM (3rd edition) Problem 4.7 Solution: Construct spherical ...
Spherical function. | Download Scientific Diagram
Solved Problem 4Prove that the spherical harmonic wave | Chegg.com
Geometry of the interior Neumann boundary problem for the ellipsoid and ...
Special Functions: Bessel Functions of Half-Integral Order & Spherical ...
6.: Spherical harmonic functions up to order n = 1. The surfaces ...
Resonances, waves and fields: Spherical harmonics
(Solved) - The propagation of spherical electromagnetic waves is ...
Spherical Plot -- from Wolfram MathWorld
(PDF) Image Theory for Neumann Functions in the Prolate Spheroidal Geometry
finite element method - Laplace's equation in spherical coordinates ...
Figure 1 from A Spherical Far Field HRIR/HRTF Compilation of the ...
Solved 1. Determine the state function of the free particle | Chegg.com
Comparison of the behavior of the order parameter as a function of ...
Types of spherical harmonics. Left: sectoral spherical harmonic (a ...
Spherical Mean Functions at Hunter Langham blog
Spherical Harmonic Solution of the Robin Problem for the Helmholtz ...
Spherical plots of spherical harmonics for l = 0, 1, 2, 3 and m = −l ...
Solved Spherical HarmonicsFor normalised functions over all | Chegg.com
Spherical Bessel Differential Equation -- from Wolfram MathWorld
SphericalCurve | Wolfram Function Repository
Spherical harmonics functions for n and m | Download Scientific Diagram
The Result of Sphere Function | Download Table
8. Real part of diffracted field for a sphere of radius 3 with Neumann ...
Sphere Function
Figure 5.3 — Spherical Bessel functions — Optical Tweezers: Principles ...
Paper: Comparing Approaches to the Spherical and Planar Single Layer ...
PPT - 8.1 Spherical Coordinates 8.2 Schrödinger's Equation in Spherical ...
The statistical graph for spherical data of conventional and proposed ...
GitHub - Reuben-Allen/spherical_harmonics: Plots spherical harmonic ...
A schematic diagram depicting the spherical geometry and evaluation of ...
Spherical harmonics - Wikipedia
Exploring Spherical Bessel Functions and Physical Approximations ...
球面調和関数を用いた3次元波動方程式の解【音響理論基礎】 | もろみ先輩の日常
PHYSICS 621 Simulations
PPT - RF Engineering Introduction PowerPoint Presentation, free ...
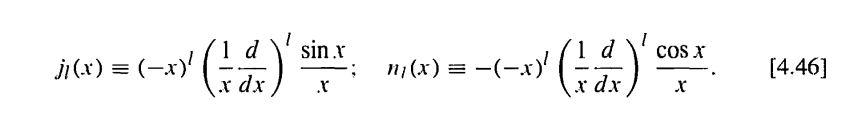
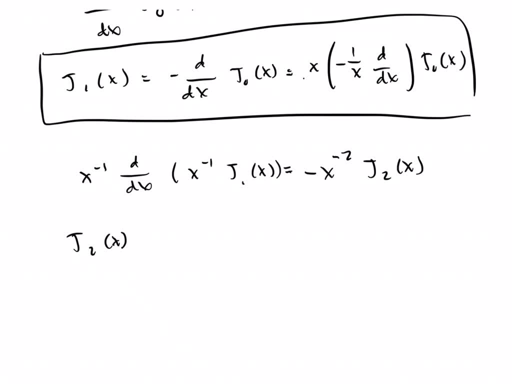
(a) From the definition (Equation 4.46), construct | Chegg.com
GitHub - GhostZman/Spherical-Bessel-and-Neumann-Function-Calculations
Three-dimensional view of sphere function. | Download Scientific Diagram
Finding the Limits for Small and Large Rho of a Free Particle - dummies
SphericalPlot3D—Wolfram Language Documentation
PPT - Physical Chemistry 2 nd Edition PowerPoint Presentation, free ...
SOLUTION: Math 173 wave equation solutions fourier transform green s ...
PPT - The Spectral Method PowerPoint Presentation, free download - ID ...
Solved Determine the phase shifts for hard-sphere | Chegg.com
PPT - Quantum Mechanics PowerPoint Presentation, free download - ID:1403647
Partial-Wave Expansion for Plane Waves
The C Standards Committee Progress Plans February
PPT - a. Coordinate System PowerPoint Presentation, free download - ID ...
In this problem, we consider a mass m confined to lie | Chegg.com
quantum mechanics - Regular solution vs irregular solution - Physics ...
The sphere-induced vacuum energy density for a minimally coupled D = 3 ...