Showing 120 of 120on this page. Filters & sort apply to loaded results; URL updates for sharing.120 of 120 on this page
Neumann formula for Mutual inductance - YouTube
Neumann formula for mutual inductance - YouTube
Q5) (a) Using the Neumann formula M = (μ0)/(4π)∮∮(I1 · I2)/(r ...
Solved 3- Drive the Neumann integration formula which used | Chegg.com
(PDF) Implementation of the Neumann formula for calculating the mutual ...
SOLVED: (a) Use the Neumann formula (Eq. 7.22 ) to calculate the mutual ...
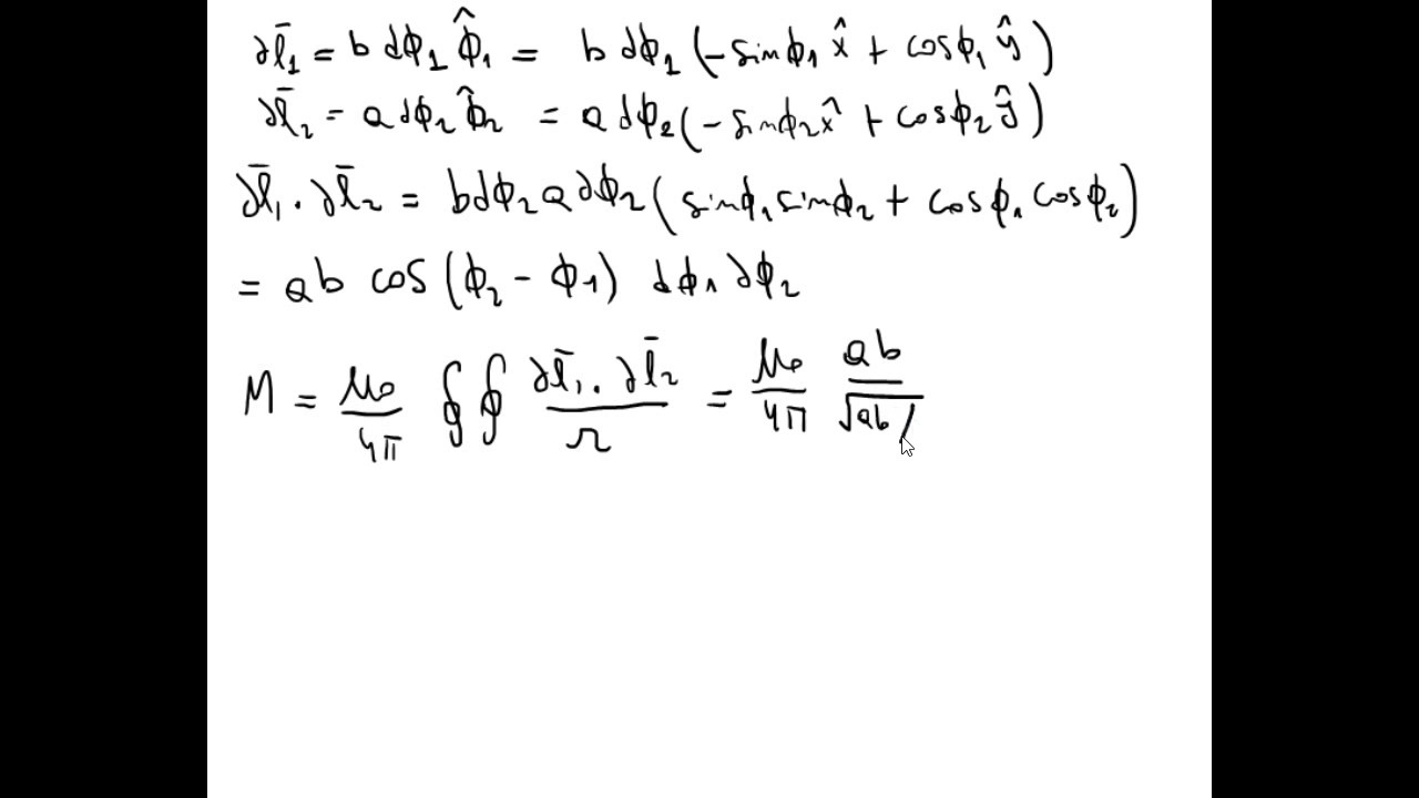
L 8 Neumann formula for mutual inductance of two coils and reciprocity ...
393 Electromagnetismo - Electrodinámica - Formula de Neumann bucle ...
Mutual & Self Induction animation and explanation of Neumann formula ...
Implementation of the Neumann formula for calculating the mutual ...
SOLVED:(a) Use the Neumann formula (Eq. 7.22 ) to calculate the mutual ...
Mutual Inductance explained by Neumann Formula - YouTube
SOLVED:(a) Use the Neumann formula (Eq. 7.22) to calculate the mutual ...
Solved ChapterProblem 7.56(a) Use the Neumann formula | Chegg.com
MIND TWISTING Formula in ElectroMagnetic Induction || Neumann Formula ...
SOLVED:(a) Use the Neumann formula (Eq. 7.23) to calculate the mutual ...
Integral Equation Neumann Series -- from Wolfram MathWorld
Von Neumann Equation Solved Apply Von Neumann Analysis, And Show That
Solution of Liuouville-von Neumann equation - YouTube
1. Develop an algorithm based on the discretization of the Neumann ...
Solved Use a von Neumann stability analysis to show for the | Chegg.com
345 Electromagnetismo - Electrodinámica - Inductancia mutua y formula ...
Mutual Inductance- Definition, Explanation, Formula
Mutual Inductance: Definition, Formula & Solved Problems
Notes on Mutual Induction - Derivation & Formula
Solved 2) Use the von Neumann stability analysis to | Chegg.com
Electro Magnetic Fields (EMF), Inductance in Electro Magnetics, Neumann ...
3 Neumann Functions Bessel Functions of the 2
use the von neumann fourier stability analysis to show that a simple ...
Harvard and Von Neumann Architecture explanation with block diagram
John Von Neumann Math Equations
PPT - 3. Neumann Functions, Bessel Functions of the 2 nd Kind ...
Inductor Formula Inductor Basics - Types of Inductor, Formula, Symbol ...
Simplified Neumann's Formula for Inductance | PDF | Inductance ...
Mutual Inductance Calculator and Formula Guide | RF Wireless World
Tema 15 - Indutores e Indutância | Aula 03 - Fórmula de Neumann - YouTube
(a) Mutual inductance extracted with the formula from [1]. (b) Our ...
Neumann's Formula l Expression for self inductance l Electromagnetic ...
How to derive the Von Neumann equation – @gcong111 on Tumblr
Inductance Formula A Practical Guide To Inductors And Inductance
Von Neumann entropy of the one-body reduced density matrix for the ...
MIT Numerical Methods for PDE Lecture 7: von Neumann stability analysis ...
von Neumann stability analysis for advection hyperbolic equation - YouTube
Boundary-value problems of potential theory. Dirichlet and Neumann ...
☑ Formula For Mutual Inductance
Von Neumann Model Diagram Von Neumann Vs Harvard : Introduction To The
PPT - Chapter 7 Electrodynamics PowerPoint Presentation, free download ...
PPT - O.DROSU Field ANALYSIS AND MODELING PowerPoint Presentation, free ...
2 magnetismo
PPT - Method of Lines PowerPoint Presentation, free download - ID:5177857
Mutual Inductance: Definition, Formula, Symbol, and Unit
Mutual Inductance
Overview of Electrical Engineering - ppt download
Mutual Inductance - Formula, Definition, Solved Examples
Mutual inductance between two coils. | Download Scientific Diagram
Mutual Inductance of Two Adjacent Inductive Coils
Mutual inductance between two long air cored solenoid l Neumann's ...
Mutual Inductance : Theory, Formula, Derivation & Its Applications
What is Mutual Inductance? definition and explanation - Circuit Globe
Mutual inductance - Definition, Formula, Derivation
Solved Consider two coaxial, circular loops of wire radii a | Chegg.com
Assigning R/S To Newman Projections (And Converting Newman To Line ...
Physics - Electromagnetic Induction: Faraday's Law and Lenz's Law (1 of ...
Mutual Inductance Derivation for Loops | PDF | Mathematical Analysis ...
Mutual Inductance: Formula, Definition and Solved Examples
08电感基础知识_纽曼公式-CSDN博客
Electromagnetic Induction 4/ Mutual Inductance ~ sp025 rohit
Mutual Inductance Calculations: Maxwell's Method
Geometrical setup for numerical computation: a) The mutual inductance ...
PPT - Elettrodinamica 1 29 settembre 2014 PowerPoint Presentation, free ...
Physics - E&M: Inductance (1 of 20) Mutual Inductance Explained - YouTube
L 6 Energy stored in an inductor & Self inductance of a coil (Neumann ...
electromagnetism - Calculate forces between two flat coils - Electrical ...
UPB ETTI O DROSU ELECTRICAL ENGINEERING 2 Lecture
Lei De Faraday Da Equacao De Inducao Eletromagnetica
Simplified Mutual Inductance Calculation of Planar Spiral Coil for ...
7.2 - Electromagnetic Induction - My Docs
Mutual Inductance - Implement inductances with mutual coupling - Simulink
Notes on Frequently Asked Questions On Mutual Inductance!
microeconomics - Von Neumann-Morgenstern Utility Theory Question ...
Mutual inductance versus x coordinate for three separating distances ...
An Effective Method for Calculation of Mutual Inductance Between ...
Mutual inductance calculation for coils with misalignment in wireless ...
transformer - What precisely is the numerical (or any) meaning of ...
Unit-3:Magnetostatics | PPT
Inductor : Mutual Inductance
1. Wave equation. Consider the wave equation on the finite interval (0 ...
Theoretical mutual inductance in function of the distance for the ...