Showing 120 of 120on this page. Filters & sort apply to loaded results; URL updates for sharing.120 of 120 on this page
Solving Separable Differential Equations: Integrals and Implicit ...
Question Video Solving A Separable Firstorder Differential Equation 1.
PPT - 6.2 Integration by Substitution & Separable Differential ...
Solved To solve the separable differential equation dxdy=6y, | Chegg.com
Separable Differential Equations - Definition, Examples, Solution, IVP
Variable Separable | PDF | Ecuaciones | Integral
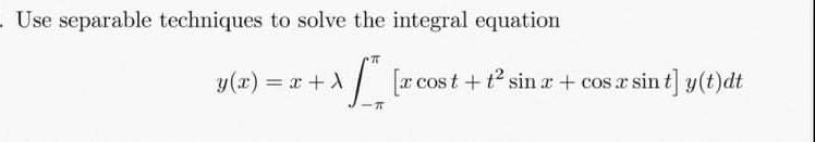
Solved Use separable techniques to solve the integral | Chegg.com
integration - Understanding the Step of Solving Separable Equations ...
Lecture 3 Separable Equations | PDF | Equations | Integral
Week 014 Separable Differential Equations Examples | PDF | Equations ...
When solving the separable differential equation dy eya?, dx the ...
Separable Differential Equations - GeeksforGeeks
PPT - Separable Differential Equations PowerPoint Presentation, free ...
Solved (1 point) To solve the separable differential | Chegg.com
Unit 7.3 - Solving Separable Differential Equations to Find General and ...
Solved To solve the separable differential equation dxdy=8y | Chegg.com
Separable First Order Differential Equations - Basic Introduction - YouTube
Solved To solve the separable differential equation 3e^4x | Chegg.com
Solved To solve the separable differential equation dxdy=2y, | Chegg.com
Solving Separable Differential Equations | Steps & Examples - Lesson ...
Examples of Separable Differential Equations Explained Simply
Solved To solve the separable differential equation 22 dy 1 | Chegg.com
Solved (6 pts) To solve the separable differential equation | Chegg.com
point to solve the separable differential equation dy ycosx 8 cosx dx ...
Solved a. To find the general solution to the separable | Chegg.com
Solved To solve the separable differential equation x2/y2 - | Chegg.com
Separable Differential Equation - CBSE Class 12 Maths
Solved To solve the separable differential equation X2/y2-5 | Chegg.com
Solved Problem 4. Solving separable ODE as an integral | Chegg.com
Separable Differential Equations Tutorial - YouTube
Solved (9 points) To solve the separable differential | Chegg.com
SOLVED: (20 points) To solve the separable differential equation x2 dy ...
Solved To solve the separable differential equation | Chegg.com
Separable Equations
Solved To solve the separable differential | Chegg.com
Solved 12. (6 pts) To solve the separable differential | Chegg.com
How to solve separable differential equations (6 examples, calculus 2 ...
Separable Differential Equations
Solved To solve the separable differential equation 2y1 we | Chegg.com
Solved To solve the separable differential equation x2/y2−4 | Chegg.com
Consider the separable initial value problem (dx)/(dt)
Calculus Help: Separable Differential Equations - (1+cscx) dy=dx or ...
Solved To solve the separable differential equation we must | Chegg.com
Solved 3. Solve the integral equation using the separable | Chegg.com
2.2: Separable equations 5 - integral and implicit solutions - YouTube
Solving separable differential equations - YouTube
Module 7 Separable and Homogeneous | PDF | Equations | Integral
Solved The following differential equation is separable as | Chegg.com
General method for solving integral equation of separable Kernel ...
Solving Separable First Order Differential Equations - YouTube
Differential Equations 7 7 3 Separable Equations Separable
Tutorial: How to solve a Fredholm Integral equation with a separable ...
Separable Differential Equations by Mr Sutton Presents | TPT
Separable Differential Equations: An In-Depth Analysis - Blog ...
Ecuaciones Diferenciales Ordinarias Reducibles A Variable Separable ...
The World of Separable Differential Equations - Effortless Math: We ...
Solving Fredholm's Integral equation with separable Kernel Exact method ...
Solved To solve the separable differential equation dy / dx | Chegg.com
Separable Differential Equations Guide | PDF | Equations | Integral
Solved Example Problems based on p.d.e Type 4 Separable equations ...
SOLVED: Exercise Suppose € p(t) is an integral curve for the separable ...
Separable Equations - Calcworkshop
Integrals / Integral Calculus - Statistics How To
Solved To solve the separable differential equation 8 yy' = | Chegg.com
Solved To solve the separable differential equation dy/dx-9y | Chegg.com
Question Video: Solving a First-Order Separable Differential Equation ...
Separable Differential Equations Guide | PDF | Equations | Differential ...
PPT - Utilizing Integral and Separable Dimensions in Data Visualization ...
Variable Separable Differential Equation |Grade 11 Stem | Integral ...
Answered: To solve the separable differential equation ૨૨ dy y² - 6 dx ...
Changing variables in separable DEs — Krista King Math | Online math help
How to easily solve Separable Differential Equations (integration by ...
Solved (I) Separable. All of the limits of integration are | Chegg.com
PPT - Lecture 5: Imaging Theory (3/6): Plane Waves and the Two ...
PPT - DIFFERENTIAL EQUATIONS PowerPoint Presentation, free download ...
Solved solve the integral equation : using the following | Chegg.com
MSc S2 Physics- Integral equations- Part 11-Separable Kernel method ...
Why can't dy/dx technically be manipulated algebraically? : r/math
integration - Understanding a simple differential equation using ...
PPT - Differential Equations PowerPoint Presentation, free download ...
Integral Equations-Separable kernel- Problem 1-Video 7 - YouTube
Differential Equations
Answered: (3 points) To solve the separable… | bartleby
Separation of Variables -- from Wolfram MathWorld
Engineering Analysis I - ppt download
Solved Solve the following integral equation using the | Chegg.com
Separation of Variables to Solve Differential Equations | A-Level Maths ...
Notes 8 ECE 3318 Applied Electricity and Magnetism Coulomb’s Law II ...
PPT - Visual Perception: Insights Into Retina, Magntitude Estimation ...
Differential Equations Separation Of Variables at Patrick Purcell blog
Solved If separable, verify by setting up the integrals, | Chegg.com
Answered: a. Which of the following differential equations are ...
Solved PLEASE JUST WRITE THE ANSWERS NEEDED IN BOXES AND | Chegg.com
(PDF) Separable/integral classification by hyperactive and normal children