Showing 120 of 120on this page. Filters & sort apply to loaded results; URL updates for sharing.120 of 120 on this page
Integral Action and PI Control – Control Guru
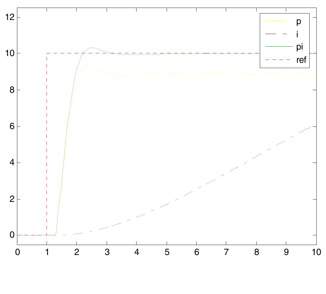
Control action of PI+CI and PI controllers with the step response for ...
Feedback control loop, P PI PID controller | PPT
PROPORTIONAL-INTEGRAL (PI) CONTROL and response of PI controller (For ...
2: Step response with PI control 3: Effect of k I on step response ...
PI control response. | Download Scientific Diagram
Solved A feedback control system with a PI | Chegg.com
P PI PD and PID controllers | Control systems engineering, Basic ...
15.2: Examples of P and PI Control - Engineering LibreTexts
Solved 2. A control system with PI control is shown in | Chegg.com
PID Control System Response Curves, P Vs PI Vs PID Responses Explained ...
Example of PI Control or the system given below, two | Chegg.com
Proportional Integral (PI) Control
PID Controllers Explained – Control Notes
Step response for PI controller. | Download Scientific Diagram
Step response with classical PI controller | Download Scientific Diagram
12: Step response with PI controller with parameters K p = 0.05 and T i ...
PID Controllers Explained | Control Notes
PPT - Lesson 17: Combined Mode Control PowerPoint Presentation, free ...
Block diagram of PI controller [7] PI controller's transfer function ...
Step response of the PI control. | Download Scientific Diagram
System Identification ⭐ PI Controller ⭐ Step Response ⭐ Calculation ...
PID “Proportional, Integral, and Derivative” Control Theory
The Proportional Plus Integral (PI) Control Systems
Introduction to Proportional Integral (PI) Control - YouTube
Step response of the conventional PI controller. | Download Scientific ...
PPT - CHE 185 – PROCESS CONTROL AND DYNAMICS PowerPoint Presentation ...
Basic block of PI controller. The basic block of PI controller ...
PI Controller block diagram. In PI controller due to presence of the ...
PI controller response comparisons | Download Scientific Diagram
A comparison in simulation of (a) step response of the linear PI and ...
Derivative Control Explained-CSDN博客
Types of Controller | I, D, PD, P, PI, PID Control - Engineeringa2z
9.3 Proportional + Derivative Control – Introduction to Control Systems
PPT - Feedback Control PowerPoint Presentation, free download - ID:627719
c - Understanding the flow of a PI Controller? - Electrical Engineering ...
Beginners Guide: PID Control | The Jungle Technologia
Structure of a PI controller [2] | Download Scientific Diagram
Solved Figure 11.6: PI controller circuit 2. Plot the | Chegg.com
Comparison of the four PI controllers in terms of the step response ...
PI current controller: step response at R a =150%. | Download ...
Response of PI controller | Download Scientific Diagram
-4. step response | and pi controller
Solved Design a PI controller to drive the step response | Chegg.com
Reference response for PI control, kc = 10 | Download Scientific Diagram
Response with I and PI controller ( | Download Scientific Diagram
(a) Response of the designed PI controller to set point change. (b ...
Step response with the PI controller | Download Scientific Diagram
System response of PI controller for changes in the operating point ...
Step response of PI controller | Download Scientific Diagram
9.1 Introduction – Introduction to Control Systems
PID Control explained - Learnchannel-TV.com
Response of PI controller. | Download Scientific Diagram
PI controller response of a sinusoidal reference signal with and ...
Voltage and Current Response of PI and Fuzzy Logic Controller at ...
PI traditional controller, response of the desired current I L 3 ( t ...
Simulation response of PI controller. | Download Scientific Diagram
(a) PI controller response with deadzone compensation of a sinusoidal ...
PI controller response and fluctuation diagram In Figure 23 shows the ...
DC Side controller Step response of PI and IP | Download Scientific Diagram
Simulation step response a changed P of the PI controller with fixed I ...
PID Control System Explained: Principles, ICs, and Applications
PD Controller vs PI Controller in Engineering - Key Differences and ...
Solved 1. Design a PI controller to drive the step response | Chegg.com
Block diagram representation of a PI controller where the ′ difference ...
PID controller, P, I and D control Comparison PI, PD and PID Controller ...
Closed-loop response with the identified PI controller (32). | Download ...
What is PID Controller & How it Works? - Electrical Technology
Step Response of a Proportional-Integral (PI) Controller | Download ...
What is Proportional Integral (PI) Controller - Electronics Coach
System Response of P,PI& PID Controller tuned with Process Reaction ...
The P, PI, PID controller Vs. Step response | Download Scientific Diagram
PID Controller Response with different Input Signals
PID controller implementation using Arduino
SOLVED: The following diagram shows the typical response of different ...
PPT - PID Controllers PowerPoint Presentation, free download - ID:9333350
PPT - Chapter 8 PowerPoint Presentation, free download - ID:1208432
How Does a PID Controller Work? - Structure & Tuning Methods
Regulador PID
Basics of PID Controllers: Working Principles, Pros & Cons
Working with STM32 and PID Controller Part 1: Theory of PID ...
Diagram of the proportional-integrative (PI) control. | Download ...
Question 8 PID Controller Design by Pole Placement, Response...
Solved 6. A proportional-integral ("PI") controller is used | Chegg.com
Closed Loop Response for PI-Control(Proportional Integral)| Process ...
Use of different types of Controllers in Chemical Industry.pptx
-Step response of a PI-controller [2] | Download Scientific Diagram
Pid Controller Real Life Examples at Antoinette Roy blog
Hardware Implementation of Proportional Integral (PI) Controller | CS ...
PPT - 5. Application Examples PowerPoint Presentation, free download ...
Proportional integral (PI) controller | Download Scientific Diagram
PPT - Lecture 6 Modeling in Digital Form PowerPoint Presentation, free ...
2: Step response of P, PD, and PID controllers | Download Scientific ...
Principles of PID Controllers | Zurich Instruments
Achieving Precision with PID Controller
PID Controller LCS-Lab # ppt download
PID Controller : Working, Types, Advantages & Its Applications
Introduction to PID — FIRST Robotics Competition documentation