Showing 120 of 120on this page. Filters & sort apply to loaded results; URL updates for sharing.120 of 120 on this page
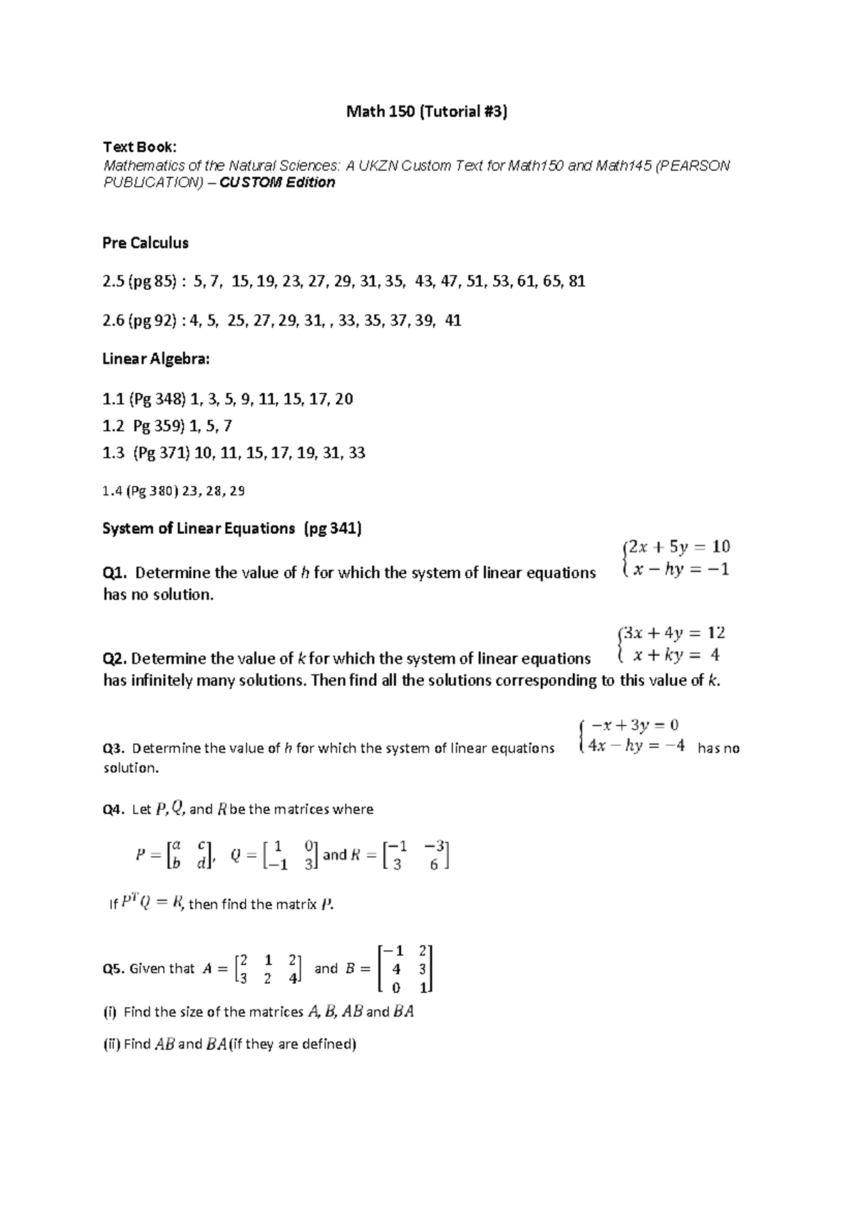
Math 150: Tutorial 3 - Precalculus & Linear Algebra Exercises - Studocu
ICT 101 Discrete Math Tutorial 7: Binary & BCD Operations - Studocu
ICT 101 Discrete Math Tutorial 2: Binary to Decimal Conversion - Studocu
MATH 340 Tutorial 3: Stirling & Catalan Numbers Solutions - Studocu
MATH 340 Tutorial 4 Solutions: Linear Recurrence Relations - Studocu
MATH 323 W26 Tutorial Section 003 Exercise Sheet 9 Overview - Studocu
Math 262 Tutorial 2: Taylor Series, Expansion & Convergence - Studocu
ENG1001 Tutorial 9 - Engineering Math I - Studocu
Tutorial 9 Solutions MATH 239 Winter 2026 - Studocu
MATH 240 Winter 2026 Tutorial 12: Planar Graphs Analysis - Studocu
Video Math Lesson Online YouTube Thumbnail Template - VistaCreate
math lessons youtube thumbnail template desig | PosterMyWall
How to Make Educational Thumbnail Like Professional, Math Thumbnail ...
Easy Math YouTube Thumbnail | Design Templates
Premium PSD | Math tips youtube thumbnail design template
Learn Math YouTube Shorts Thumbnail | Learning math, Template design, Math
Math - Youtube Thumbnail Design | Thumbnail design, Youtube design ...
How to Incorporate Fun Math Drills into Daily Lessons
Smiling Math Teacher Online YouTube Thumbnail Template - VistaCreate
Pin on math | Basic math skills, Studying math, Teaching math strategies
Math Tips Youtube Thumbnail Design Template | PSD Free Download - Pikbest
Thumbnails = Writing + Design + Math - YouTube
Discrete Mathematics Tutorial 5: Group Theory Concepts - Studocu
How to Make Learning Math Exciting for Kids
Tips for Learning Math | PPTX
Mathematics Tutorial Filled Outline Vector Icon Design Illustration On ...
Fun Math Activities丨Twinkl Resources丨Canada - Twinkl
Learn Math Tutorials and Tricks
Math tutorials Stock Vector Images - Alamy
9 Math tutorials ideas | math tutorials, math tricks, teaching math ...
Mathematics Tutorial Outline Vector Icon Design Illustration On White ...
Math Tricks for Teaching Basic Math Skills
My Top 12 Favorite Interactive Websites for Teaching Math - Light Bulb ...
Free Math Tutor by math.now – Step-by-Step Math Solutions and Learning ...
5 Ways Tutors Can Make Math Lessons More Interactive - Kstudy Learning
YouTube tutorial thumbnail template | PosterMyWall
How to Make Thumbnails for YouTube Videos 2023 (Free & Easy Tutorial ...
Tutorial Thumbnails Projects :: Photos, videos, logos, illustrations ...
MATH130P1 2026: Tutorial 2 Exercises with Appendix A - Studocu
How to make a thumbnail for youtube videos | Photoshop Tutorial ...
ICT 101 Discrete Mathematics Tutorial 3: Truth Table Analysis - Studocu
MATH130W1 2026: Calculus Tutorial 8B Exercises (Week 8) - Studocu
How to Teach Math in a Fun Way
Math334W: Tutorial 4 Solutions for Q1(a) & Q2(a) Phase Portraits - Studocu
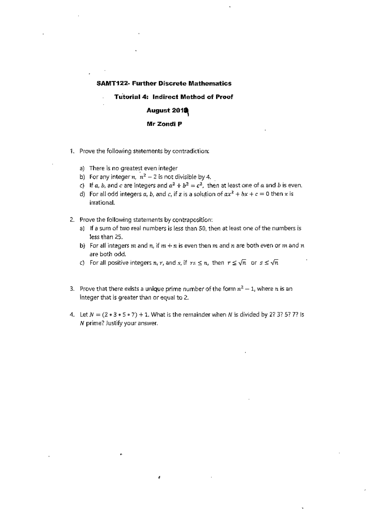
Further Discrete Mathematics: Tutorial 4 - Indirect Proof Methods - Studocu
Math Tools for Reference! - Tunstall's Teaching Tidbits
MAT112 Common Test: Business Mathematics Tutorial Notes - Studocu
ICT 101 Discrete Mathematics Tutorial 1: Number Conversions - Studocu
Educational posters for Class Playground on Behance | Math tutorials ...
MA2001 Linear Algebra I Tutorial 5: Subspaces in R4 Analysis - Studocu
Kindergarten Ramadan Activities | Lessons & Centres | Literacy, Math ...
Swinburne University Linear Algebra TUTORIAL 10: Polar & Parametric ...
MATHS 2201 Engineering Mathematics IIA Tutorial 8: Torsional ...
Addition & Subtraction: Earth Day Color By Number Math 1st & 2nd Grade
Grade 6 PAT Math Geometry & Meas | NEW AB Curriculum | Practice Test ...
Square Grid Template | Math Graph Paper | PDF & PNG | Printable & Digital
MAM1014F MAM1022F Tutorial 6: Finance Growth Factor Calculations - Studocu
Farm Kindergarten Math Digital Slides | Differentiated Centers No Prep ...
3rd Grade Geometry: Area & Perimeter Full Math Unit | 2D Shapes, Area ...
Thumbnails tutorial by Rashedjrs on DeviantArt
Tutorial: How to make Thumnails in YouTube videos - YouTube
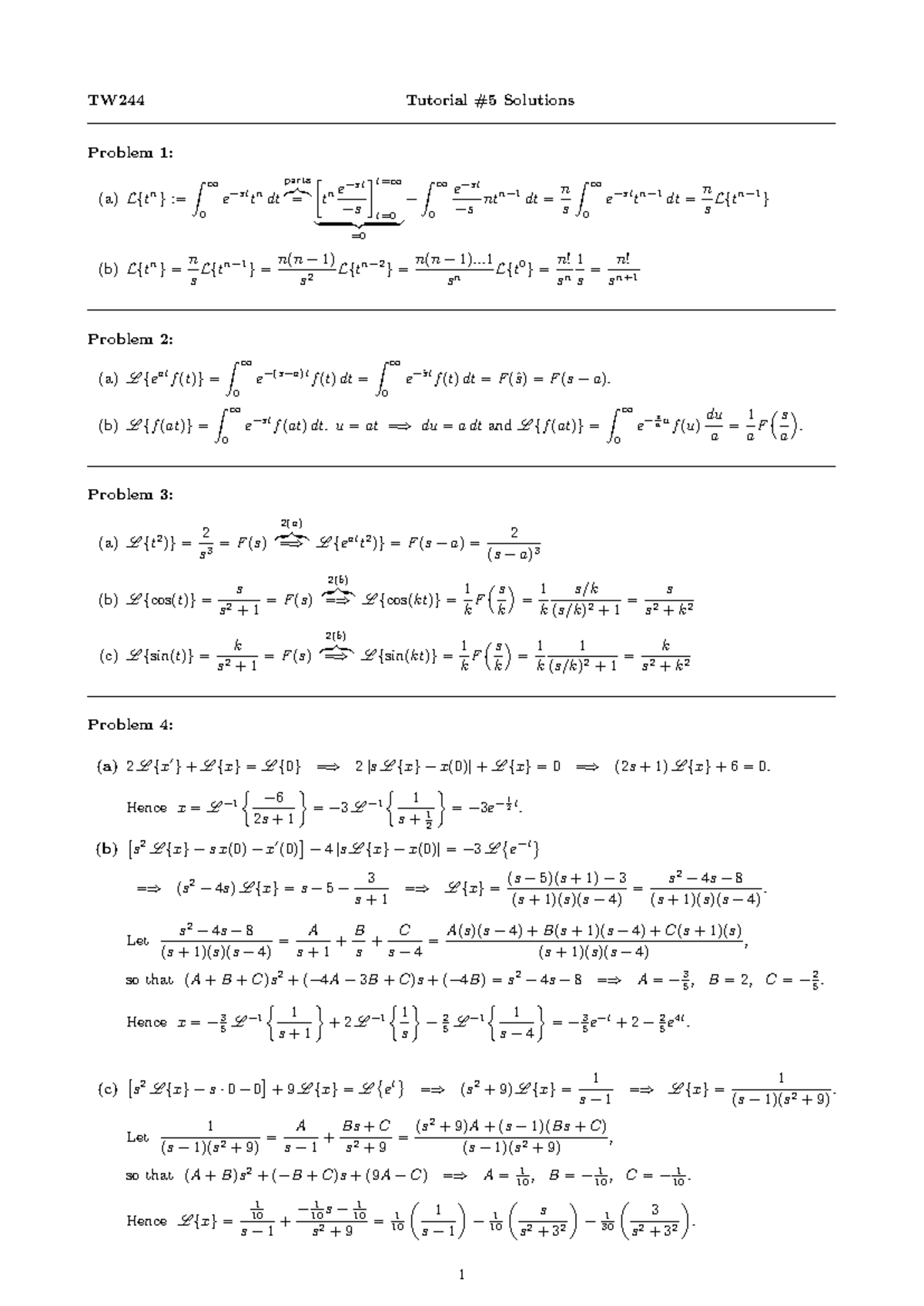
TW244 Tutorial #6 Solutions - Studocu
MATT101 Tutorial 5 - Calculus Exercises - Studocu
Amplify Desmos Math Unit 6 Lesson 8 by Hannah Fuller | TPT
Math Tips And Tricks
MA4702: Tutorial Sheet 6 - Curve Sketching & Integration Techniques ...
Summer Pixel Art Color by Code Fractions | Math Activity for Grade 2–3
Pin by Usha Sahni on Pins by you | Math tutorials, Math tricks, Basic ...
Practice Problems CHEM2501 Week 3 Tutorial on Molecular Geometry - Studocu
Mytut 7 - Linear Algebra & Applications (S1 2021) Tutorial on Geometry ...
Faithful Foundations Christian Homeschool: Math 2nd Grade: Faith-Filled ...
Earth Day Math Worksheets | Single-Digit Multiplication Code | Grades 2–4
Christmas Nonstandard Measurement Activities Math Centers First Grade
Amplify Desmos Math Unit 6 Lesson 7 by Hannah Fuller | TPT
Y2 Engineering Tutorial 2: Key Concepts and Patterns - Studocu
Algebra - Alberta Grade 7 Math | Made By Teachers
Earth Day Math Activity 4th Grade | Welcome Back from Spring Break
Pop Culture Math Emergency Sub Plan Packets & Escape Rooms After State ...
Free and customizable mathematics templates
Learn Mathematic With Children Online YouTube Thumbnail Template ...
Mathematics - Youtube Thumbnail Designs :: Behance
50,678 Maths Lessons Stock Vectors, Images & Vector Art | Shutterstock
Basic maths lessons article page Royalty Free Vector Image - Worksheets ...
Youtube Thumbnail Design mathematics | Idee
How to Make a Thumbnail for Online Teaching Introduction Video | Preply ...
How To Make Professional Youtube Thumbnails For YouTube : Full Course ...
Free and customizeable youtube thumbnail background templates - Playground
Learn Algebra, Calculus, Physics,... - Mathandscience.com | Facebook
Hands On Data and Graphing Activities Differentiated Lesson Plans and ...
Revealed: This Is Exactly How I Make My Thumbnails - YouTube
Math2022: Week 2 Tutorials on Arithmetic and Groups Practice - Studocu
MT2004 Mathematics II for Maritime Studies Tutorial: Algebra Ch 2 ...
CHECK IT OUT! All new videos and resources, described beautifully in ...
How to Design Modern YouTube Thumbnail in Adobe Illustrator | Step by ...