Showing 96 of 96on this page. Filters & sort apply to loaded results; URL updates for sharing.96 of 96 on this page
Club officers pubmat | SJCO MATH CLUB By: April Ariane Austria in 2025 ...
Club officers pubmat | SJCO MATH CLUB By: April Ariane Austria ...
PUBMAT University Schedule Poster Design Tutorial | BYKLEYR - YouTube
Math tutorial - Math - Math 141 - 2/11/23, 5:53 PM math tutorial .png ...
Maths tutorial 1 | PDF
2nd Tutorial of Maths-2 | PDF | Mathematics | Functions And Mappings
Maths Tutorial - 241207 - 053342 | PDF | Mathematical Objects | Mathematics
Signals and Systems Tutorial Sheet 9 | PDF
Tutorial 2 Mathematics | PDF
Mathematics Tutorial - 240902 - 112113 | PDF
School PubMat | Graphic design school, Graphic design tutorials ...
(MATH) Tutorial 1 - TUTO 1 - Foundation of Mathematics for Scientists ...
HOW TO MAKE/EDIT PUBMAT USING CANVA 👩💻🎀 Make a pubmat with me - YouTube
Welcome Pubmat Ideas
Pubmat Ideas
pubmat in 2024 | Graphic design school, Graphic design tutorials ...
Pubmat template | PUP | Graphic design tutorials learning, Graphic ...
campaign creative pubmat design | Graphic design tutorials learning ...
Pubmat Projects :: Photos, videos, logos, illustrations and branding ...
Formal Pubmat Ideas
180 pubmat ideas in 2025 | graphic design school, graphic design fun ...
How To Make A Good Pubmat | PDF | Text | Communication
Vivamax Pubmat Projects | Photos, videos, logos, illustrations and ...
150 Pubmat ideas in 2025 | graphic design school, graphic shapes design ...
Back To School Pubmat | Graphic design tutorials learning, Graphic ...
Pin by Soleil on pubmat | Graphic design school, Graphic design ...
Pubmat Ideas School
Pubmat Layout
School pubmat (S.y. countdown) | Graphic design fun, Graphic design ...
140 pubmat ideas in 2025 | graphic design school, graphic design fun ...
PUBMAT DESIGN Projects :: Photos, videos, logos, illustrations and ...
Maths Tutorial | PDF
Pubmat Collage vol. 1 (School Org.) :: Behance
Pubmat Layout Layouts Projects :: Photos, videos, logos, illustrations ...
Maths Tutorial 4 | PDF
360 Best pubmat ideas in 2025 | graphic design posters, graphic design ...
With Honors Pubmat
Pubmat Template | Graphic design fun, Graphic design layouts, Graphic ...
Tutorial 2 - Department of Mathematics Tutorial 2 MAT 111
school pubmats pubmat school essential | Event poster design ...
Maths for tutorial 0 - MAT02A2 - Studocu
Tutorial 1 - Mat - Business in Mathematics - Studocu
290 pubmat ideas in 2025 | graphic design school, graphic shapes design ...
Maths tutorial ch-1 - Mathematics-I - Studocu
PUBMAT DESIGN Pubmats Projects :: Photos, videos, logos, illustrations ...
43 PUBMAT ideas in 2025 | graphic design fun, graphic design posters ...
100 Pubmat ideas in 2025 | graphic shapes design, canvas learning ...
PUBMAT ELEMENTS IDEAS!!! credits to the owner of these photos #pubmat ...
35 pubmat ideas | graphic design posters, graphic design fun, graphic ...
PUBMAT LAYOUT PRINTABLE by lame - Raket.PH
110 pubmat ideas in 2025 | graphic design fun, graphic design posters ...
130 ELEMENTS FOR PUBMAT ideas to save today | graphic shapes design ...
pubmat | Graphic design tutorials learning, Instagram graphic design ...
100 PUBMAT ideas in 2026 | graphic design posters, graphic design fun ...
Solved: What is pubmat in a poem? Can you specify what should be its ...
60 Seminar PubMat ideas in 2025 | poster design, conceptual ...
62 Pubmat Reference ideas in 2025 | graphic design fun, graphic design ...
Tutorial 2 : Engineering Mathematics 1 (DBM1013) June 2014 | Math2Ever ...
Maths Tutorial3 | PDF
Mathematics Tutorials | PDF
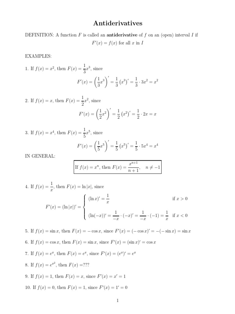
Understanding Antiderivatives and Formulas | PDF
59 Pubmats ideas in 2025 | graphic design school, graphic shapes design ...
310 Pubmats ideas in 2025 | graphic design posters, graphic design fun ...
300 Pubmats ideas in 2025 | graphic design posters, graphic design fun ...
390 Pubmats ideas in 2025 | graphic design posters, graphic design ...
430 pubmats ideas to save today | graphic design fun, graphic design ...
Pub Mat Ideas
Mathomat - The iconic Australian drawing and design tool
370 Pubmats ideas in 2025 | graphic design posters, graphic design ...
School PubMats | Graphic design school, Graphic design tutorials ...
270 PUBMATS ideas in 2025 | graphic design posters, graphic design fun ...
340 Pubmats ideas in 2025 | graphic design posters, graphic design fun ...
83 Pubmats ideas | graphic design posters, sports graphic design, sport ...
150 Pubmats ideas to save today | poster design, graphic design ...
83 PUBMATS ideas in 2026 | graphic design fun, graphic shapes design ...
Discover 38 PUBMATS and graphic design school ideas | graphic design ...
150 Pubmats ideas in 2025 | graphic design fun, graphic shapes design ...