Showing 120 of 120on this page. Filters & sort apply to loaded results; URL updates for sharing.120 of 120 on this page
STEP II Integration Sample Question | PDF
SOLUTION: Integration sample problem with answer and solution - Studypool
Integration questions for competitive exams, integration question with ...
Integration question from student I
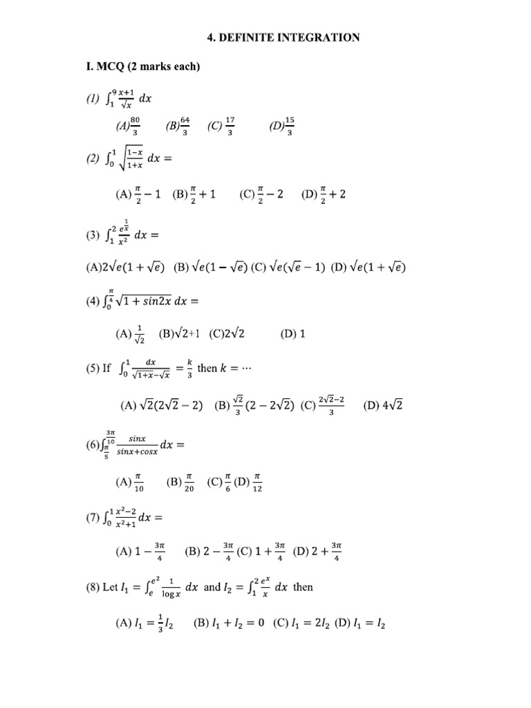
4.definite Integration Question Bank For Practice | PDF
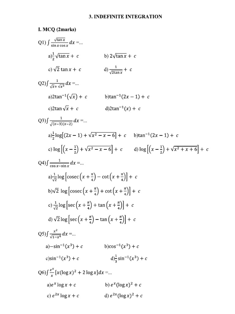
3.indefinite Integration Question Bank For Practice | PDF
integration - A simple integral with one question - Mathematics Stack ...
Solved: Basic Integration Problems I. Find the following integrals. 1 ...
Basic Integration 20 Questions and Answers PDF - Maths Academy
Integration Worksheet: Equations, Areas, Volumes
Integration Questions
Integration Quiz Practice Key | PDF | Mathematical Analysis | Calculus
Basic Integration Practice Questions | PDF | Mathematics
Exercise 11.1: Basic Rules or Formula of Integration - Problem ...
Integration Worksheets 100 Questions and Answers - Maths Academy
144 Integration Questions + Answers (Calculus 2 Integrals) Worksheets ...
Basic Integration Problems Mathematics Calculus.pdf
Evaluating Definite Integrals Using Integration by Parts ...
Integration - MATH100 Revision Exercises - Resources - Mathematics and ...
Integration By Parts Worksheet With Answers Evaluating Definite
Integration Examples And Solutions
Practice Problems on Integration by Parts
Integration by parts Method - Exercise and Example Solved Problems with ...
Integration by Parts - Questions and Full Solutions - Maths Academy
Definite Integration JEE Questions PDF with Solution, Practice Now
Integration by Parts - Worked Examples, Exercise with Answers ...
SOLUTION: Integration by substitution practice questions igcse - Studypool
Basic Integration – Mathematics with Worked Examples
Integration by substitution simple practice questions - YouTube
SOLUTION: Integration practice questions math calculus - Studypool
Integration Request Mapping Template - astra.edu.pl
Integration Worksheets - 100 Questions and Answers - Maths Academy
SOLUTION: Integration formulas questions with answers and practice ...
Integration Revision Questions | Teaching Resources
Integration Practice Questions | PDF
SOLVED EXAMPLES [Integrals based on formulae and integration by parts] EX..
Integration for Beginners - Maths Academy
Basic Integration (examples, solutions, worksheets, videos, activities)
Integration in Maths - Definition, Formulas and Types
100 Integration Questions with Answers PDF - Maths Academy
Integration by Parts Example Questions (Integration by Parts TWICE ...
Examples Of Integration Used In A Sentence at Arthur Popp blog
Quiz & Worksheet - Calculus Integration Problems | Study.com
A-Level Integration Methods Explained | PDF | Integral | Trigonometry
Integration Practice Questions - Mathematics for Economists 2 ...
Indefinite Integration Practice Questions | PDF | Mathematical Analysis ...
A-Level Edexcel Maths Questions - Basic Integration 2 - Revisely
Integration By Substitution Examples Ilectureonline
AP Calculus AB: Integration by Substitution Practice Questions - Studocu
SOLUTION: Integration practice questions answers - Studypool
5 Steps to Determine Which Integration Technique to Use
SOLUTION: Indefinite Integration practice questions - Studypool
Calculus Integration Practice 100 questions by Joan Kessler | TpT
Integration Rules And Integration Definition With Examples Integration
Integration Important Questions
SOLUTION: Indefinite integration every type practice questions with ...
2014 Unknown 1 Integration - Integration Bee Qualifying Test - 2014 You ...
math mode - Enumerated list of displayed integration questions - TeX ...
Practice Questions _ Definate Integration | PDF
Practice integration questions with solutions | Assignments Mathematics ...
Practice Questions On Differentiation and Integration | PDF | Area ...
100 Integration Problems | PDF
Integration The Explanation of integration techniques. - ppt download
Integration Techniques Summary & Examples - A-Level H2 Maths
SOLUTION: Calculus questions for practice use method integration by ...
Indefinite Integration (Practice Question) | PDF | Functions And ...
Calculus 5.2p1 - Integration Practice Problems - YouTube
Integration Quiz 1 - Review Sheet - Integration Quiz 1 1. a 2. Some ...
Tutorial 10 . Questions on Integration - Tutorial Questions on ...
Integration Exam Practice Questions | PDF | Technology & Engineering
core pure 3 notes: integration by parts: examples
SOLUTION: Integration formulas - Studypool
SOLUTION: Integration practice questions with solutions - Studypool
SOLUTION: Calculus functions graphs limits differentiation integration ...
Integration Practice Questions - 20- Integration Practice Questions ...
Integration REvision Test | PDF
Integration by Parts: Example 4 - YouTube
Exam Questions - Integration - ExamSolutions
Core 1 Integration Questions | PDF
Integration by Parts Questions - Revisely
Definite And Indefinite Integration Questions
Integration (Question Set) | Download Free PDF | Geometric Measurement
Math Exercises & Math Problems: Indefinite Integral of a Function
Solved Evaluating a Definite Integral In Exercises 9-34, | Chegg.com
Indefinite Integrals Solved Problems
Calculus - Integral Calculus (video lessons, examples, solutions)
Integral Formula Sheet
Definite integral x^2
Buzztutor Questions and Answers by Category
Multiple Choice Questions (Integration) | PDF | Integral | Square Root
Integration- Important questions with answers - MATH 105 921 Solutions ...
Integral Solver
Solved Determine which of the integrals can be found using | Chegg.com
SOLUTION: Integral calculus practice quiz solutions on basic ...