Showing 81 of 81on this page. Filters & sort apply to loaded results; URL updates for sharing.81 of 81 on this page
How to solve a simple integral - YouTube
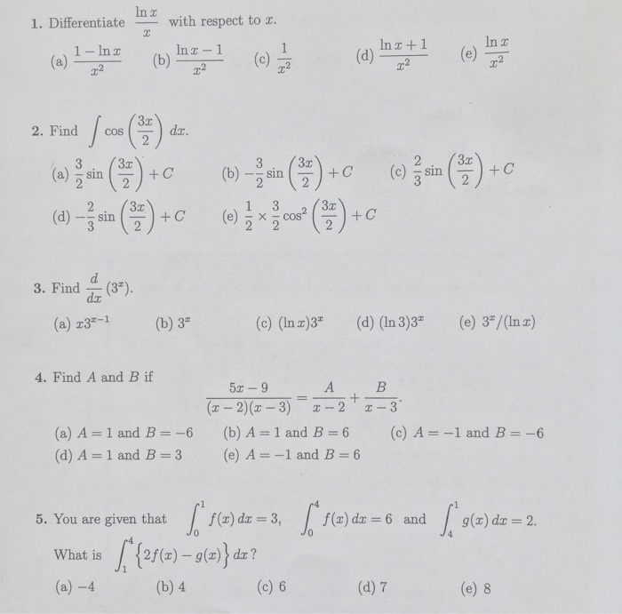
Solved Simple INTEGRAL CALCULUS MULTIPLE CHOICESHi I'm just | Chegg.com
Exercise 11.4: Simple applications of Integral Calculus - Problem ...
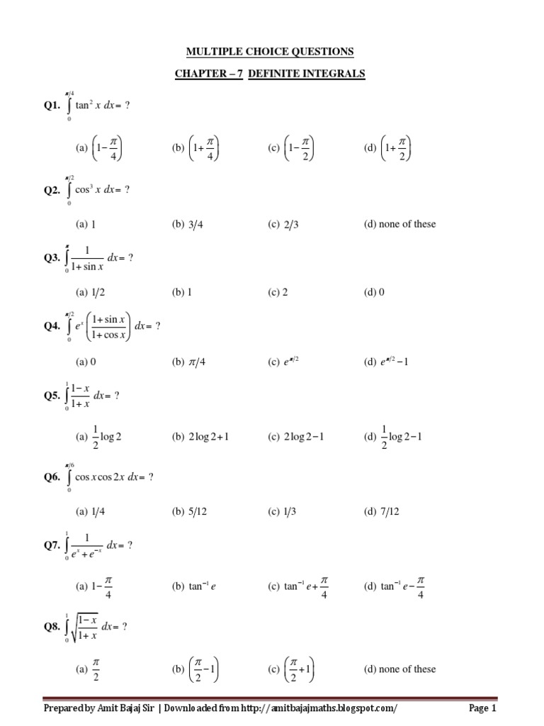
Ch 7 Definite Integral Multiple Choice Questions (With Answers ...
integration - A simple integral with one question - Mathematics Stack ...
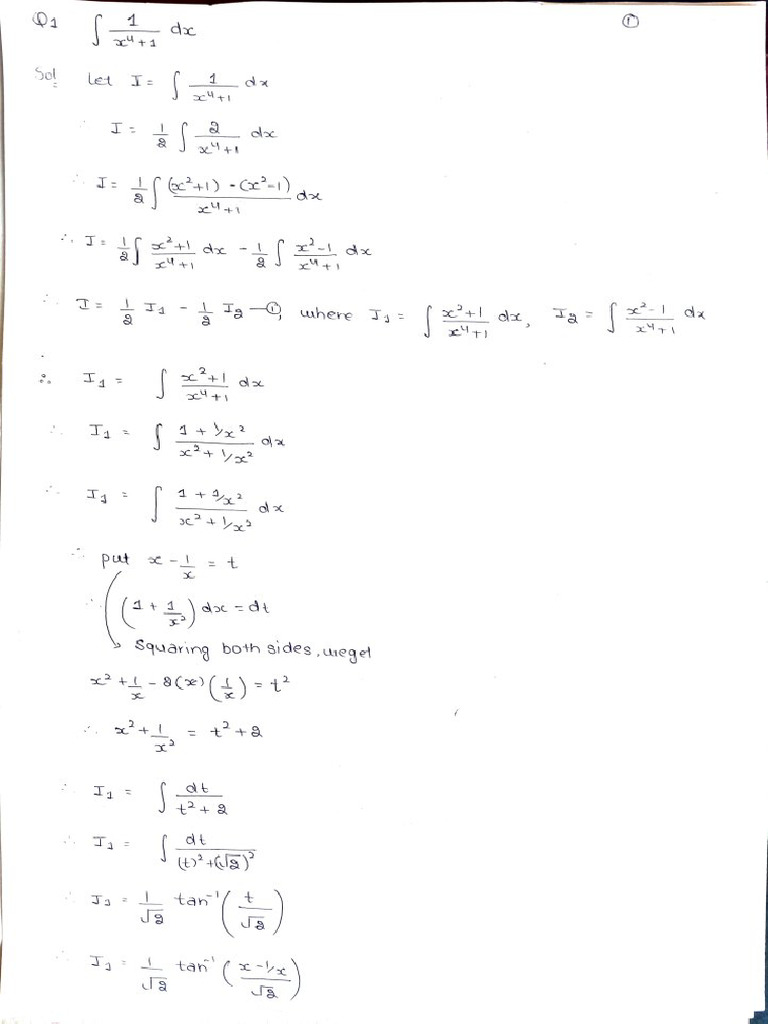
Integral Imp Questions | PDF
Integral questions - Differential and Integral Calculus - Studocu
Important Questions on Integral Applications | PDF
SOLUTION: Integral calculus practice questions with answer key and ...
30 Integral Questions | PDF | Calculus | Area
Integral Calculus Exam Questions
Integral Questions - YouTube
Questions With Solution | PDF | Integral | Calculus
Basic Integration 20 Questions and Answers PDF - Maths Academy
Integration Worksheets 100 Questions and Answers - Maths Academy
Integration Worksheets - 100 Questions and Answers - Maths Academy
Math Exercises & Math Problems: Indefinite Integral of a Function
Definite Integral Calculus Examples, Integration - Basic Introduction ...
INTEGRAL CALCULUS PRACTICE PROBLEMS (Power Formula & u- Substitution ...
Beginner Integral Question : r/calculus
Solved Evaluating a Definite Integral In Exercises 9-34, | Chegg.com
Difficult looking but easy integral |Daily integral Problem |Question 5 ...
Basic Integral Page - Extra Practice - Basic Integration Quiz Sheet The ...
Basic Integration Questions for Practice | PDF | Mathematics
Definite integral x^2
1 Lots of Lovely Integrals QUESTIONS | PDF
A-Level Edexcel Maths Questions - Basic Integration 2 - Revisely
SOLUTION: Mathematics integrals questions with solutions - Studypool
Definite Integral Worksheet
Integration Questions
Integral Solver
100 Integral Problems: Calculus Practice
100 Integration Questions with Answers PDF - Maths Academy
Integral Problems
99 Basic Integration Questions for Calculus Practice - Studocu
[Calculus: Basic Integral Question] : r/HomeworkHelp
SOLUTION: Integral calculus practice quiz solutions on basic ...
SOLUTION: Applications of integrals questions and answers - Studypool
SOLUTION: Application of integrals most important questions with ...
Integration Practice Questions - 20- Integration Practice Questions ...
Practice Questions on Integrals
2.question List Definite Integrals | PDF | Area | Integral
Integrals Practise Questions | PDF
Basic Integration Questions - Revisely
Integration (Basics) - Questions | PDF
Integrals Multiple Choice Questions
Integration Questions | PDF
Practice Questions On Double Integrals | PDF
Integral question : r/calculus
SOLUTION: Integration practice questions math calculus - Studypool
easy definite integral question can you solve #shorts - YouTube
SOLUTION: Sample questions on definite integrals - Studypool
100 Integrals - Good practice questions - !!!!!!!!!!!!!! 100 Integrals ...
Integration - Practice questions from the past years that give you a ...
Definite Integration Questions | PDF | Mathematical Relations | Algebra
Practice Problems For Integral | PDF
Solved: Basic Integration Problems I. Find the following integrals. 1 ...
Exercise 11.1: Basic Rules or Formula of Integration - Problem ...
Solved Integrals
Edia | Free math homework in minutes - Worksheets Library
Solved Exercises(Basic integration formulas) Many integrals | Chegg.com
SOLUTION: Mathematics – Standard Integrals (Questions + Answers ...
Basic of integrals problem |Maths Daily - YouTube
Integration (Question Set) | Download Free PDF | Geometric Measurement
Integration questions.docx | PDF
Basic Integrals Question : r/calculus
Important Question of Integrals | PDF
8. Triple Integrals | Problem#1 | Multiple Integrals | Complete Concept ...
Integrals Question 5 | PDF