Showing 120 of 120on this page. Filters & sort apply to loaded results; URL updates for sharing.120 of 120 on this page
Assertion Journal How To with Example by Leas ELA Classroom | TPT
1/2 Assertion Journal 3: Choose Your Assertion | Chegg.com
Solved Make assertion journal Topic- is ecotourism eco | Chegg.com
Assertion Journal 1 Learning Objective By completing | Chegg.com
ENGLISH 10 ASSERTION JOURNAL 2019 2020 ASSIGNMENT OVERVIEWREQUIREMENTS
Assertion Journal
Melvin Du - Schmidt Copy of Assertion Journal #1 (B) | PDF
Assertion Journal Bundle #1: A Year of Quotations for Analysis and Response
Assertion Journal What is an assertion Stylistic approach
Assertion Journal Entry 3 | PDF
Solved 2.4.9 In each case either prove the assertation or | Chegg.com
Explain either how journal entry testing could be | Chegg.com
Solved You will complete a journal each week. The journal | Chegg.com
Solved n you match each example with the science that | Chegg.com
Back to School: Assertion Journal Writing Prompts for Analysis & Argument
Assertion Journal Assignment 1 .pdf - Assertion Journal Assignment Leo ...
The Journal assignments in this course will gauge | Chegg.com
Solved The assertation that racial health disparities are | Chegg.com
Solved Verify the assertion in Example 5.11 that the | Chegg.com
Solved 7. A Prove the assertion in Example 7.2.8. That is, | Chegg.com
Solved 2:4454Journal Assignment -...Weekly Ethics Journal | Chegg.com
Assertion Journal ULTIMATE Bundle: Rhetorical Analysis and Argumentation
Assertion Journal Bundle #3: A Year of Quotations for Analysis and Response
Chegg Q A Guideline Version 26 | PDF
Assertion Journal BUNDLE #2: A Year of Quotations for Analysis and Response
Chegg Review: How It Works, Best Services and Is It Worth It?
Assertion Journal The function of education is to
Solved Can you match each example with the science that | Chegg.com
Chegg Review: How It Works and Best Services | Is It Worth It?
Passage of Time: Assertion Journal Prompts for Analysis & Argument ...
Solved 7.4 Prove the assertion in Example 7.2.8. That is, | Chegg.com
Solved 6. TRUE or FALSE. If the assertation must be true, | Chegg.com
AP Lang Assertion Journal by Richard Kreinbring on Prezi
Genius & Talent: Assertion Journal Prompts for Analysis & Argument
Assignment 1-critical reflection journal - Pathway | Chegg.com
Chegg | PDF
Leadership: Assertion Journal Prompts for Analysis & Argument | TPT
Power: Assertion Journal Prompts for Analysis & Argument | TPT
Solved Adjusting Journal Entries, Part 2 of the project | Chegg.com
Assignment File Assignment Text Journal 1 Explain ore | Chegg.com
Solved 4. What management assertions may be covered by | Chegg.com
Solved The following is an Assertion/Reason question. These | Chegg.com
Solved Requirements b. and c. For each assertion, indicate | Chegg.com
Solved Directions: Use the following assertions to complete | Chegg.com
Solved Answer the question with explanation: Assertion - | Chegg.com
Solved 9.A. Justify the assertion made about the set G,F | Chegg.com
Solved Assertions include: Accuracy, Completeness and | Chegg.com
Solved Give your perspective on the author's assertion that | Chegg.com
Solved Question 1 – Substantive Testing Part A When the | Chegg.com
Solved 一1. Consider the assertion: If every vertex of the | Chegg.com
Solved (20 points) In each case either prove the assertion | Chegg.com
Assertion Meaning Assertion Evidence Approach: Rethinking Scientific
Solved CSS142 Sample Assertions Problems (handout from the | Chegg.com
Assertion - Reason type questions : From the | Chegg.com
Solved \table[[\table[[MANAGEMENT],[ASSERTION]],\table[[1. | Chegg.com
Solved \table[[Audit Procedure,Assertion(s) Substantiated | Chegg.com
Solved Assertion - Reason type questions : From the | Chegg.com
Solved Assertion: The analysis is faithful the facts of the | Chegg.com
Solved For each assertion in 7(a)-(c), prove the assertion | Chegg.com
Solved Identify the most relevant assertion(s) for each | Chegg.com
Solved Problem 9-25 Identify the most relevant assertion(s) | Chegg.com
Solved Assertion (A): Whittaker proposed a five kingdom | Chegg.com
Solved Assertions play a key role in the external audit of | Chegg.com
1.59 Management Assertion. Your audit manager has | Chegg.com
Solved Question A2. The following SystemVerilog assertion is | Chegg.com
Consider the Assertion (A) and Reason (R) given below | Chegg.com
4 Types of Assertions | PDF | Epistemology | Logic
Solved Which of the following is a management assertion | Chegg.com
ASSERTIONS AND IT'S TYPE'S OF ASSERTIONS | PPTX
Solved Week 3 Journal #5 AssignmentStart AssignmentDue | Chegg.com
Solved Question 10 (1 point)A statement isa) an assertion | Chegg.com
Solved For each control, identify the assertion for which | Chegg.com
Solved Write a proof sequence for the following assertion. | Chegg.com
Solved Assertion: Dynamic scoping prevents static type | Chegg.com
Solved REQUIRED: IDENTIFY THE ASSERTION[S] RELATED TO EACH | Chegg.com
Solved The accuracy and valuation assertion relates to all | Chegg.com
Solved Assertion: : The author is clear about the | Chegg.com
Solved Read the Assertion and the Reason (R) given below. | Chegg.com
Required information Audit Assertions for Accounts | Chegg.com
PPT - Effective Paragraph Writing with AXES Method PowerPoint ...
Solved Assertion (A): In competitive equilibrium entire | Chegg.com
The Rhetor's ToolboxResources for connection, collaboration, critical ...
Solved The textbook defines a claim as "an assertion that | Chegg.com
Solved Management Assertions: Wtih which mangement assertion | Chegg.com
ATTENTION-BASED DEEP LEARNING SYSTEM FOR NEGATION AND ASSERTION ...
Solved Assertion: | Chegg.com
Solved This question consists of an assertion (statement) | Chegg.com
Solved Which of the following assertions about establishing | Chegg.com
Solved The statements on the left are scientific assertions. | Chegg.com
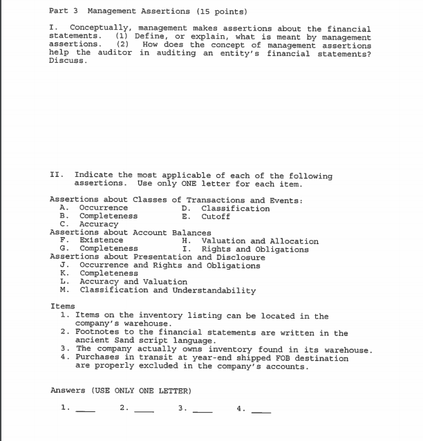
Management Assertion Conceptually, management makes | Chegg.com
AssertionJournal.doc - Hall AP Lang/Comp Assertion Journals The purpose ...
Solved 13. Assertion (A): The current account measures a | Chegg.com
SystemVerilog Assertion Examples | PDF | Information And Communications ...
FORMULATING a statement of ASSERTION.pptx
Solved Chapters 1 through 8 .The assertion that "there is | Chegg.com
Solved Journals for Question 1The following specialised | Chegg.com
Solved 5. For the 5 scenarios given, select an assertion and | Chegg.com
Solved Overview:In this assignment scenario, you are tasked | Chegg.com
Solved When testing for the assertion, auditors gather | Chegg.com
Assertion Reasoning: Explanation, Examples, and How to Solve Questions ...
For this assignment, you are required to conduct at | Chegg.com