Showing 120 of 120on this page. Filters & sort apply to loaded results; URL updates for sharing.120 of 120 on this page
78. The compound C7 H8 undergoes the followin reactions:C7 H8 3Cl2 /D
Solved Select the reactant(s) 2Al(s) + 3Cl2 (9) AICI Cl₂ | Chegg.com
Solved Complete the following reactions: HO a) + 3Cl2 ОН ОН | Chegg.com
Consider the following balanced chemical equation: CH4 + 3Cl2 → CHCl3 ...
The compound C7 H8 undergoes the following reactions: C7 H8 3Cl2 / A B..
The compound C7 H8 undergoes the following reactions: C7 H8 3Cl2 /Δ A B..
which type of reaction is shown below 2feclz 2fe 3cl2 synthesis ...
The compound C7 H8 undergoes the following reactions :C7 H8 3Cl2 /Δ ABr..
In the given reactionC7 H8 3Cl2 /Δ (A) Br2 /Fe (B) Zn/HCl (C) The compo..
The compound C is : C7 H8 3Cl2 /Δ ABr 2 /Fe B Zn/HCl C | Filo
3Cl2 +6NaOH→5NaCl+NaClO3 +3H2 OFind the equal of NaOH .a) 40b) 48c)
Solved 2. What volume (in mL) of 3Cl2 is required to produce | Chegg.com
The compound, C7 H8 3Cl2 /Δ A Br2 /Fe B Zn/HCl C The compound C is | Filo
SOLVED: 3Cl2 + 2N2 → 2N2Cl3 Molar masses: chlorine gas = 70.9 g/mol ...
Solved 3. The next reaction CH3Cl + 3Cl2 ---> CCl4 + 3HCl | Chegg.com
The compound C7 H8 undergoes the following reactions:C7 H8 3Cl2 /Δ A B..
Solved == Β) For the following reaction: CH3Cl + 3Cl2 + CCl4 | Chegg.com
The compound C7 H8 undergoes the following reactio C7 H8 3Cl2 /D ABr2 /F..
[FREE] Consider the balanced reactionbelow:2AL + 3Cl2 → 2AICI:How many ...
3Cl2 + 6KOH -> KClO3 + 3H20 + 5KCl tính lượng muối kclo3 thu được khi ...
SOLVED: Consider the balanced chemical equation below: CH4 (g) + 3Cl2 ...
According to the following reaction: 3Cl2 (g) + 3H2O | Chegg.com
CLAX ELEGANT 3CL2 (5L)
C7 H8 3Cl2 , heat A Fe/Br2 B Zn/HCl C Here the compound ' C ' is | Filo
SOLVED: Given N2 + 3Cl2 = 2NCl3. What volume of chlorine gas at 37.0°C ...
Solved 3. Consider the following reaction 2x + 3Cl2 2XC13 | Chegg.com
Ru(bpy)3Cl2/CuBr/Li-t OBut/DMSO based catalytic system for the ...
Complete the following reaction: Benzene+3Cl2 in presence of sunlight ...
(PDF) Nickel Bipyridine (Ni(bpy)3Cl2) Complex Used as Molecular ...
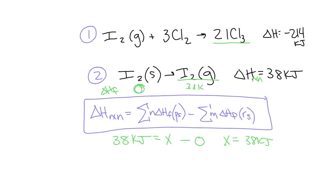
SOLVED: Given the following equations, determine the standard enthalpy ...
Ru(bpy)3Cl2相关描述_研究_应用_包括
SOLVED: Chloroform, CHCl3, is prepared industrially by the reaction of ...
SOLVED: Iron metal reacts with chlorine gas according to the following ...
Solved Part A Al and Cl, in the equation 2Al(s) + 3Cl2(g) → | Chegg.com
Ru(phen)3Cl2‐Catalyzed Chlorotrifluoromethylation of Unactivated ...
SOLVED: Type the correct answer in the box. Express the answer to three ...
Solved Q2) For the following reaction 2Al(s)+3Cl2( | Chegg.com
Ru(dpp)3Cl2 | 36309-88-3
(26) Consider the following reactions UV + | StudyX
Solved Consider the following reaction: 2Al+3Cl2→2AlCl3 | Chegg.com
SOLVED: Reaction: 2Al(s) + 3Cl2(g) → 2Al^3+(aq) + 6Cl^-(aq) 1 ...
PPT - REACTION PREDICTION Pre-AP CHEMISTRY PowerPoint Presentation ...
Given Reaction \square + 3 \text{Cl}_2 \xrightarrow[500\text{ K}]{UV} [X..
(a–c) Transient light emission responses of the Ru(bpy)3Cl2 gel (a ...
Photoredox Catalyzed Sulfonylation of Multisubstituted Allenes with Ru ...
Solved Using the equations 2Fe(s)+3Cl2( g)→2FeCl3( | Chegg.com
Photocatalytic synthesis of esters using Ru(bpy)3Cl2 as photocatalyst ...
CAS号50525-27-4,Ru(bpy)3Cl2,三联吡啶氯化钌六水合物用于荧光探针、光电器件-UDP糖丨MOF丨金属有机框架丨聚集诱导 ...
Answered: Consider the reaction: 2Fe(s) + 3Cl2(g)… | bartleby
2Fe+3Cl2 →2FeCl | Filo
Chemical structures of the ECL materials: Ru(bpy)3Cl2, Ru(bpy)3(PF6)2 ...
CH3Cl lewis structure, molecular geometry, bond angle, hybridization
SOLVED: Calculate the change in enthalpy for the reaction 2Al (s ...
SOLVED: Iron reacts with chlorine according to the following reaction ...
Solved Part B Ga and GaCl3 in the equation 2Ga(s) + 3Cl2(g) | Chegg.com
The compound \mathrm{C}{7} \mathrm{H}{8} undergoes the following reaction..
Solved Calculate ΔH for the reaction 2Al(s)+3Cl2( g) 2AlCl3 | Chegg.com
Answered: CS2(g) +3Cl2 (g) = S2Cl2 (g) + CCL4(g)… | bartleby
Solved 2AlCl3→2Al+3Cl2 | Chegg.com
PPT - METALS PowerPoint Presentation, free download - ID:2347641
which balanced chemical equation represents a synthesis reaction? a ...
Consider the balanced reaction below:2AI+3Cl2 →2AlCl3 How many grams o..
Solved For the chemical equation 2Al+3Cl2→2AlCl3 write mole | Chegg.com
Solved Consider the following reaction: CS2+3Cl2→CCl4+S2Cl2 | Chegg.com
Answered: 2Al(s) + 3Cl2(g) → 2AlCl3(s)Find the… | bartleby
The FTIR spectra of the NCs and Ru(dpp)3Cl2 (A), excitation and ...
benzen +3cl2 --lumina--> - Brainly.ro
Solved 11. CS2(g) + 3Cl2(g) + CCl4(g) + S2Cl2(g) At a given | Chegg.com
Photocatalytic synthesis of esters using Ru(bpy)3Cl2·6H2O as ...
Solved Cl2 and AlCl3 in the equation 2Al(s)+3Cl2( g)→2AlCl3( | Chegg.com
Ru(dpp)3Cl2 CAS 36309-88-3 - Jiangsu Watson Bio Ltd
SOLVED: If 5 moles of Cl2 react, how many FeCl3 molecules will be ...
II. Five basic types of chemical reactions: - ppt download
Solved 2As(s)+3Cl2( g)→2AsCl3 | Chegg.com
UV-Visible absorption spectra of CoCl2/Co(bpy)3Cl2 recorded in water ...
SOLVED: Aluminum reacts with chlorine gas to form aluminum chloride via ...
Solved Look at the following reaction: 2Al(s)+3Cl2(g) 2AlCl3 | Chegg.com
Solved Which image depicts the correct particle modelfor the | Chegg.com
常见光催化剂 - 知乎
Section of a cluster chain in the structure of Y4O2(CN2)3Cl2 running ...
SOLVED: Carbon tetrachloride is made according to the following ...
2Al+3Cl2 m=9.0 g Al2 Cl↓ m=20.0 g 1 yied of A2 CI6 =n=m/M=2790 =3.333 m..
\mathrm { C } _ { 7 } \mathrm { H } _ { 8 } \xrightarrow { 3 \mathrm { Cl..
Solved Select the reaction for which Kp=Kc. N2( g)+3Cl2( | Chegg.com
Tris(2,2 -bipyridyl)dichlororuthenium(II) 99.95 trace metals 50525-27-4
SOLVED: Considering the reaction: 2Al(s) + 3Cl2(g) → 2AlCl3(s) A. How ...
Solved For the reaction 2Fe(s) + 3Cl2(g) →2FeCl3(s) AH° = | Chegg.com
Solved The following reaction was studied. 2Fe(s)+3Cl2( | Chegg.com
RCSB PDB - 5OB7: X-ray structure of the adduct formed upon reaction of ...
#ru #bpy #3cl2 #emitting #diodes #oleds #certain #excitation # ...
[Solved] . Aluminum reacts with chlorine gas to form aluminum chloride ...
SOLVED: Aluminum reacts with chlorine gas to form aluminum chloride ...
Solved According to the following reaction: 3Cl2( | Chegg.com
SOLVED: TUTOR: Enthalpy Changes The reaction of iron (s) with chlorine ...
16.33f | How to determine the free energy change for CS2(g) + 3Cl2(g) → ...
GS+3CL2 Chlorine (CL2) Sensor | Industrial specification
Solved The redox reaction 3Cl2( g)+2Al(s) 2Al3+(aq)+6Cl−(aq) | Chegg.com
Scope of the ketone component. a Reaction conditions: 1a (0.2 mmol ...
Solved Consider the following reaction: 2Al(s)+3Cl2( | Chegg.com
Solved 3Cl2+2N2→2N2Cl3 Molar masses: chlorine gas =70.9 | Chegg.com
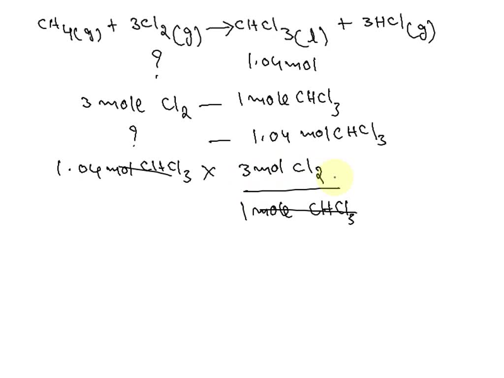
Solved For the reaction: CH4+3Cl2→CHCl3+3HCl Given | Chegg.com
Solved Consider the reaction: 2Fe(s)+3Cl2(g)→2FeCl3(s) Using | Chegg.com