Showing 120 of 120on this page. Filters & sort apply to loaded results; URL updates for sharing.120 of 120 on this page
SOLVED: Calculate the ΔH for the reaction 2Al(s) + 3Cl2(g) → 2AlCl3 ...
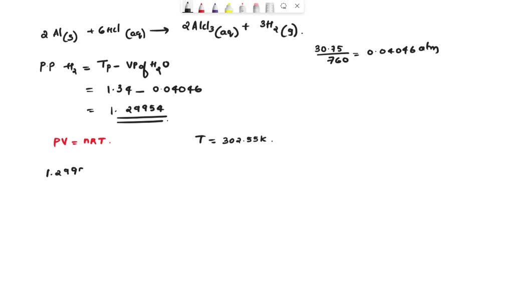
Answered: For the reaction 2Al + 6HCI → 2AlCl3 + 3H2 How many moles a ...
SOLVED: Consider the redox reaction below. 2Al(s) + 6HCl(aq) —-> 2AlCl3 ...
2Al + 6HCl → 2AlCl3 + 3H2 | Реакция алюминия и соляной кислоты - YouTube
Solved 2Al + 6HCl ---> 2AlCl3 + 3H2 | Chegg.com
Solved For the reaction; 2Al + 6HCl = 2AlCl3 + 3 H2a) How | Chegg.com
[Solved] 6Nacl + Al2(S04)3 ---> 2AlCl3 + 3Na2So4 a) if 9 moles of NaCl ...
Solved Calculate ΔH for the reaction 2Al(s)+3Cl2( g) 2AlCl3 | Chegg.com
Solved Look at the following reaction: 2Al(s)+3Cl2(g) 2AlCl3 | Chegg.com
SOLVED: 2Al(s) + 3Cl2(g) ⟶ 2AlCl3 If you react 5.9 mol of Cl2, how ...
SOLVED: 2AlCl3 + 3Na2CO3 —> Al2(CO3)3 + 6NaCl If you have 15 grams of ...
Solved QUESTION 20 For the reaction 2 Al + 6HCl → 2AlCl3 + 3 | Chegg.com
Solved The balanced equation is 2 Al + 3Cl = 2AlCl3 ( | Chegg.com
SOLVED: 2Al + 6HCl → 2AlCl3 + 3H2 If the chemical reaction produces ...
PPT - Chemical Reactions PowerPoint Presentation, free download - ID ...
Ionic and ion-derived solids
SOLVED: Aluminum reacts with chlorine gas to form aluminum chloride via ...
Solved Part A Al and Cl, in the equation 2Al(s) + 3Cl2(g) → | Chegg.com
SOLVED: The reaction of aluminum with chlorine gas is shown here. Based ...
Module 2 Flashcards | Quizlet
Solved Consider the following reaction: 2Al+3Cl2→2AlCl3 | Chegg.com
Solved For the chemical equation 2Al+3Cl2→2AlCl3 write mole | Chegg.com
SOLVED: Aluminum reacts with chlorine gas to form aluminum chloride ...
Balancing the Equation Al + Cl2 = AlCl3 - YouTube
SOLVED: The equation for the chemical reaction shown is not balanced ...
SOLVED: Question 12 (4 points): According to the following equation 2Al ...
SOLVED: Aluminium reacts with chlorine gas to form aluminium chloride ...
SOLVED: Chemical Reactions The following chemical reaction is a: 2Al (s ...
Which of the following is a product in the chemical equation? 2Al(s ...
PPT for Reaction of metals with acid | PPTX
Aluminium reacts with chlorine gas to form aluminium chloride via the ...
Answered: Consider the following balanced chemical equation: 2Al(s ...
Chemical Equations Chemical change involves a reorganization of the ...
The formation of [Pip1,4]Br‐2AlCl3 | Download Scientific Diagram
Solved Study this chemical reaction: 2Al+3Cl2→2AlCl3 Then, | Chegg.com
Solved > Given the following reaction: 2AlCl3(aq) + | Chegg.com
Chemical Reactions Physical and Chemical Change - ppt video online download
which balanced chemical equation represents a synthesis reaction? a ...
SOLVED: Identify the type of reaction shown by this chemical equation ...
Aluminum reacts with chlorine gas to form aluminum chloride via the ...
Solved 3CuCl2(aq) + 2Al(s) + 3Cu(s) + 2AlCl3(aq) (Equation | Chegg.com
SOLVED: For the reaction shown, find the limiting reactant for each of ...
Solved Consider this reaction: 2AlCl3(aq) + 3Hg2(NO3)2(aq) — | Chegg.com
Solved Chemical Reaction 2Al(s)+3SnCl2(aq)→2AlCl3(aq)+3Sn(s) | Chegg.com
Answered: Identify the reaction that represents a… | bartleby
Reaction of metals with air | PPTX
SOLVED: The reaction of metallic aluminum with aqueous hydrochloric ...
RedOx Reactions & Electrochemistry - ppt download
Solved 2Al(s) + 3Cl2(g) → 2AlCl3(s) Use Hess's Law and the | Chegg.com
science chemistry exothermic reaction hydrochloric acid aluminum ...
Solved 2AlCl3→2Al+3Cl2 | Chegg.com
Solved 5. Calculate AH for the reaction 2Al(s) + 3Cl2(g) → | Chegg.com
Mole Ratio Worksheet 1. Consider the chemical reaction represented by ...
Answered: 2Al(s) + 3Cl2(g) → 2AlCl3(s)Find the… | bartleby
The balanced chemical equation for this lab is: 3CuCl2(aq) + 2Al(s ...
Solved Balanced equation: 2AlCl3+3K2CO3,→,6KCl+Al2(CO3)3 | Chegg.com
Answered: Give the product of the reaction of excess benzene with the ...
Solved Balnced Chemical equation is 2Al(s) + 3CuCl2*2H2O(aq) | Chegg.com
AlCl3 Lewis Structure in 5 Steps (With Images)
SOLVED: 2Al(s) + 6HCl(aq) → 2AlCl3(aq) + 3H2(aq) What mass of HCl is ...
Solved Consider this reaction: 2AlCl3(aq) + 3Hg2(NO3)2(aq) – | Chegg.com
Metals and Non Metals | PPTX
Solved 2Al(s) + 6HCl(aq) --> 2AlCl3(s) + 3H2(g) molar mass | Chegg.com
SOLVED: Consider the following balanced equation: 2Al(s) + 6HCl(aq) â ...
A chemical reaction of copper chloride and aluminum | Chegg.com
SOLVED: Considering the reaction: 2Al(s) + 3Cl2(g) → 2AlCl3(s) A. How ...
SOLVED: Many metals react with halogens to give metal halides. For ...
Solved Q2) For the following reaction 2Al(s)+3Cl2( | Chegg.com
SOLVED: Consider the following reaction: 2Al + 3CuCl2·2H2O → 3Cu ...
SOLVED: The reaction between hydrochloric acid and aluminum produces ...
Solved Question 3 (1 point) 2A16) + 6HCl(aq) --> 2AlCl3(s) + | Chegg.com
Solved For the following reaction, if it is balanced, the | Chegg.com
PPT - CHEMICAL REACTIONS PowerPoint Presentation, free download - ID ...
Solved Calculate ΔH for the reaction 2Al(s)+3Cl2( g) 2AlCl3( | Chegg.com
Alcl3 Lewis Structure
SOLVED: Hydrogen gas is produced by the reaction between metallic ...
Lewis Structure of AlCl3 (With 5 Simple Steps to Draw!)
SOLVED: The formation of aluminum chloride can be described by the ...
SOLVED: When aluminum is placed in concentrated hydrochloric acid ...
Solved 3CuCl(aq) + 2Al(s) → 2AlCl3(aq) + 3Cu(s) a) [5 pts) | Chegg.com
Solved Listen 2Al(s) + 6HCl(aq) --> 2AlCl3(s) + 3H2(g) molar | Chegg.com
Solved Consider the reaction 2AV(s)+6HCl(aq) 2AlCl3(aq)+3H2( | Chegg.com
Solved Cl2 and AlCl3 in the equation 2Al(s)+3Cl2( g)→2AlCl3( | Chegg.com
Solved Given that 2Al+6HCl→2AlCl3+3H2, when 8.25mol of | Chegg.com
2 | PPT | Free Download
Solved 7. Consider the following reaction: | Chegg.com
Aluminum reacts with chlorine gas to form aluminum chloride. 2Al(s ...
Solved 2AlCl3→2Al+3Cl2 If 10.0 g of aluminum chloride are | Chegg.com
Solved Consider the following reaction: 2Al(s) + 3Cl2(9) | Chegg.com
Solved The following molecular equation represents the | Chegg.com
SOLVED: Aluminum chloride and bubbles of hydrogen gas are produced when ...
Solved 2AlCl3( s)+3H2( g)→2Al(s)+6HCl(g) Using values from | Chegg.com
SOLVED: Consider the following reaction: 2Al(s) + 3Cl2(g) → 2AlCl3(s ...
Group 3 Members General comment - ppt download
SOLVED: What mass (in g) of aluminum chloride (AlCl3) is produced when ...
Solved Consider the reaction: 2Al(s) + 3CuCl2 + 2AlCl3(aq) + | Chegg.com
SOLVED: How many moles of HCl will be produced when 30.000g of H2O are ...
AlCl3 Lewis Structure - Stepwise Method
SOLVED: Aluminum reacts with chlorine gas to produce aluminum chloride ...
AlCl3 Lewis Structure, Molecular Structure, Hybridization, Bond Angle ...
Презентація на тему "Хімічні рівняння".
PPT - Balancing Equations ANSWER KEY PowerPoint Presentation, free ...
Solved (1) 2Al+3Cl2→2AlCl3 (2) Mg(OH)2+H2SO4→MgSO4+2H2O (3) | Chegg.com
SOLVED: A solution of AlCl3 and K2CO3 results in the formation of Al2 ...
Linking Literacy During-Reading Modeling Conservation of a...
Solved Aluminum reacts with chlorine gas to make aluminum | Chegg.com
Solved 2Al(s)+CHCl(Aq)→2AlCl3(aq)+3H2(9) - mass of Aluminum | Chegg.com