Showing 118 of 118on this page. Filters & sort apply to loaded results; URL updates for sharing.118 of 118 on this page
Assignment Problem in Excel (Easy Steps)
Excel Practice Assignment 5 | Excel Formula | Excel Basics Of Data ...
Excel Practice Assignment 6 | Excel Formula | Excel Basics Of Data ...
Excel Assignment 4 | EXCEL 50 PRACTICE ASSIGNMENT SERIES | EXCEL BASICS ...
Learn Excel with Assignment || Excel Tutorial || Functions in MS Excel ...
Solved xcel Assignment: 1. Create an Excel file with the | Chegg.com
Microsoft Excel Assignment
Excel Assignment 9& 10 | EXCEL 50 PRACTICE ASSIGNMENT SERIES | EXCEL ...
Week 3 Excel Assignment - YouTube
Excel Assignment Practice Sheet | PDF | Computer Programming | Computer ...
Excel Practice Assignment 1 | PDF | Mathematics | Mathematical Analysis
MS Excel Assignment 10 - YouTube
Solved Excel Assignment 2 (IS 101) All the instructions and | Chegg.com
Completing and Submitting an Assignment Using Excel Educator - YouTube
Excel Assignment using formulas and a nested IF by Sandra Gibbs | TpT
Solved Microsoft Excel Assignment Follow the instructions | Chegg.com
Assignment 03 Excel Practice | PDF
Excel 2 Assignment Sheet | PDF
Excel Practice Assignment.docx - The purpose of this assignment is to ...
Microsoft Excel Assignment I.pdf - MICROSOFT EXCEL ASSIGNMENT I Name ...
Excel Assignment For Practice | PDF
Excel Assignment Help: Enhancing Your Skills and Excelling in ...
MS EXCEL ASSIGNMENT | Teaching Resources
Excel Assignment 3 | Spreadsheet | Text | Free 30-day Trial | Scribd
Excel Project Assignment (1) | PDF | Microsoft Excel | Spreadsheet
Excel Assignment - YouTube
Solved ASSIGNMENT 4 - MICROSOFT EXCEL INSTRUCTION: 1. You | Chegg.com
Excel In-Class Assignment 1 2 Instructions | PDF | Microsoft Excel ...
Excel Sheet Assignment 4 | PDF
Excel Assignment 8 Review How to Advanced Functions - YouTube
Excel Assignment 1 Instructions - Excel Assignment #1 For information ...
Microsoft Excel Assignment | PDF | Spreadsheet | Worksheet
Assignment Excel 1 Instructions.docx - Microsoft Excel Assignment #1 In ...
Excel Assignment 1 | PDF
Excel Assignment - Excel Assignment Due Jun 6 at 11:59p. Points 10 ...
Excel Assignment 1A - Infos practical class activity - Excel Assignment ...
Complete Your Excel Assignment in 10 Hours: A Comprehensive Guide
Excel Assignment 4 - YouTube
Excel Assignment 1 Part 2 - YouTube
Excel assignment F21 - Excel Assignment After reading the excel ...
ASSIGNMENT #7 EXCEL VIDEO - YouTube
Instructions for Excel Assignment 3 This assignment | Chegg.com
Excel Assignment # 2 - Math& 148 Excel Assignment # 1 This assignment ...
Excel assignment 1 part 7 - YouTube
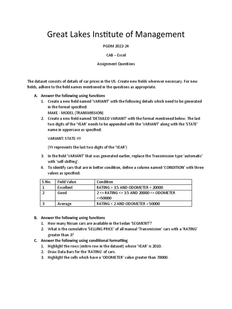
Excel - Assignment Questions | PDF | Microsoft Excel | Vehicles
EXCEL Assignment | PDF | Microsoft Excel | Worksheet
Excel assignment | DOC
MS Excel Assignment 5 - YouTube
Excel Assignment 2 - YouTube
Final Excel Assignment by Get Down to Teaching | TPT
Excel Assignment Guide for Students | PPTX
Solved Description For Excel Assignment #2 you will prepare | Chegg.com
EXCEL Assignment (2) | Discounts And Allowances | Test (Assessment)
excel assignment help Assignment 1 Instructions and | Chegg.com
01 Getting Started with your Excel Assignment - YouTube
Excel Assignment 5 - YouTube
Excel Tutorial Assignment | PDF | Microsoft Excel | Numbers
I need help with this excel assignment Excel 2019 In | Chegg.com
Ms - Excel Assignment | PDF | Microsoft Excel | Chart
Excel Tutorial: How To Make An Assignment Sheet In Excel ...
Excel assignment | PDF | Microsoft Excel | Worksheet
excel-assignments/excel assignment 1.pdf at main · gauravsinghb/excel ...
Assignment Problem Using Excel - YouTube
Assignment Excel 2 Instructions.docx - Microsoft Excel Assignment #2 ...
Microsoft Excel Assignment | PDF
Excel Assignment - Excel Assignment #1 For information on how to do any ...
Advanced Excel Exercises with Solutions PDF - ExcelDemy
Excel Practice Exercises PDF with Answers - ExcelDemy
Free Assignments Template For Excel
worksheet function - Displaying multiple columns using VLOOKUP in Excel ...
50 MS Excel Assignments for Practice | PDF | Fruit | Vegetables
Microsoft Excel 2013 Completed Assignments
Free Excel Assignments for Practice | PDF | Fruit | Vegetables
My First Excel Assignment-2 (1) | PDF | Mathematics | Microsoft Excel
Row data for excel practice - atomicasev
Microsoft Excel: Microsoft Excel Assignments
50 Ms Excel Assignments Pdf For Practice Free Download
50 Free MS Excel Practice Assignments | PDF | Fruit | Vegetables
50 Excel Assignments for Practice | PDF | Fruit | Vegetables
SOLUTION: 50 ms excel assignments - Studypool
Excel Assignments | Microsoft Excel | Spreadsheet
Excel Practice Assignments
Excel Workbook-MS Excel-Assignment | Exercises MS Microsoft Excel ...
Practice Excel Spreadsheet — db-excel.com
SOLUTION: 50 ms excel assignments pdf for practice free download ...
[PDF] 50+ MS Excel Assignments Practice Exercises PDF - Panot Book
50 Ms Excel Assignments PDF For Practice | PDF | Fruit | Vegetables
Free Excel Math Practice Worksheets
50 Ms Excel Assignments PDF For Practice | PDF
Excel Practical Assignments | PDF | Fruit | Vegetables
Excel Assignment: Beginner Level – TutorialNexa
EXCEL ASSIGNMENTS - COACH EISON'S CLASS
[Solved] This is excel assignment. Excel McGraw Hill Excel Question ...
Excel Practical Assignments 50 | PDF
Microsoft Excel: excel assignments
50 Excel Assignments for Practice
10 best Excel templates for students and educators
Microsoft Excel Assignments 1 | PDF | Spreadsheet | Computing
Excel-Assignments/Assignment 1.xlsx at main · Vijay36y/Excel ...
50 Ms Excel Assignments Pdf For Practice Free Download.pdf - Excellent ...