Showing 120 of 120on this page. Filters & sort apply to loaded results; URL updates for sharing.120 of 120 on this page
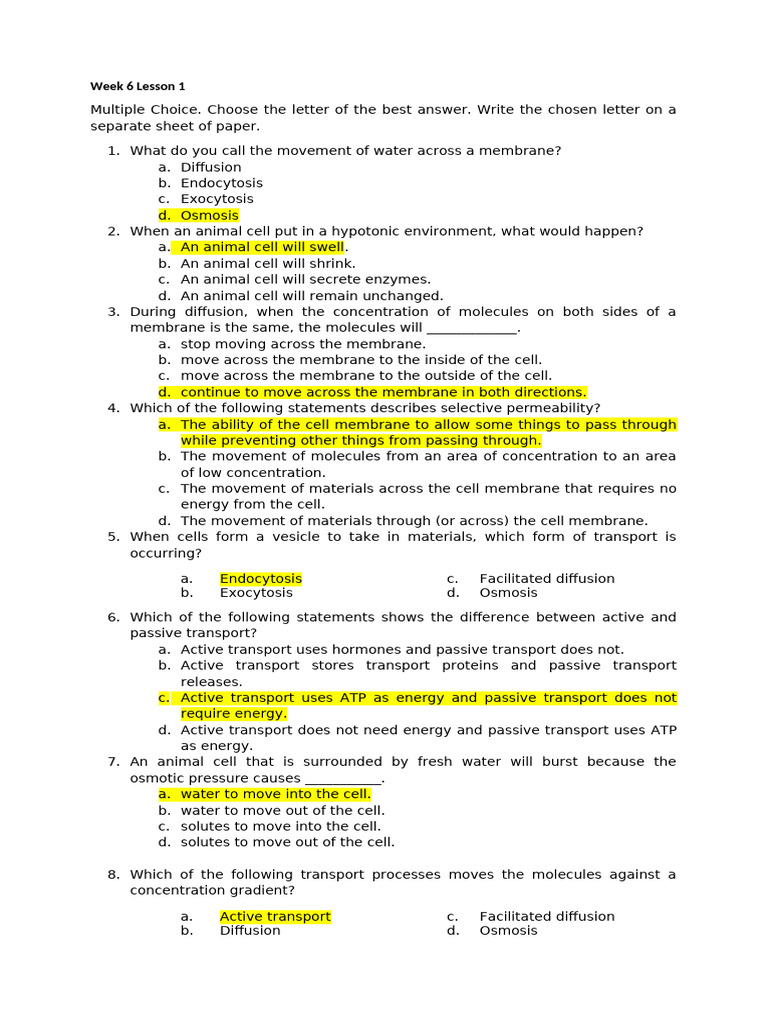
Module Answer Key + Hints | PDF
First Aid Module Answer Key | PDF | Pain | Clinical Medicine
Module 6 Answer Key | PDF
New Hot Spot 2 Short Tests Module 1 Answer Key PDF | PDF
Module 1: Introduction to OSHA Question and answer 2023 verified ...
Module 2 - Task 1 - Model Answer - Module 2 - Task 1 - Suggested ...
Answer key for module | DOCX
Module-answers - Pdf file for a module with answer keys - SABBAN, MA ...
Answer Sheet Module 4 | PDF
SOLUTION: Module 2 answer sheet - Studypool
Answer Sheet in Module 1 Final-Q1 | PDF
Answer Keys Module 1-17 | PDF
Module 8 Answer Key
Answer Key - Module 7 8 | PDF
Mental health Module 3 Short answer assignment - HUM 102 Module Three ...
module answer sheet & rationale - Nursing - NUR098 SAS# NUR098 SAS ...
Module Answer Sheet | PDF
Module 00101 15 Exam Basic Safety Answer Key
Module 7 Short Test Answer Key | PDF
New Hot Spot 2 Module 7 Answer Key | PDF
Module 2 Answer | PDF
Grade 1 Module 6 HW Answer Keys | PDF
WHO OMS WASH FIT - Module - 2 - Building - A - Team | PDF | Wash ...
Module 5 Coordination Mechanism in Humanitarian WASH | PDF | Emergency ...
Module 1 Assessment ANSWERS | PDF | Databases | Citation
WASH Module 4 Notes | PDF | Drinking Water | Wash
MMW Module 4 Answer-Key-And-Questions | PDF | Group Theory | Number Theory
2024 PSW MODULE 2 EXAM WITH CORRECT ANSWERS | Exams Advanced Education ...
OSHA Module 5: Health Hazards in Construction Questions and Answers ...
OSHA Module 16 Questions and Answers | Latest Version | 2024/2025 ...
Module 5 answers - Studocu
Module 4 PSW Assisting With Personal Hygiene Test Questions and Answers ...
Welding Level 2, Module 8 Questions and Answers | Latest Version | 2024 ...
Questions and Answers Module 3 | PDF | Pension | Economies
OSHA 10 Module 1 Pretest (2025) Exam With Actual Questions & 100% ...
Module 2 Safety & Mobility Test - Health Care Regulations - Studocu
EXAM MODULE 3: BIO 121, 2025/ 2026 WITH CORRECT/ACCURATE ANSWERS - BIO ...
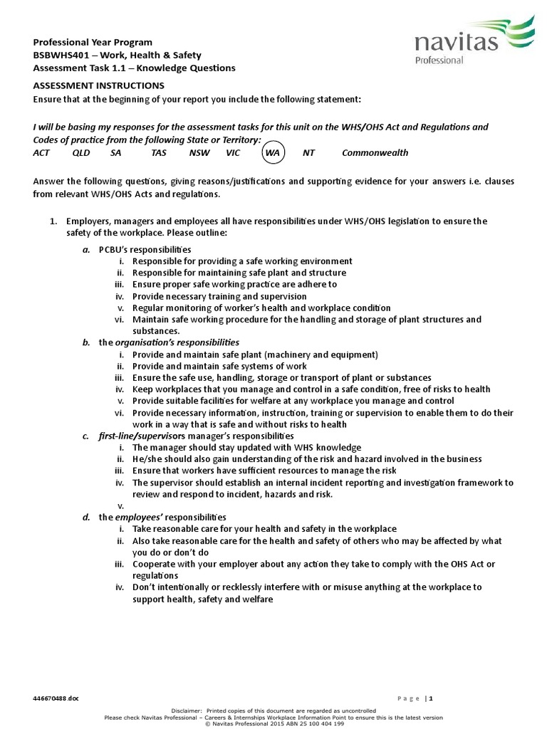
PY WHS OS Answer Questions | PDF | Occupational Safety And Health | Safety
C957 UNIT 2 REVIEW MODULE 2 WITH QUESTIONS AND ANSWERS 2025. - C957 ...
Module 1: Introduction to OSHA Questions and Answers - Module 1 ...
WGU C785 Biochemistry Module Set ( Module 1, 2, 3, 4, 5 ) ( Updated ...
WGU C955 - Module 4 Questions and Answers 100% Accurate - WGU C955 ...
Module 1 Assignment: R Script for Vector Operations and | Course Hero
Module-2-questions - Module 2 questions/answers worksheet - AY 101 ...
Module 2 - Final Exam on Safety and Mobility Test - Studocu
Operating System Module Answers.1 | PDF | Scheduling (Computing ...
PART 1 Assignment Module 6 - MODULE 6 – HOUSEHOLD MANAGEMENT, NUTRITION ...
Module 1- Introduction to WASH 1 .pptx - WATAER SANITATION AND HYGIENE ...
Disaster Management Module 3 Answers | PDF | Emergency Management ...
OSHA 10 Module 2 Questions and Answers Fully Solved - OSHA 10 - Stuvia US
SOLUTION: Easa part 66 b1.1 Module 4: Electronic Fundamentals - Studypool
S7 - Module 8 - Virtual Training with complete verified solutions 2025 ...
Woorkbook-Answers - Psw - ANSWER KEY Workbook to Accompany Sorrentino’s ...
Module 2 Answers - Module 2 Question and Answers Who does the Code ...
Module 6 Real Test Answers & Review: Comprehensive Study Guide - Studocu
PSW Foundations Module 1 Test (Latest 2025/ 2026 Update) Questions ...
Module Answers For Earth & Life Science | PDF | Plate Tectonics | Earth
Module Answers | PDF
Module 1 - PSW Foundations: Test A Response Guide - Studocu
School WaSH Monitoring Training Module | PDF | Wash | Evaluation
Module-1-questions - Module 1 questions/answers worksheet - AY 101 ...
OSHA 30 Module 1, 2 (Latest ) Actual Questions and Answers 100% Correct ...
Module Answers | PDF | Sampling (Statistics) | Level Of Measurement
Aws Module 4 Answers Aws Module 4: Lab 1
OSHA 30 Module 10 Lesson Assessment Questions and Answers | Latest ...
5-0 Check Your Knowledge- Module Five Michelle Garica - All correct ...
Computer Concepts - Module 1 Review Questions Answers + Key Terms ...
Cracking the Code: Deciphering the Module 00101 15 Exam Basic Safety ...
S7 - MODULE 3 - TRAINING AIDS DEVICES SIMULATIONS AND SIMULATORS NEW ...
CHEM 210 Biochemistry Module 7 Exam Portage Learning Questions and ...
Module 11 assignment 2 - PSW Course - Module 11 – Cognitive and Mental ...
Introduction to Computers: Module 4 Exam Questions and Answers | Exams ...
SOLUTION: Module 5 quiz - Studypool
ENGLISH MODULE 2 Answers | PDF
NCCER Electrical Level 2 Conductor Installations AND Module 2 TEST ...
OSHA 30 Construction Final Test Answer Key | Occupational Safety And ...
Module 2 - Quiz | PDF
Module 2 Test - Test - Module 2 Test - Safety & Mobility Total points64 ...
Module 5 Assignments Answers | PDF
CDFM Module 1 Study Questions And Answers Graded A With Verified ...
SEJPME II MODULE 2 / NEWEST ACTUAL EXAM COMPLETE 80 QUESTIONS AND ...
NCCER Module 3 Review Questions With 100% Correct Answers 2024 - NCCER ...
CHEM 210- MODULE 5 2024 QUESTIONS AND ANSWERS ELABORATION WITH MODULE 5 ...
RPH - Module 9 Assignment 1 | PDF | Wash
PSW - Module 11 Final Exam on Cognitive & Mental Health Issues - Studocu
OSHA 30 Module 2 (Latest ) Actual Questions and Answers 100% Correct ...
Free RW Module Answers | PDF
Module 2- NCCER Introduction to Construction Math Test Questions And ...
PEOS Answers Module 1 to Module 8 - YouTube
8.6.2 Module Quiz - Network Layer (Answers) | PDF | I Pv6 | Internet ...
UAS Module Questions And Answers (Updated And Verified) - UAS - Stuvia US
Module Answers For English For Academic and Professional Purposes | PDF ...
IRIS September 22 - IRIS coursework module answers. - Alexis Berry SPED ...
WASH Training Module for WTCIs - WATER, SANITATION AND HYGIENE (WASH ...
PSW EXAM MODULE 6 - MODULE 6 NOTES The care plan states that you are to ...
module 7 problems .pdf - 1 The owner of a car wash is trying to decide ...
Module 6 Assignment Answers.docx - 12-12 From historical data Harry's ...
USOC Module 4 - Occupational Health Exam with Answers - Pasing Grades
Module 6 test answers: your key to success
FL CDR Sample questions module 1-8 COMPREHENSIVE QUESTIONS WITH ...
Guide For Training Outreach Workers - Module 1 | PDF | Wash | Diarrhea
Asset-V1 WHOAcademy-Hosted+H0046EN+H0046EN Q4 2024+type@asset+block ...
asset-v1_WHOAcademy-Hosted+H0046EN+H0046EN_Q4_2024+type@asset+block ...
WHO OMS WASH FIT - Module-4 - Risk-Assessment | PDF | Risk | Risk ...
2023 Disaster Response Final-Answer Key | PDF | Wash | Waste Management
Safety Quiz: Identifying Correct Answers to Questions about Safe Work ...
[Solved] Questions Options There are Four Parts to the WHMIS System A ...
Guide to Answering Short-Answer Questions on WHS Policies | Course Hero
Mastering Workplace Safety: Key Insights on WSH Act Compliance | Course ...
Workbook Answers PSW Palliative Care - Workbook Answers One key message ...
Entrepreneurship Modules Answers | PDF | Supply Chain | Business
JONES & BARTLETT LEARNING MODULES 1-6|JBL Modules 1,2,3,4,5,6 Questions ...
Asset-V1 WHOAcademy-Hosted+H0046EN+H0046EN Q4 2024+Type@Asset+Block ...
PAL Modules - Discover Comprehensive Sample Preparation Capabilities
Training Modules Answers | PDF | Memory | Hand Washing
SOLUTION: ITN v7.02 – Modules 14 – 15 Network Application ...