Showing 120 of 120on this page. Filters & sort apply to loaded results; URL updates for sharing.120 of 120 on this page
Problems on work done/ problems on line integration for engineering ...
Work Sheet - Integration | PDF | Mathematics | Mathematical Analysis
Calculating Work by Integration - YouTube
Work Problems - Calculus - YouTube
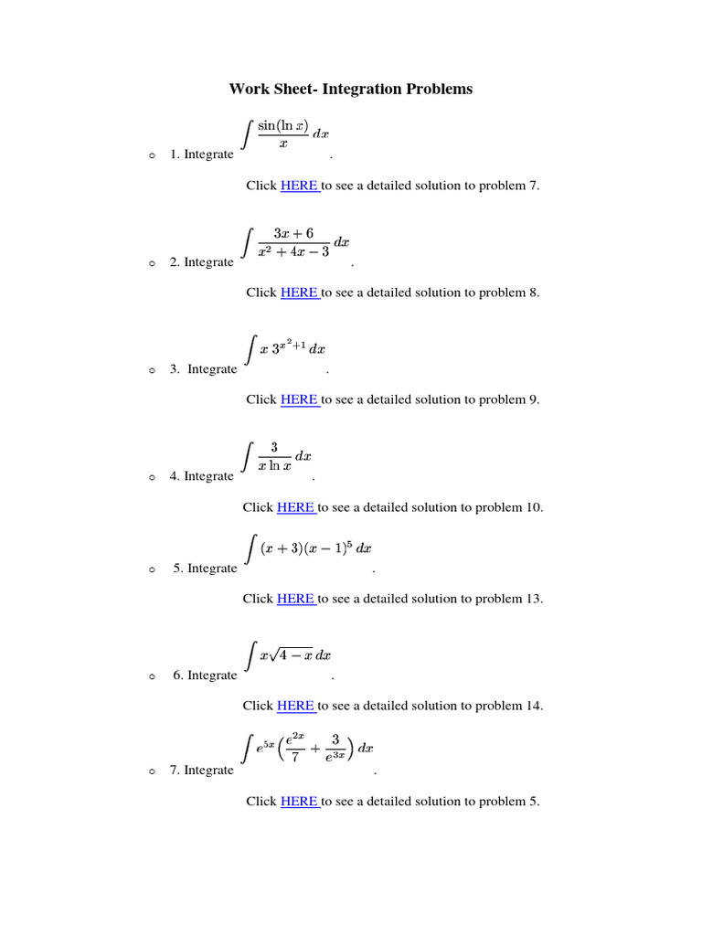
Integration Problems
Solved: Basic Integration Problems I. Find the following integrals. 1 ...
Math Tutor - Integral - Solved Problems - Integration
Quiz & Worksheet - Calculus Integration Problems | Study.com
Basic Integration Problems | PDF
Calculus : 30 Challenging Integration Problems with Detailed Solutions
Solved Problems in Integral Calculus Techniques of Integration ...
Integration by Parts Complete Lesson - 47 problems | Teaching Resources
100 Integration Problems | PDF
Integration by Parts Practice Problems with Answer Key by MasterMath ...
Basic Integration Problems Solutions | PDF
SOLUTION: Integration problems 2 - Studypool
Basic Integration Problems Mathematics Calculus.pdf
Principal results: the six challenges for maximizing work integration ...
Solve Integration Problems & Numerical Methods Workshop | Course Hero
Problems on line integral / work done (video 1) - YouTube
Integration notes - More Integration Problems Use the method of ...
Integration Problems | PDF
SOLUTION: Basic integration problems and solution - Studypool
SOLUTION: Integration solved problems 2 - Studypool
Integration Practice: Solve Basic Integration Problems | Course Hero
SOLUTION: Integration problems - Studypool
About — Work Life Integration Project
Practice Problems On Multiple Integration | PDF
Integration Problems - .... - Practice Integration Problems MATH 182 ...
Integration Problems-converted - INTEGRATION PROBLEMS Evaluate the ...
5 Ways to Promote Work-Life Integration Among Your Employees - When I Work
(PDF) Work integration
SOLUTION: Introduction to integration 101 with solved problems - Studypool
PPT - National Integration Problems PowerPoint Presentation, free ...
Module3 - How Patterns Solve Integration Problems | PDF | Enterprise ...
Line Integral of Work Type - Ex.1 - YouTube
Integrals and Work Example 1 - YouTube
newtonian mechanics - Work Integral and its derivation - Physics Stack ...
Solved Evaluate the work integral between the points (5, | Chegg.com
Integral Session: Solving 6 Integral Problems - YouTube
Work Formula
Integration Rules And Integration Definition With Examples Integration
How to Fix Common Workplace Integration Challenges | Zoho Workplace
Solved The work integral takes into account the component of | Chegg.com
Solved CALCULUS 2 - INTEGRATION TECHNIQUES I am practicing | Chegg.com
Work Done Formula, Calculation & Examples - Lesson | Study.com
Force and Work (Integrals) - YouTube
Integration by Parts the Fast Way - Example Problem #1 - Engineer4Free ...
Integration Worksheets 100 Questions and Answers - Maths Academy
Practice Problems For Integral | PDF
Integration by Parts with Definite Integrals Practice Problem ...
Integration By Parts Worksheets
Work Integral Calculus 2 Problem | PDF
7 Most Common Integration Issues & Failures | Multishoring
integration by parts interactive worksheet - YouTube
9 Common Integration Issues & How to Solve Them | NinjaOne
Integration by parts
Solved 10. Calculate the work integral ∫CF⋅dr for the vector | Chegg.com
Basic Integral Problems - YouTube
Problem solving business people with integration sign for teamwork ...
Indefinite Integration Problem Set | PDF
Basic Integration 20 Questions and Answers PDF - Maths Academy
A very hard integration problem! Can you solve it? ( Practice for IIT ...
9 Workplace Integration Dynamics You Can Use Now | PDF | Psychology ...
Integration Worksheets - 100 Questions and Answers - Maths Academy
M&A Integration Management Office (IMO), M&A Office, IMO Project Roles
How poor integration systems are quietly draining retailer profits
Integration Examples And Solutions
Solving Integration Problems: Complete the Square
Solved Question 1 0 / 1 pts The work integral is an integral | Chegg.com
A challenging integration problem! : r/IntegrationTechniques
Solved Consider the problem of finding the work done by the | Chegg.com
Integration By Parts Worksheet
Solved (b) Calculate the work integral ∫CF⋅dr, where | Chegg.com
Solved Set up the integral that gives the work | Chegg.com
8 Most common System Integration issues
Integration by parts (4 examples) - Calculus - YouTube
Five essential steps for work/life integration - Boost
Solved solve the questionGive an example of an integration | Chegg.com
FORCE (basic integral calculus) - Work Lesson Introduction In the last ...
Solving Integration Problems: Exam Questions Explained | Course Hero
Work-Life Integration Simplified For Happiness
How System Integration Supports Business Transformation
SOLUTION: Definite integral problems worksheet - Studypool
Common Workday Integration Challenges and The Right Way to Handle Them ...
Finding Work using Calculus - The Cable/Rope Problem - Part b - YouTube
INTEGRATION SOLVED PROBLEM 70 (DEFINITE INTEGRATION AND INDEFINITE ...
Buzztutor Questions and Answers by Category
Indefinite Integrals 20 Questions & Solutions - Calculus 2 ...
Solved Solve the following problems, showing any necessary | Chegg.com
50+ integrals worksheets for 11th Grade on Quizizz | Free & Printable ...
Work-Life Integration: Freedom from 9-to-5 Boundaries - Right Mindset ...
Calculus II (Integration) Solved Questions and Answers - 11494
Math Exercises & Math Problems: Definite Integral of a Function
Solve Definite Integral Calculator
Change of order of integration-Problems | PDF
How to solve a simple integral - YouTube
Area as a Double Integral and Setting up Multiple Double Integrals in ...
Edia | Free math homework in minutes - Worksheets Library
Integral Calculus Examples
Work-Life Integration: Is There an Employee-Employer Expectation Gap ...
Home | NY? Dubai? Jupiter?
Indefinite Integrals 20 Questions & Solutions - Calculus 2 Printable ...
Calculus Based Physics Problems: Energy, Work, Integration, Differentiation
A hard integral computed easily. In my previous article on doing… | by ...
PPT - Tackling the Semantic Interoperability of Modern Manufacturing ...
PPT - EXCI PROJECT Housing/employment –against exclusion PowerPoint ...
Integration-Problems With Solution | PDF
What is work-life integration? - FourWeekMBA
Solved (10 points) Work the integral∫01∫02∫12xy-2zdzdydx | Chegg.com
practice_integration_problems_1 | PDF | Mathematical Objects | Mathematics
10 common management issues – and how to overcome them