Showing 120 of 120on this page. Filters & sort apply to loaded results; URL updates for sharing.120 of 120 on this page
Wire Reciept For Dave | PDF | Cheque | Wire Transfer
QT - 200 Amp Asco Ats Series 185 | PDF | Wire Transfer | Cheque
How to Process Payment by Check / Cheque / Wire Transfer
Wire Request Form | PDF | Cheque | Wire Transfer
Wire Request Form PDF Cheque Wire Transfer | PDF | Scribd
Price Chart | Download Free PDF | Wire Transfer | Cheque
Invoice: Section 1 | Download Free PDF | Wire Transfer | Cheque
BankingAccount_Close_Request | PDF | Cheque | Wire Transfer
Schedule of Fees and Charges | PDF | Cheque | Wire Transfer
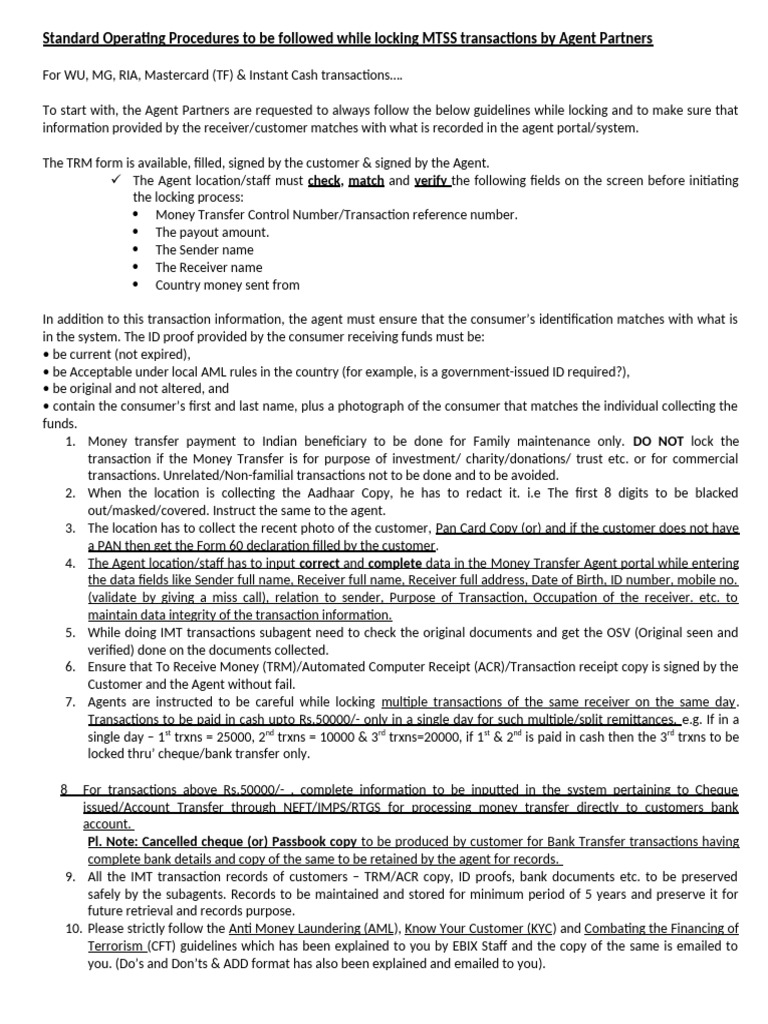
MTSS Transaction Locking SOP Guide | PDF | Wire Transfer | Cheque
Chase Bank Wire Transfers: (How to Send, Fees, Routing Numbers) [2021]
Wire Transfers | Innovation Federal Credit Union
What is My PNC Routing Number & Wire Transfer [Each State] - Frugal ...
Wire Transfers } Coast Capital | Coast Capital Savings
Create Checks or Wire Transfers
Wire Transfers: Everything You Need To Know - PiggyBank
Free Printable Wire Transfer Form Templates [Excel, PDF]
40 Wire Transfer Form Templates [PDF, Word, Excel]
Wire Transfers | Envision Financial
Wire Transfer Receipt Template, What are the different types of wire ...
Online Check Writer To Get Your Domestic Wire Done Quickly
ACH Vs Wire Transfer: Understanding The Key Differences - ECS
Frequently Asked Questions: Making Wire Transfer Requests
Wire Transfer Form Template Word - All Business Templates
FREE 15+ Wire Transfer Form Samples, PDF, MS Word, Google Docs, Excel
Purchase and Billing > How to purchase > Wire Transfer Payments
Wire Transfer Templates PDF. download Fill and print for free ...
Wire Transfer Template
Guide to ACH vs. Wire Transfers | IR
Create Wire Transfer
Free Wire Transfer Templates For Google Sheets And Microsoft Excel ...
How to Build a Wire Check| how to create check Step-by-Step Guide ...
FREE 5+ Wire Transfer Instructions Forms in PDF | MS Word
Sample Wire Transfer Instructions Form Template in Excel, Apple Numbers ...
FREE 9+ Wire Transfer Forms in PDF | Ms Word | Excel
360Logz - WIRE CHECK TUTORIAL & GUIDE
Wire transfer forms: Fill out & sign online | DocHub
Prospera Credit Union - Receiving Wire Transfers
Rocket Money | Learning Center | Wire Transfer: What It Is And How To ...
Woori America Bank Routing Numbers for ACH & Wire Transfers
How to Upgrade and Pay by Wire Transfer
How Much Are Wire Transfer Fees in Canada: RBC, TD, CIBC, Scotiabank ...
Online Wire Transfers Guide | PDF | Wire Transfer | Exchange Rate
Wire Transfer Procedure PDF | PDF | Wire Transfer | Payments
Wire Transfer Form Template - Templates Printable 2024
Wire Transfer Template Form
Wire Transfer Instructions Template
Wire Transfer Form - 2 Free Templates in PDF, Word, Excel Download
Wire Check Sample | PDF
Wire Transfer Service | Reliable International & Domestic Transfers
Wire Transfer Template - NoelMorrissey Blog
How To Write A Cheque Properly: 6 Easy Steps (With Infographic ...
Wire Transfer Quick Reference Guide for Customers - DocsLib
Incoming Wire Transfer Instructions | PDF
How To Wire a Check
Wire Authorization Form Name: - Property Address | PDF | Wire Transfer ...
Wire Transfer Policy Template
FREE 4+ Wire Request Forms in PDF | MS Word | Excel
FullStmt 1631014617514 3630203593845 Habib5426-1 | PDF | Wire Transfer ...
Wire Transfer Blank Template ≡ Fill Out Printable PDF Forms Online
Wire Transfer Invoice Template at Roy Katz blog
Informacion De Un Cheque Routing Number
PPT - Wire Transfers and Foreign Drafts PowerPoint Presentation, free ...
Free Wire Transfer Form Template
Important Update: ISO 20022 Wire Change – What You Need to Know ...
Wire Transfer Form Template Word
Wire Transfer Quick Reference Guide For Customers: 1-888-384-8400 ...
Wire Transfer Receipt Template Invoice Wire Transfer Template Joy ...
How to Create a Wire Transfer Template
Wire - Checkbook Docs
Wire Check Tutorial | PDF
Understanding ACH and Fedwire Routing codes in the USA
ACH vs Wire: What’s the Difference and How Do They Work? | Airwallex
What is a Routing Number in Canada? Where to find it | Cansumer
Webster Bank Routing Number | Complete List and FAQs
Find National Bank Transit, Routing, and Institution Number | Float
PPT - Financial Processing PowerPoint Presentation, free download - ID ...