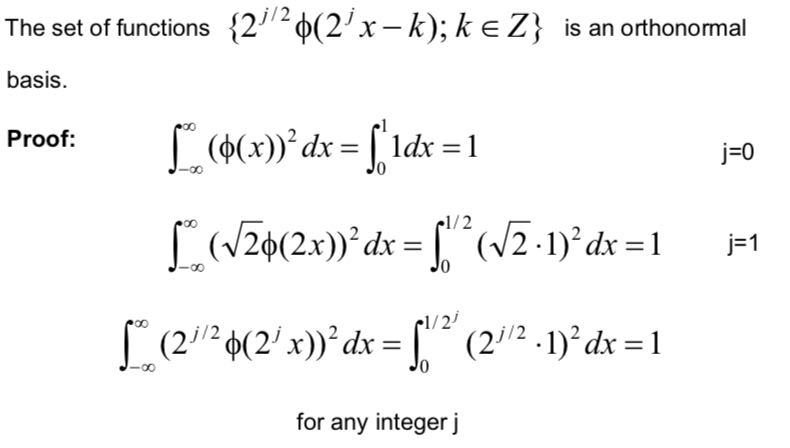
Showing 120 of 120on this page. Filters & sort apply to loaded results; URL updates for sharing.120 of 120 on this page
Wavelets for Computer Graphics
The Morgan Kaufmann Series in Computer Graphics Ser.: Wavelets for ...
CS576 Wavelets for Computer Graphics - 知乎
Wavelets for Computer Graphics: Theory and Applications (The Morgan ...
(PDF) Wavelets in Computer Graphics
Wavelets for Computer Graphics: A Primer
Wavelets for Computer Graphics: A Primer (Part 1) - Studocu
An Intro to Wavelets for Computer Musicians | Nathan Ho
Wavelets and their Applications in Computer Graphics : Alain Fournier ...
(PDF) A finite bidimensional wavelet framework for computer graphics ...
Wavelets for Computer Graphics: Errata
Stollnitz et al-CGn A1995 - Wavelets for Computer Graphics: A Primer ...
خرید و قیمت دانلود کتاب SIGGRAPH Course Notes: Wavelets in Computer ...
Figure 1 from Use of Wavelet Transform Extension for Graphics Image ...
Wavelets in Computer Graphics: A Primer on Haar Basis | Course Hero
Examples of wavelets used for EEG processing. | Download Scientific Diagram
Wavelet Analysis on the Sphere: Spheroidal Wavelets - Free Computer ...
Graphics of the mother wavelets showed in Table 2. | Download ...
Wavelets Meet Large Language Models | PDF | Wavelet | Computer Engineering
Explaining Image Classifiers with Wavelets
The Wavelet Transform | Baeldung on Computer Science
PPT - Wavelets PowerPoint Presentation, free download - ID:5130
PPT - Computer Vision & Pattern Recognition Lab. 김 태 철 2004. 10. 4 ( 월 ...
“Wavelets in Computer Graphics” by Schröder, Sweldens, DeRose, Cohen ...
Digital Image Processing Wavelets and Multiresolution Processing Wavelet
How WAVELETS can help separate the signal from the noise - The SAS Data ...
Spherical wavelets | Proceedings of the 22nd annual conference on ...
PPT - Wavelets in Medical Image Processing Research PowerPoint ...
How Wavelets Let Researchers Transform and Understand Data | WIRED
Wavelet Potentials: An Efficient Potential Recovery Technique for ...
Wavelet Analysis and Its Applications: Numerical Methods, Computer ...
PPT - Computer vision PowerPoint Presentation, free download - ID:6761845
Understanding Wavelets
Wavelets
Wavelet Analyzer - (Removed) Analyze signals and images using wavelets ...
Setting up Equalizers on Android for Best Audio Experience - Technastic
Using Wavelets (Wavelet Toolbox)
Wavelet | PDF | Wavelet | Computer Engineering
PPT - Computer Vision – Compression(2) PowerPoint Presentation, free ...
(PDF) Introduction to Wavelet - Computer Science and Engineeringbaden ...
Introduction To Wavelets in Image Processing: Image and ...
PPT - Real-Time Volume Graphics PowerPoint Presentation, free download ...
Application of Wavelets To Document Image Processing, Graph Processing ...
(PDF) Neural Wavelet-domain Diffusion for 3D Shape Generation
Wavelets In Digital Image Processing Rwt_logo.jpg
PPT - Some applications of wavelets PowerPoint Presentation, free ...
PPT - Hardware-Accelerated Filtering PowerPoint Presentation, free ...
Wavelet Levels - RawPedia
PPT - Transformada Wavelet : O que é? Para que serve? PowerPoint ...
Intro. to Signal Processing:Wavelets and wavelet denoising
PPT - What is Wavelet? ( Wavelet Analysis) PowerPoint Presentation ...
A really friendly guide to use of Wavelet Theory in Machine Learning ...
The Wavelet Tutorial
Pobierz Wavelet: headphone specific EQ na PC za pomocą MEmu
Different types of continuous wavelets. | Download Scientific Diagram
PPT - Adaptively Sampled Distance Fields: A General Representation of ...
Wavelet Resources
Wavelet Transforms - GeeksforGeeks
Baixe Wavelet: headphone specific EQ no PC com MEmu
PPT - Wavelet Image Analysis PowerPoint Presentation, free download ...
Wavelet Tutorial - Part 3
Wavelet Toolbox - MATLAB
Some Common Types of Mother Wavelets. | Download Scientific Diagram
4.3 The Wavelet Transform | Image Analysis Class 2013 - YouTube
Wavelet Analysis
Examples of different types of wavelets. | Download Scientific Diagram
PPT - Wavelet Analysis Why? What? And How? PowerPoint Presentation ...
Wavelet text hi-res stock photography and images - Alamy
Graph‐Based Wavelet Representation of Multi‐Variate Terrain Data ...
PPT - Wavelet Spectral Analysis PowerPoint Presentation, free download ...
The wavelet structure and multi-resolution analysis in time and ...
Figure 3 from The 2D Discrete Wavelet Transform on Programmable ...
Wavelet - and better sounding speakers (and headphones) on Android...
Image Compression by Wavelet Packets
Wavelet Based Image Segmentation: Andrea Gavlasov A, Ale S Proch Azka ...
Python Wavelet Transform Library: PyWavelets and Built-in Wavelet ...
Wavelets: a mathematical microscope - YouTube