Showing 120 of 120on this page. Filters & sort apply to loaded results; URL updates for sharing.120 of 120 on this page
Harmonic Oscillator Wave Function Table at Daniel Epperson blog
Solved TABLE 2.4 Hydrogen Atom Wave Functions: Radial | Chegg.com
Solved Prove that the hydrogen atom wave function ?(r, ?, ?) | Chegg.com
with the help of the wave functions listed in table 61 verify that l 1 ...
Normalizing The Hydrogen Wave Function SIMPLE HARMONIC OSCILLATYOR
Hydrogen-atom wave functions table - Big Chemical Encyclopedia
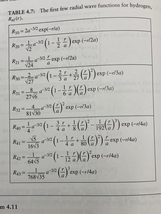
Solved for the table of radial wave functions of hydrogen, | Chegg.com
Hydrogen Atom Radial Wave Function
Radial Wave Function Hydrogen CHAPTER 7 The Hydrogen Atom
How to Normalize a Wave function in Quantum Mechanics - YouTube
Hydrogen Wave Function
What does the wave function Ψ look like for an hydrogen atom? : r ...
H2 single ionization - wave function imaging
Hydrogen's wave function
quantum mechanics - Hydrogen wave function for electron orbitals ...
First pictures of hydrogen molecule wave function unveiled | Research ...
Wave function of H atom by Dr. Narinderjit | PPTX
With the help of the wave functions listed in Table | Chegg.com
(a) Wave function plot of Hydrogen molecule for different principal ...
1. Refer to the wave function table, the square of | Chegg.com
What does the wave function Ψ look like for an hydrogen atom? : askscience
The wave function of a Hydrogen atom for n=2 and ℓ=1 | Chegg.com
The wave function, Psi("n, l, m(l)) is a mathematical function whose
Solved Table 11.2 Hydrogen Atom Wave Functions for n=1,2, | Chegg.com
Projection of the full time-dependent wave function on the bare 1s ...
Solved 1. The wave function of hydrogen atom is Rnl(r) | Chegg.com
Interpretation of Wave Function - Basic Quantum Chemistry - YouTube
Hydrogen Wave Function 3D Model - TurboSquid 1710231
2D Hydrogen Electron Orbitals Poster (purple) - Etsy UK | Wave function ...
Solved 8) Hydrogen atom The wave function of an electron in | Chegg.com
Concept of Wave Function in Physics - ppt download
Table 1 from Relativistic Schrödinger Wave Equation for Hydrogen Atom ...
SOLVED: Knowing that the wave function for the ground state and the ...
Radial wave function for the 2s state of the Hydrogen atom in an ...
Solved Write the complex hydrogen atom wave functions, 2p-1, | Chegg.com
Solved Use the tables of Hydrogen Atom Radial Wave Functions | Chegg.com
First normalized wave functions of the hydrogen atom. This is an ...
Visualization of the hydrogen atom wave functions
Periodic Table: Wave Functions II. | This visualization of t… | Flickr
Hydrogen Atom Wave Functions
Hydrogen Wave Functions I. | This visualization shows the wa… | Flickr
Q14. H-Atom Wave Functions And Classical Correspondence – Basic Physics
Wave Functions of the Electron in a Hydrogen
Hydrogen Radial Wave Functions If Truncated Wave Functions Of Excited
Hydrogen Wave Functions III. | This visualization shows the … | Flickr
Hydrogen Atom Wave Functions, and Probability Densities
Quantum Mechanics 2: Schroedinger equation. Atomic wave functions ...
Solved The Hydrogen Atom Wave Functions Are Eigenfunctions | Chegg.com
Hydrogen Atom Wave Function, HD Png Download , Transparent Png Image ...
Hydrogen Atomic Radial Wave Functions
(Solved) - The wave functions for the first two energy levels of a ...
Building Wave Functions of the Outer Electron for Alkaline Atoms Theory ...
Hydrogen Wave Functions
Normalized wave functions curves as functions of the position for the ...
Solved The spatial wave functions of hydrogen -like atom, | Chegg.com
Hydrogen wave functions and their components - As n goes up, the ...
PPT - Hydrogen Atom in Wave Mechanics: Analytical Solution & Quantum ...
[Solved] Using the relationships given in Table 8. | SolutionInn
First six radial wave functions of hydrogen atom First six radial wave ...
Fourier Series of Waveforms: Table & Examples
25. With the help of the wave functions listed in | Chegg.com
SOLVED: Use the tables of Hydrogen Atom Radial Wave Functions and ...
Solved For a hydrogen atom in the (3, 2, 0) state: (a) Show | Chegg.com
quantum mechanics - How to understand the hydrogen energy level and its ...
Intuitive Concepts in Quantum Mechanics
PPT - Lecture 24 The Hydrogen Atom revisited PowerPoint Presentation ...
PPT - LECTURE 21 PowerPoint Presentation, free download - ID:5520049
Hydrogen Wavefunctions
PPT - Chapter 42 PowerPoint Presentation, free download - ID:5580472
PPT - Atomic Structure PowerPoint Presentation, free download - ID:1489747
Molecular physical chemistry - the hydrogen
PPT - wavelength PowerPoint Presentation - ID:5146419
PPT - Quantum Mechanics PowerPoint Presentation, free download - ID:4211341
PPT - Physics 3313 - Lecture 16 PowerPoint Presentation, free download ...
PPT - Chapter 12 PowerPoint Presentation, free download - ID:3342695
Hydrogen Atom Wavefunctions
Hydrogen atom wavefunctions - YouTube
Solved 3. Below are wavefunctions for hydrogenlike atoms. | Chegg.com
Solved Show that the hydrogen atomic wavefunction 0311 | Chegg.com
PPT - Physical Chemistry III (728342) Introduction to Quantum Theory ...
Hydrogen | Properties, Uses, & Facts | Britannica
Hydrogen Atom
Lecture 36
The Hydrogen Atom
PPT - Modern Physics lecture X PowerPoint Presentation, free download ...
Hydrogen Atom: Recap
Hydrogen atom - wavefunctions - YouTube
The quantities for seven He-like atoms, using the wavefunction φ 2 ...