Showing 116 of 116on this page. Filters & sort apply to loaded results; URL updates for sharing.116 of 116 on this page
World’s first tree reconstructed
World's First Tree Reconstructed | Live Science
Wattieza - The world's oldest giant cladoxylopsid tree and the first ...
What Did The First Tree Look Like at Maddison Koerstz blog
Premium AI Image | Ancient Wattieza Tree
What were the first trees on Earth? Meet Wattieza and Archaeopteris
Wattieza Tree - Wattieza was a genus of prehistoric trees that existed ...
Amazon.com: Wattieza prehistoric tree on white background Poster Print ...
(PDF) WATTIEZA -THE WORLD'S OLDEST GIANT CLADOXYLOPSID TREE AND THE ...
Wattieza Prehistoric Tree White Wall Decal - WallMonkeys.com – Wallmonkeys
Wattieza tree hi-res stock photography and images - Alamy
Fossil tree fern hi-res stock photography and images - Alamy
Root - The earliest known tree is Wattieza, identified from 385 million ...
A Gilboa Dam fossilized Wattieza tree stump rests on top of Brachiopod ...
The first trees begin to populate Earth near the end of the Devonian ...
Tree Removal 101: What Do Tree Services Do With the Wood?
Meet Methuselah - The 4,855-Year-Old Tree That's Outlived Civilizations!
A fossil may rewrite the story of how plants first lived on land | New ...
Found! World's oldest tree › News in Science (ABC Science)
Christmas Tree Disposal Guidelines | easthartfordct
Greenwood Tree Photos and Premium High Res Pictures - Getty Images
How To Safely Dispose Of Tree Branches
360 Pine Tree Waste Stock Photos, High-Res Pictures, and Images - Getty ...
Dry Tree Waste Stock Photo - Download Image Now - Branch - Plant Part ...
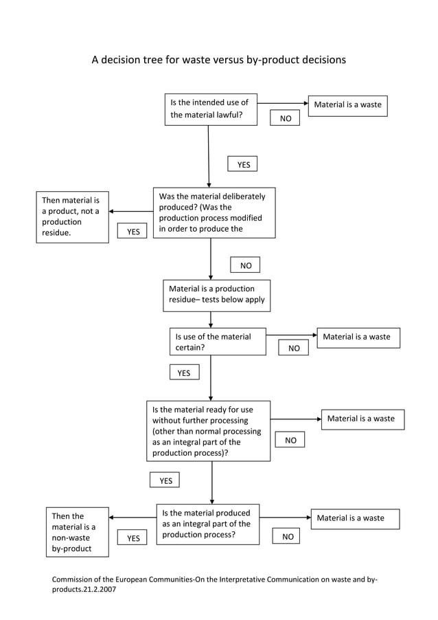
A decision tree for waste versus by-products | DOCX
2 CU.YD - TREE WASTE DISPOSAL SDN BHD
Plastic Waste Stuck Hibiscus Tree By Stock Photo 2014152215 | Shutterstock
Plastic Waste Stuck In Tree Roots Stock Photo Stock Photo - Download ...
Tree of life statue made of waste - AI Generated Artwork - NightCafe ...
Creative Eco-Friendly Tree Crafting Using Recycled Waste Materials ...
Tree Emerges From The Chimney Of The Recycling Plant Stock Illustration ...
Earth First Waste Services | Your Eco-Friendly Waste Management Solution
Tree Removal Services Prioritize Green Waste Management
Plastic Bags And Waste On Tree Branches By The River Stock Photo ...
Tree Waste Removal | JensonBrothers.com
What should I do with downed tree waste? : r/Permaculture
Pine Tree Waste Photos and Premium High Res Pictures - Getty Images
DIY Christmas Tree 🎄 Best out of waste 🌲| Christmas Decoration ideas ...
India’s First E-Waste Recycling Park in Delhi, Impact, Significance, News
240L - TREE WASTE DISPOSAL SDN BHD
First time drawing on waste wood piece #wood_desgin #tree_drawing #tree ...
About Earth First Waste Services | Eco-Friendly Waste Solutions
Zero Waste Christmas Tree Stock Photo - Download Image Now - Angel, Bag ...
The History Of Life: The Devonian • Lazer Horse
Wattieza: One Of The Earliest Known Trees Photograph by Mark Garlick ...
Wattieza | Prehistoric Wiki | Fandom
15 Astounding Facts About Trees
Wattieza
Oldest petrified forest unearthed: Gilboa
The Oldest Tree, Upstate NY, Taurus, Egypt, Alpha-Omega, Frond
Wattieza: one of the earliest known trees Stock Photo - Alamy
Wattieza: One Of The Earliest Known Trees Framed Print by Science Photo ...
Presentation on the topic Extinct birds animals and
Wattieza: One Of The Earliest Known Trees #1 Photograph by Science ...
Wattieza - Alchetron, The Free Social Encyclopedia
Wattieza was a genus of prehistoric trees that existed in… | Victor D ...
Wattieza Facts for Kids
Earth's Earliest Forest Revealed In Somerset Fossils | Mirage News
Prehistoric - Before trees shaped the Earth’s climate and landscapes ...
Enigmatic fossil plants with three-dimensional, arborescent-growth ...
Wattieza - Wikipedia
Stage 12: Devonian Park | Geo-Sports
Scientists Discover 280-million-year-old Fossil Forest In Antarctica
55 Fascinating Facts About Trees for Kids - Jelettay.com
Wattieza givetiana - 3D model by Paleobiome [e94b97f] - Sketchfab
Wattieza Stockmans from South Mountain, New York, NYSM 17039.a, General ...
55 Fascinating Facts About Trees for Kids
Árvore Wattieza antiga | Foto Premium
Notas de Geologia de Venezuela
Devonian Wattieza Forest - The Prehistoric Nature Wiki
Ryl Madol: Geography, Flora and Fauna
Evolution of plants through different geological time scale | PPTX
Episode 225 – Forests – The Common Descent Podcast
BBC NEWS | UK | Wales | Fossilised trees mystery solved
New Page - wattieza
Fun Facts About Trees
(PDF) Giant cladoxylopsid trees resolve enigma of the Earth's earliest ...
Devonian Fossil Forest of Gilboa | Natural History Nature Documentary
Wattieza - The Prehistoric Nature Wiki
Árvore wattieza antiga | Foto Premium
EVERYPlant Wattieza Givetiana for Vue
Le plus vieil arbre fossile du monde vient de parler
New York Fossils | New York Nature
Artists showcase work in new exhibition 'Shadow Forests'
The origin of plants - Dinoera
Life Before the Dinosaurs: Archaeopteris.
Clever Disposal of Dead Branches and Fallen Leaves - GEP ECOTECH
Devonian Plant Fossils Earth's Earliest Forest: Fossilized Trees And
Step by step How to make Banana Fiber to Produce Fabric AlgaeForBiofuels
Le Méridien New Delhi Unveils “Consciously Festive” 23-ft Christmas ...