Showing 120 of 120on this page. Filters & sort apply to loaded results; URL updates for sharing.120 of 120 on this page
Selective Oxidation of WS2 Defect Domain with Sub‐Monolayer Thickness ...
Laser‐ and Ion‐Induced Defect Engineering in WS2 Monolayers ...
a) Schematic diagram of 8 × 8 × 1 supercell of WS2 with ErW defect ...
Selective Antisite Defect Formation in WS2 Monolayers via Reactive ...
The impact of bulk defect concentration in WS2 absorber layer a on the ...
Two-level quantum defect screening in WS2 a Two defect configurations ...
Enhanced Photoresponse of WS2 Photodetectors through Interfacial Defect ...
(PDF) Highly Sensitive and Selective Defect WS2 Chemical Sensor for ...
Highly Sensitive and Selective Defect WS2 Chemical Sensor for Detecting ...
Effects of WS2 absorber thickness and bulk defect density variations on ...
PL upconversion by phonon absorption via a real defect state in WS2 ...
(PDF) A substitutional quantum defect in WS2 discovered by high ...
Heterogeneous Defect Domains in Single‐Crystalline Hexagonal WS2 ...
Effects of Defect and Temperature on the Mechanical Performance of WS2 ...
Figure 1 from Atomic defect states in monolayers of MoS2 and WS2 ...
FIG. S1. (a) Large scale STM image of a WS2 region showing a high ...
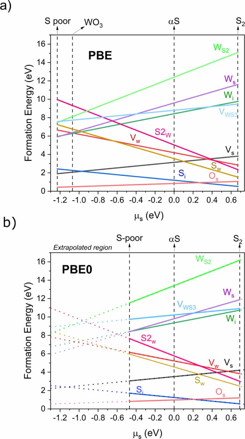
Defects in WS2 monolayer calculated with a nonlocal functional: any ...
Atomic resolution images of common beam-induced defects in 2D WS2 ...
Revealing defect-bound excitons in WS2 monolayer at room ...
Engineering of Vacancy Defects in WS2 Monolayer by Rare‐Earth (Er, Tm ...
(a-c) Structural model of (a) WSe2 on graphene with one CH Se defect ...
Defect density analysis of proton beam irradiated WS 2 and WSe 2 ...
Revealing the Atomic Defects of WS2 Governing Its Distinct Optical ...
A diagram showing the positions of one-electron defect states within ...
(a) Optical image of a WS2 monolayer flake obtained using dry ...
Mobility for MoS2 and WS2 for the same concentration (0.1%) of point ...
a) The PL mapping image of the same WS2 flake shown in Figure S8a in ...
High-quality WS2 monolayer grown on vicinal a-plane sapphire a, Typical ...
Identifying the Origin of Defect-Induced Raman Mode in WS2 Monolayers ...
Engineering the Electrical and Optical Properties of WS2 Monolayers via ...
TEM images of the raw WS2 (a), the Co-doped WS2 (b), and the Co-doped ...
(a) and (b)Se doping in monolayer WS2 is shown, (c) Variation of band ...
Figure 4 from Unveiling Defect-Related Raman Mode of Monolayer WS2 via ...
Unveiling Defect-Related Raman Mode of Monolayer WS2 via Tip-Enhanced ...
Quantitative analysis of electron radiation damage in 2D WS2 during ...
Figure 1 from Effects of Defects on Band Structure and Excitons in WS2 ...
(PDF) Engineering the Electrical and Optical Properties of WS2 ...
Electronic and geometric structure of the neutral antisite defect WS⁰ ...
Identifying Defect-Induced Trion in Monolayer WS2 via Carrier Screening ...
(a) Temperature evolution of PL spectra measured on a WS2 monolayer ...
Lattice distortions induced by 4 intrinsic defects in monolayer WS2 ...
Figure 1 from How Substitutional Point Defects in Two-Dimensional WS2 ...
(PDF) Low-defect-density WS2 by hydroxide vapor phase deposition
Revealing Defect-State Photoluminescence in Monolayer WS2 by Cryogenic ...
(a) Scanning tunneling spectroscopy (STS) of a CH S defect in undoped ...
AFM image and height profile of a) WS2 and b) WSe2/WS2 heterostructure ...
(a) UV–visible absorption spectra for WS2 (black), WSe2 (red) monolayer ...
Chemical analysis of WS2 using XPS. W 4f core level XPS spectra of WS2 ...
Robust and High Photoluminescence in WS2 Monolayer through In Situ ...
Defect removal of 2D semiconductor crystals
Properties of WS2 MLs with oxygen substituent defects: a) STS spectra ...
(a) Power dependence of PL spectra of a WS2 monolayer encapsulated in ...
a The impact of WS2 layer thickness on the performance of the output ...
Suspended monolayer WS2 on TEM grid irradiated by Ga⁺ FIB. (a) Optical ...
Photoluminescence (PL) spectra of WS2 layers corresponding to the ...
Characterization of WS2 film.: (a) Three-dimensional atomic structure ...
Unusual Defect-Related Room-Temperature Emission from WS2 Monolayers ...
Figure 10 from How Substitutional Point Defects in Two-Dimensional WS2 ...
AB–AC SBs in bilayer WS2 on graphene. a) SEM image of WS2 directly ...
Schematics for the nonequilibrium synthesis of antisite defects in ...
The Electronic Properties of O-Doped Pure and Sulfur Vacancy-Defect ...
Atomic defects in 1T′ WS2. (a) ADF-STEM image with probe tail effect ...
Efficiently exciting defect-bound excitons at different locations of ...
Structure of nearly single-orientation monolayer 2H-WS2 film and its GB ...
Strong interlayer coupling. a) Optical image of a WS2/graphene ...
Long lifetime of defect-induced excitons. (a) PL spectra of monolayer ...
Schematic of the strip model of WS2. The model has an in-plane ...
| Doping-dependent PL spectra of interlayer excitons in WS2/WSe2 moiré ...
Total and partial DOS of pristine WS2/WSe2 heterostructure (a) and with ...
Defects‐dependent absorption mechanism. Band diagram sketch and ...
DFT-calculated structures of bulk pristine WS 2 and monolayer WS 2 on a ...
(Top row) Low-magnification HAADF AC-STEM images of suspended ...
Identification of antisite defects by Z‐contrast STEM/EELS. a) HAADF ...
Identification of vacancy defects. a) Scanning transmission electron ...
(a) HAADF STEM image of a single nanopore/defect with d ∼ 0.6 nm in a ...
(a) Schematic of the WSe2 flake treatments and their proposed effect on ...
Figure 1 from Air-Stable n-Doping of WSe2 by Anion Vacancy Formation ...
Strong Magneto-Optical Responses of an Ensemble of Defect-Bound ...
Defect-Selective Functionalization of 2D-WS2 Nanofilms with Pt ...
Finding New Types Of 2D Material Defects Could Enable Better ...
(a) Raman spectra of bare W2C/WS2 and WCNT01 samples. High-resolution ...
(PDF) Identification of active atomic defects in a monolayered tungsten ...
Synthesis and transfer of WS 2 monolayers for preparing WS 2 /Ge ...
Neutral and defect-induced exciton annihilation in defective monolayer ...
Modulation of the WS2-microcavity devices. (a) Schematic diagram of the ...