Showing 118 of 118on this page. Filters & sort apply to loaded results; URL updates for sharing.118 of 118 on this page
Profesionales de VALITE - Conócenos
Valite Font by WIDIHARINATA Studio · Creative Fabrica
Fuji Espree 12-Speed Bicycle 1983 23" Frame 58cm Frame Works VALite ...
Especialistas en cajas de cambio . Valite
Valite
Valite - Minimal Powerpoint Presentation Template Incl. powerpoint ...
日本代購代標第一品牌【樂淘letao】-FUJI OLYMPIC VAlite フジ オリンピック ヴァライト ランドナー ロードバイク ...
Valite is such a tsundere. Just telling to be careful now he sounds ...
Valite - Modern Presentation Template
Edna Contillo Valite
Valite - Minimal Powerpoint Presentation Template by Creavora on Envato ...
Valite Bazar
Vintage Fuji Palisade VaLITE tubing bike frame pearl white 19.375 in ...
Yahoo!オークション - 下松)[送料無料] FUJI OLYMPIC VALITE 年式不明 ...
日本最大級のUSEDスポーツサイクル&パーツ買取・販売店サイクリーItem - OLYMPIC VALITE
The Ultimate Guide to Fuji Valite Tubing: Your Ticket to a Smooth Ride ...
Man in Valite Inc. Hat. Louis Fleckenstein, photographer (American ...
VALITE TÉCNICAS EN CAJAS DE CAMBIO en LinkedIn: #personas #personas # ...
Fuji Espree 27" Wheel Road Bike Frameset 49cm (c-t) 100/126mm VALite ...
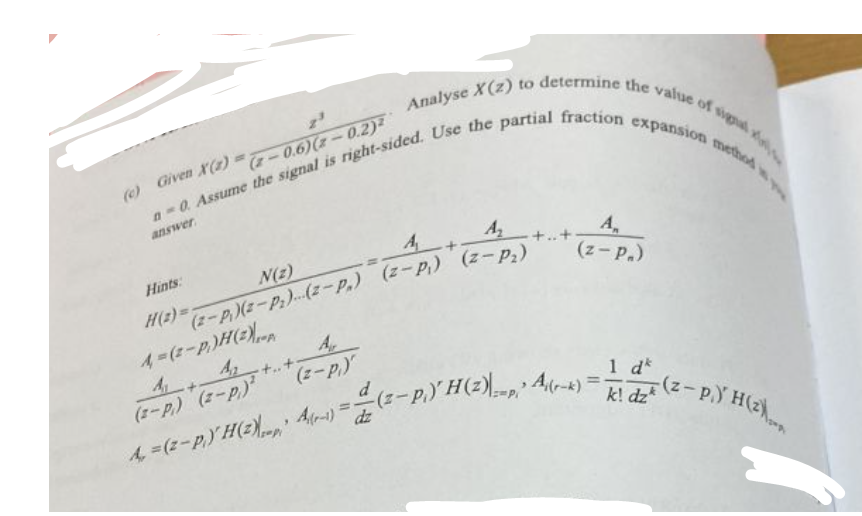
Solved Analyse X(z) to determine the valite of 8/6/4 a=0. | Chegg.com
How much is my vintage Club Fuji VALite worth? : r/Vintage_bicycles
PV Passation Hebdomadaire Valite | PDF | Économie | Argent
Mille ne dite cento ne fate Ma' semp zero valite ! nel 2025 | Citazioni ...
Valite - Contacto
FUJI SUPREME VALite with ORIGINAL EVERYTHING for Sale in Lake Worth, FL ...
Edmar Valite
Valite サイドテーブル m11058 ブラウン - 通販 | 家具とインテリアの通販【RoomClipショッピング】
Club Fuji VALite Bicycle Frame | eBay
Sokid reedavad teie tegeliku vanuse. Millised sokid te valite ...
Christopher Bautista Valite
Danica C. Valite
Fuji Valite Quad Butted Steel Tubing for Sale in San Diego, CA - OfferUp
Remie Ramilo Valite
Grace Puyot - Valite
Ness Valite
Christian Joel VALITE | University of Rizal System, Tanay | College of ...
Yahoo!オークション - 【FUJI】OLYMPIC VAlite ロードバイク 2x6速 550...
下松 FUJI OLYMPIC VALITE 年式不明 クロモリ ランドナー ロードバイク C-T520mm 2×5速 レッド ...
Found a free Fuji Valite Absolute on my way home today. This is my ...
Valite Italic Font - Script Decorative - What Font Is
Vintage 1984 Fuji Sagres Original Bicycle Valite Tubing Best Condition ...
Valite Font - Script Playful - What Font Is
Vintage Club Fuji Frame Set 58 56 cm 700c Valite Lugged Steel Race Bike ...
Idyd w Valite - ibisPaint
Vintage Fuji Absolute Valite Road Bike Red | eBay
PIÑATA PRINCESA VALITE
Fuji Espree 49 cm frame- VALite tubing- 12 speed- Vintage Touring-made ...
Migi Valite
DS Collab W Valite and Frogie - ibisPaint
ANG BATANG NAGING KASAMA KO SA... - Edna Contillo Valite | Facebook
Rim mono pallette. valite オードトワレ - メルカリ
Dorelyn Villasis Valite - -- | LinkedIn
エッジAIを駆使した新たなナンバープレート認識装置mmEye-VALiteの登場 - サードニュース
A-Valite Association | Võhma
Valitè | Gubbio
Gremio de Automoción de Cataluña | GAC - Gremi d'Automoció de Catalunya
Bicycle, Fuji Espree-VAlite 12 Speed ~Vintage- 1985 -26" Wheels (pre ...
Princesas de Disney Merida Png | Princesa merida, Princesas, Valiente ...
Christian Acorda-valite Milarpes
リア
Elizabeth Kamaile Kahailihauwelo Kekahuna wins title at 33rd Annual ...
1986 Fuji Junior/Valite
Christian Acorda-valite... - Christian Acorda-valite Milarpes
Passeport valide : Comment vérifier la validité ? - La Maison du Voyageur
Valite-Hug Time drawing - ibisPaint
L'équipe de Vivons Courtier au complet ! Une équipe qui vous accompagne ...
Millist ema valite?😆😆😆 #eesti #eestitiktok #fyp #comedy #mother | TikTok
Marivic Valite-canlas
mmEye-VALiteが登場!エッジAIによるナンバープレート認識装置の革新性 - VOIX life
フロント
Grace Jerk Seasonings - Our Jerk Marinade is the perfect mix of jerk ...
Yahoo!オークション - 1円スタート ヴィンテージランドナー‘83 フ...
Valite, Jonnalyn F.-BEEd 2B ELED 108 Activity-1 - Castro Ave., Laoag ...
Sarah Lyzette Valite, RCE - Design and Cost Supervisor at EEI Business ...
DahaN dahan kc dOc 🤣🤣🤣 #funny #funnyreels #funnymemes #funnymoments # ...
🍽️ 𝐋𝐨𝐮𝐯𝐞́𝐚 𝐯𝐨𝐮𝐬 𝐬𝐢𝐦𝐩𝐥𝐢𝐟𝐢𝐞 𝐥𝐚 𝐯𝐢𝐞 𝐚𝐯𝐞𝐜 𝐬𝐨𝐧 𝐬𝐞𝐫𝐯𝐢𝐜𝐞 𝐝𝐞 𝐩𝐨𝐫𝐭𝐚𝐠𝐞 𝐝𝐞 𝐫𝐞𝐩𝐚𝐬 ...
Basilica of San Vitale, south elevation | Ravenna, Italy | imaginoso
Images de Valide png – Téléchargement gratuit sur Freepik
ASCII.jp:エッジAI車番認識装置 mmEye-VALite 発売のお知らせ
Tandem Health Behavioral Health Welcomes Psychiatrist - Tandem Health