Showing 119 of 119on this page. Filters & sort apply to loaded results; URL updates for sharing.119 of 119 on this page
UH COE Lesson Plan Template (Direct Instruction) | PDF | Lesson Plan ...
UH Lesson Plan Template: Elyse Feliciano | PDF | Educational Assessment ...
UH Lesson Plan Template | PDF | Educational Assessment | Psychological ...
Inquiry Uh Lesson Plan Template | PDF | Lesson Plan | Learning
UH COE Lesson Plan Template (Direct Instruction) | PDF | Differentiated ...
UH COE Lesson Plan Template (Direct Instruction) | PDF | Reading ...
UH COE Lesson Plan Template (Inquiry) | PDF | Differentiated ...
UH COE Lesson Plan Template (Inquiry Lesson) : Compare and Contrast ...
UH Lesson Plan Template: Payton Burrows | PDF | Educational Assessment ...
UH Lesson Plan Template | PDF | Area | Triangle
Uh Lesson Plan Template (Word Document) regarding Madeline Hunter ...
UH Lesson Plan Template | PDF | Heat | Vocabulary
UH Lesson Plan Template: Brittany Gilchrest | PDF | Educational ...
UH COE Lesson Plan Template (Direct Instruction) | PDF | Classroom ...
UH COE Lesson Plan Template (Inquiry Lesson) | PDF | Lesson Plan ...
UH COE Lesson Plan Template (Direct Instruction) : Cards | PDF | Lesson ...
UH COE Lesson Plan Template (Differentiated Instruction) | PDF ...
UH COE Lesson Plan Template (Direct Instruction) | PDF | Area | Lesson Plan
UH COE Lesson Plan Template (Inquiry Lesson) : Google Slides | PDF ...
UH COE Lesson Plan Template (Direct Instruction) | Download Free PDF ...
UH Lesson Plan Template | PDF | Special Education | Learning
UH Lesson Plan Template: Guadalupe Rodriguez | Download Free PDF ...
example lesson plan ratios and rates.docx - UH Lesson Plan Template ...
5+ Higher Education Lesson Plan Examples to Download
lesson plan template 3 .edited.docx - UH COE Lesson Plan Template ...
UH Lesson Plan Template | PDF | Cartesian Coordinate System | Shape
WEEK-6 - SAMPLE LESSON PLAN - H uh u GRADES 1 to 12 DAILY LESSON LOG ...
WEEK-3 - SAMPLE LESSON PLAN - H uh u GRADES 1 to 12 DAILY LESSON LOG ...
WEEK-5 - SAMPLE LESSON PLAN - H uh u GRADES 1 to 12 DAILY LESSON LOG ...
UH Lesson Plan Template (Word Document)
Lesson Plan Examples to Simplify Your Teaching | ClickUp
Unit Plan Examples For Teachers OFSTED Lesson Plan Template | Teaching
5+ Higher Education Lesson Plan Examples [Teacher, College, University ...
Lesson Plan Template: Free Editable Examples
12 Lesson Plan Examples for Every Classroom - Venngage
Sample Lesson Plan Examples
Lesson Plan Objectives Examples English at Martha Gonzales blog
Lesson Plan Examples Pdf at Loretta Cyr blog
Sample Lesson Plan | PDF
Lesson Plan for Teaching Major and Minor Tonalities in | Course Hero
FREE 13+ Sample Lesson Plan Templates in MS Word | PDF
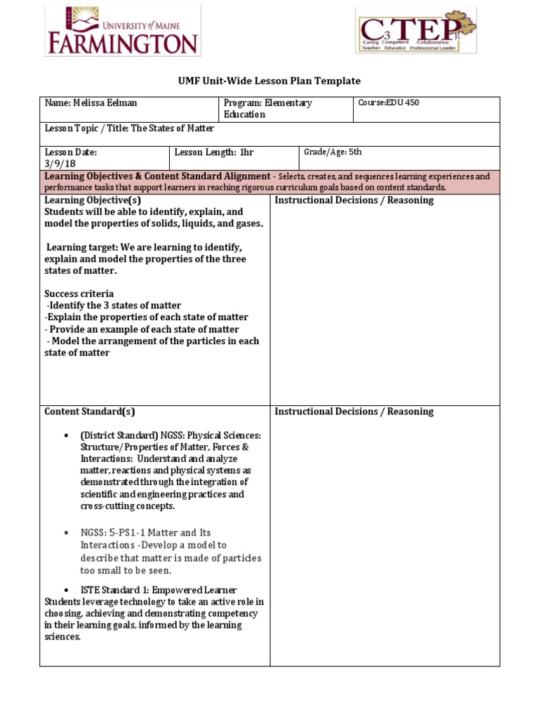
UMF Unit Wide Lesson Plan Template | PDF | Pedagogy | Learning
Friendship Hands - Lesson Plan - 2B Enterprising
Sample Unit Lesson Plan | PDF | Reading Comprehension | Lesson Plan
Free High School Lesson Plan Template for Google Docs
Free University Lesson Plan Template to Edit Online
UMF Unit-Wide Lesson Plan Template | PDF | Learning | Communication
Universal Design for Learning Lesson Plan Template - Edutechspot
UMF Unit-Wide Lesson Plan Template: Teacher Objectives | PDF | Reading ...
UMF Unit-Wide Lesson Plan Template | PDF | Educational Assessment ...
11+ Higher Education Lesson Plan Templates in PDF | DOC
UMF Unit-Wide Lesson Plan Template | PDF | Learning | Education Theory
18 Free Lesson Plan Templates - Word - PDF
UMF Unit-Wide Lesson Plan Template: Course:EDU 450 | PDF | Educational ...
UMF Unit-Wide Lesson Plan Template | PDF | Pedagogy | Learning
FREE 24+ Lesson Plan Samples in PDF | MS Word
Union Lesson Plan Hamburger Final | PDF | Reading Comprehension ...
Part A Lesson Plan For Unit:3 Unit Objectives-Copied From Course Guide ...
Free Colorful Lesson Plan Template for Google Docs
Lesson Plan Sample | PDF
Universal Design Lesson Plan Example
Sample Format OF Lesson PLAN - DETAILED LESSON PLAN Teaching Approaches ...
Sample Lesson Plan For Teaching Listening at Rose Hutchinson blog
44 FREE Lesson Plan Templates [Common Core, Preschool, Weekly]
Basic University Lesson Plan Template [Free PDF] - Word | Google Docs
Lesson Planning with Universal Design for Learning - LESSON PLAN ...
UMF Unit-Wide Lesson Plan Template | PDF | Individualized Education ...
Lesson Plan Template | Kami Library
UMF Unit-Wide Lesson Plan Template - Explained - Docest
UMF Unit-Wide Lesson Plan Template | PDF | Teachers | Curriculum
Unit Lesson Plan Template Doc Elegant Unit Plan Template | Unit plan ...
UMF Unit-Wide Lesson Plan Template | PDF | Learning | Teachers
Free UbD Lesson Plan Template For Google Docs
UDL Lesson Plan Template.pdf - University - Level Lesson Plan Template ...
Printable Lesson Plan Template Fresh 14 Sample Printable
UMF Unit-Wide Lesson Plan Template | PDF | Lesson Plan | Education Theory
21+ Free 41+ Free Lesson Plan Templates - Word Excel Formats
Field Version of UMF Unit-Wide Lesson Plan Template | PDF | Learning ...
41+ Free Lesson Plan Templates in Word Excel PDF
Uh lesson 4 worksheet | Live Worksheets
UMF Unit-Wide Lesson Plan Template | Download Free PDF | Applied ...
Sample UBD Lesson Plan Template
UDL Lesson Plan - Universal Design for Learning (UDL) Lesson Plan ...
Unit Lesson Plan Template - Have Fun Teaching
Sample Lesson Plan For Demonstration Teaching at Pam Kirkland blog
Coe lesson plan template - LESSON PLAN TEMPLATE Section 1: Lesson ...
Sample Detailed Lesson Plan | PDF
Sample ESL Lesson Plan Format | Download Free PDF | Teachers | Lesson Plan
lesson plan letter u | Lesson Plan | Teachers
Unit Lesson Plan: Standards That Bridge The Entire Unit | PDF ...
Unit/Lesson Plan Template
Lesson Plan/Unit Planner Sample | Teaching Resources
Daycare Lesson Plans Pdf at Katie Jenkins blog
Sample Deped Lesson Exemplar Format
39 Best Unit Plan Templates [Word, PDF] ᐅ TemplateLab