Showing 120 of 120on this page. Filters & sort apply to loaded results; URL updates for sharing.120 of 120 on this page
UCC 112: Academic Writing Notes
UCC Article 2 Notes - UCC Article 2 Notes Article 2-204: Formation of a ...
Uniform Civil CODE UCC BEST Notes - UNIFORM CIVIL CODE Uniform Civil ...
CFAS Finals QUIZ 01 UCC - notes - UNIVERSITY OF CALOOCAN CITY SOUTH ...
UCC 100 WEEK 7 Notes - UCC 100 WEEK 7 & 8 7 SEARCH TECHNIQUES AND ...
UCC 2102 Research Methodology Lecture Notes and Overview - Studocu
UCC 3 Lecture Notes - UCC 3 Exam Analysis Essay ─ Is the thing ...
UCC 9 - Lecture Notes - UCC 9 - Secured Transactions Essay Approach ...
UCC 111 Complete notes and Assignment - P R E S B Y T E R I A N U N I V ...
UCC Class Notes - Take notes in codebook! Intro Creditor advances a sum ...
UCC Course Notes On Project Development | PDF | Swot Analysis ...
Press Release UCC - Notes - 1 UNIVERSITY OF CAPE COAST CONCERNED ...
REMIC AND UCC EXPLAINED BY Plus Notes | PDF | Securitization | Mortgage ...
Class Notes - Introduction to the UCC and Article 2 Notes 1 .pdf ...
UCC 111 Course Outline and Notes 2024 | PDF | Communication | Nonverbal ...
Unit 11 Notes - Unit 11: UCC 2 & UCC 2A IMPORTANT: Read Chapters 19, 21 ...
CFAS Final EXAM UCC - notes - UNIVERSITY OF CALOOCAN CITY SOUTH CAMPUS ...
Commercial Law Notes - UCC - Studocu
Communication Skills Notes UCC D106 | PDF | Communication | Defamation
Promissory Notes and The UCC Fall 2012 | PDF | Mortgage Law | Foreclosure
All Ucc Ent Notes Condensed | PDF | Otorhinolaryngology | Human Head ...
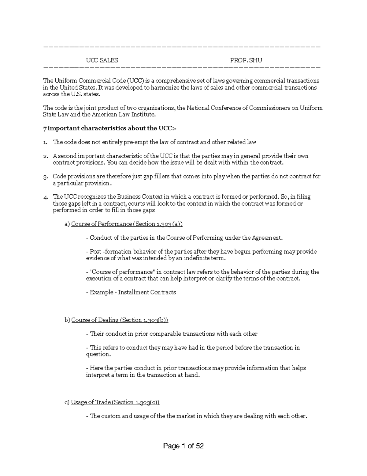
UCC Sales Class Notes - Prof. Shu Overview and Key Concepts - Studocu
Business Law Chpt 25 - Lecture notes - Article III and IV of the UCC ...
Lecture 3 - class notes - UCC Facilitates commercial transactions ...
Releve Des Notes - Ucc | PDF
Chapter 14 - Mandatory Assignment - Main Ideas Notes UCC Formed in the ...
Class notes UCC explained (Chapter 22) Flashcards | Quizlet
FE1101 CA 2023 - ucc notes - CONTINUOUS ASSESSMENT COMMERCE 1 - 2023 ...
UCC Sales Notes - UCC Sales Notes -UCC is not binding code on anyone it ...
Module 3 book notes.docx - Module 3 book notes I. The UCC a. Article 1 ...
UCC Rules TO KNOW ON Goods - Contracts II Rules of Law Lecture Notes ...
Express warenties - Notes - For Educational Use Only UCC Article 2 ...
UCC 203 Manual - business lecture notes - CHAPTER 1 Introduction a ...
Document Definition Ucc at Leonel Muncy blog
STUDENT NOTES ONLINE sydney.edu.au/ups/ucc/student_notes
UCC - Professor Case - C h a p te r 2 C l a ss N o te s Contract ...
A First Look at the Transfer of Notes (text p. 446) “Although both the ...
Uniform Commercial Code UCC – The Note The Transferee and the Wardrobe ...
UCC 2 Outline - UCC problems and cases - UCC 2 Outline SCOPE OF ARTICLE ...
UCC law 1101 - LAW 1101 - The Uniform Commercial Code (UCC) contains ...
Ucc-cisg 1 - Lecture notes 3 - psychology - Studocu
Restatements & UCC: Formation, Consideration, and Performance Notes ...
RST 7207637 - UCC § 2-207 Notes: Understanding the Mirror Image Rule ...
Business Law Notes 6 - Tuesday, November 7, 2023 Business Law Notes 6 ...
UCC Reference Chart 1 | PDF | Assignment (Law) | Offer And Acceptance
UCC - St. Thomas More
UCC Cover Note
UCC Program Guide & Points System | PDF | Career & Growth | Business
PPT - A quick and easy way to prepare and manage UCC filings ...
UCC Lecture Notes: Understanding Common Law & UCC Principles - Studocu
UCC outline - U.C. Contracts Outline Part I – Formation B. The Process ...
UCC Cheat Sheet | PDF | Offer And Acceptance | Breach Of Contract
UCC Basics & History: A. Getting Some Background From History | PDF ...
UCC - UCC Summary - © This chapter is a modification of a work ...
BLAW3052 U3 Notes - BLAW 3052 Unit 3 Lecture: Negotiable Instruments ...
UCC | PDF
Uniform Civil Code - Notes - Uniform Civil Code (UCC): A Brief Overview ...
UCC Single Origins Complete Collection – UCC Coffee PH
CHECKLIST for University Core Curriculum (UCC ... | Lecture notes ...
Contracts Midterm Study Notes: Common Law & UCC Overview - Studocu
THE UCC REWRITTEN SO IT’S EASY TO UNDERSTAND - 2024: ARTICLE 3 ...
UCC Article 9-104 Analysis and Commentary: Control of Deposit Accounts
University of the Commonwealth Caribbean - UCC - The Public Speaking ...
File a UCC on a Promissory Note - YouTube
UCC Student History Journal Vol 2 Issue 1: Tales of Justice | Student ...
Class Notes - Secured outline - Class Notes Exam Info A. Closed book ...
Understanding UCC Filings in Note Investing - The Note Investors Group
Ucc Law | PDF | Promissory Note | Negotiable Instrument
Chapter 8 - class notes - Chapter 8 1. Uniform commercial code (UCC) a ...
Understanding UCC Law Simplified | PDF | U.S. State | United States ...
UCC 5G SMI Release Notes, Release 2025.01.1.14 - Cisco
UCC Requirements and Course Options for FIU Students - Studocu
What Does A Ucc Filing Look Like at David Masterson blog
Ucc text hi-res stock photography and images - Alamy
Contracts Outline | 1L Law School Notes | Law School Outline Contracts ...
Lecturer Notes Urban Consolidation Center (UCC) - Urban Consolidation ...
UCC Basics - PDFCOFFEE.COM
PPT - New UCC Forms PowerPoint Presentation, free download - ID:3148307
What Is a UCC Filing & How a UCC Lien Works
Understanding The UCC | PDF | Uniform Commercial Code | Internal ...
Contract Law Exam Notes (LAW 101) - UCC, Formation, Defenses - Studocu
What Does A Ucc Filing Cover at Carolyn Guillot blog
Ucc And Common Law: Who Wins? | LawShun
Ucc | PDF
UCC Flashcards copy - What is the UCC? UCC: The UCC is a statute and is ...
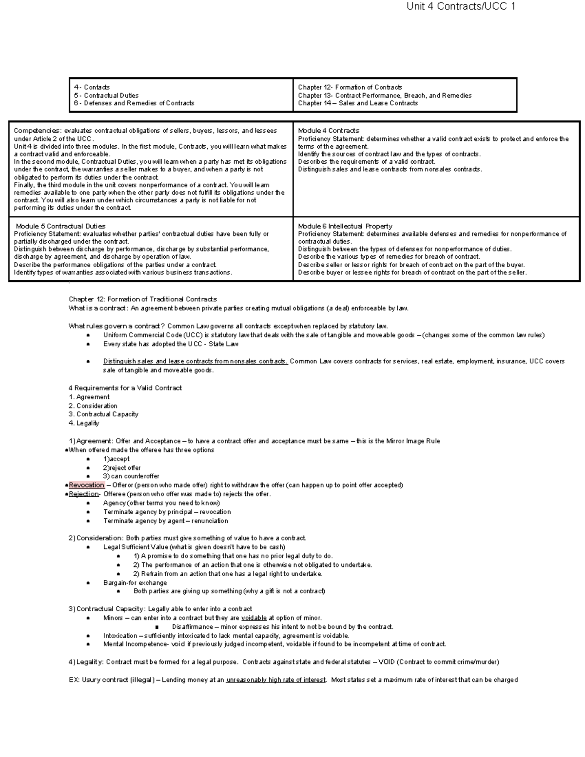
D216 Unit 4 Study Notes: Key Concepts in Contracts and UCC - Studocu
UCC Filing How-To Guides
Ucc Outline | PDF | Offer And Acceptance | Business Law
Defines Goods: Ucc Summary Sheet | PDF | Implied Warranty | Breach Of ...
How to Read the UCC
Unit 4 Contracts UCC: Formation, Duties, Breach & Remedies Notes - Studocu
(DOC) UCC Note Copy
Common Law vs UCC Summary - Which is easier? To get into K? To modify ...
Formation of Company - UCC CLASS NOTE CHAPTER – II : FORMATION OF A ...
ucc | Uniform Commercial Code | Social Institutions
UCC-lecture-notes-12-compressed-Understanding-the-Uniform-Civil-Code ...
GitHub - danielberkompas/ucc_notes: Markdown docs about the UCC.
PPT - Understanding Mortgage Terminology: Loans, Notes, and Deeds ...
Uniform Civil Code UCC.pptx
PPT - CHAPTER 18 PowerPoint Presentation, free download - ID:299390
UCC_release_notes_v.2011.05
Understanding UCC-3 and Contract Terms | Course Hero
SSB Lecturette : Uniform Civil Code (UCC) [Notes PDF + GD] - YouTube
UCC-AsstOfNotes
Ucc-1 Promissory Note Filing For Debt Discharge PDF | PDF | Loans | Banks
भारत में समान नागरिक संहिता की आवश्यकता
Uniform Civil Code/UCC/ Notes/Judgements/Law Reports - YouTube
EAN.UCC Basic and Principal | PDF
Short Note on Uniform Civil Code//What is UCC? - YouTube
Lecture Sheet (UCC) | PDF
The main keys of using UCC.pdf | DocDroid