Showing 120 of 120on this page. Filters & sort apply to loaded results; URL updates for sharing.120 of 120 on this page
Solved 1. A particle is in a two dimensional box with | Chegg.com
Solved (a) Consider a two dimensional square box with sides | Chegg.com
Particle in Two Dimensional Box - YouTube
Solved Consider a particle in a two dimensional box | Chegg.com
Solved 2. For a particle in a two dimensional box with | Chegg.com
Tangential and normal edges of a two dimensional box | Download ...
Mod-01 Lec-15 Particle in a two dimensional box Part I - YouTube
Schrodinger wave equation for a particle in two dimensional box - YouTube
Particle in Two Dimensional Box, Schrödinger equation, Wave function ...
Solved 1. A particle in a two dimensional box, with | Chegg.com
Solved Consider a particle in a two dimensional box. | Chegg.com
Two Dimensional Shapes – Definition With Examples
A-1 | N-4 | Consider a particle in a two dimensional box, whose ground ...
Solved In a two dimensional box, the potential is specified | Chegg.com
Physical Chemistry: Particle-in-a-2 Dimensional Box - YouTube
model of the particle in a two-dimensional box | Download Scientific ...
PPT - Particle In A Box PowerPoint Presentation, free download - ID:6004726
SOLVED: A particle is confined to a two-dimensional box (infinite ...
Particle in 2D Box
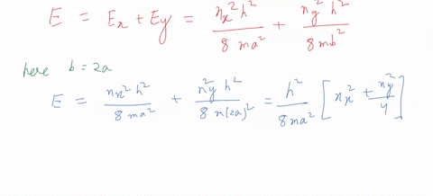
17.31 For a particle in a two-dimensional box with | Chegg.com
Particle in a 2-D box wavefunction derivation - YouTube
Solved For a particle in a 2-Dimensional box (conjugated π | Chegg.com
Model of the particle in a two-dimensional box | Download Scientific ...
Solved A particle in a two-dimensional box is in the state | Chegg.com
3.11: A Particle in a Two-Dimensional Box - Chemistry LibreTexts
Solved Consider a particle in a two-dimensional box where V | Chegg.com
Solved 1. A particle in a 2-dimensional box problem. Suppose | Chegg.com
Solved For a particle of mass m in a 2-dimensional box with | Chegg.com
Solved Consider a particle in two-dimensional box with | Chegg.com
Solved A particle in 2-dimensional box can be exemplified by | Chegg.com
Particle in a 2-Dimensional Box - Chemistry LibreTexts
Solved Problem 6- particle in a 2d box Consider a particle | Chegg.com
Solved 4-9. Suppose that a particle in a two-dimensional box | Chegg.com
4. Suppose that a particle in a two-dimensional box | Chegg.com
SOLUTION: Particle in a 2 dimentional box schrodinger equation quantum ...
2.5: Overview of Particle in a box - Chemistry LibreTexts
Solved 12.For a particle in a two-dimensional box with sides | Chegg.com
Solved Problem 5 - particle in a 2d box Consider a particle | Chegg.com
Solved Consider a particle confined in two-dimensional box | Chegg.com
Two Boxes Dimensions with Equal Volume Calculator
A particle is trapped in a 2-dimensional box along | Chegg.com
A 2-Dimensional particle in a box model is shown in | Chegg.com
Solved 3. Suppose that a particle in a two-dimensional box | Chegg.com
SOLVED:A single particle is confined to a two-dimensional box of width ...
Solved Exercise 4: Particle in a box We consider a particle | Chegg.com
Solved QM Particle in a 2-D Box Find an exact expression for | Chegg.com
Solved 3.6 Consider a particle in a two-dimensional box | Chegg.com
Solved A particle is confined to a two-dimensional box of | Chegg.com
Solved A particle of mass m moves in a two-dimensional box | Chegg.com
Twodimensional Combination Box Elements Stock Vector (Royalty Free ...
The particle in a 2D box - YouTube
1.2.1: Wave Quantization and Particle in a Box - Chemistry LibreTexts
SOLVED: A particle is confined to a two-dimensional box of length L and ...
The geometry considered in our model. We consider a two-dimensional box ...
Solved 3. Consider a particle in a two-dimensional box with | Chegg.com
Two-dimensional box and whisker plot for two-phase liquid-rich fluid ...
Solved Exercise 5 Assume a two-dimensional box with sides | Chegg.com
Solved 1. Find the potential for any point within the two | Chegg.com
Solved A particle in a 2D box has the wavefunction below: 4 | Chegg.com
Solved 2. The two-dimensional particle in a box model can be | Chegg.com
Particle in 2d box 20 points consider a particle confined in...
A particle is confined to a two-dimensional box of length L and width ...
3.5: The Energy of a Particle in a Box is Quantized - Chemistry LibreTexts
Quantum particle trapped in a two-dimensional box of sides L . The ...
2-dimensional box realizations of the †-marked codes from Figure 5 ...
Particle in a 2D Box - YouTube
Part (a) shows the two-dimensional box plot of the concentration of ...
A two-dimensional box. | Download Scientific Diagram
PPT - Modern Physics 342 PowerPoint Presentation, free download - ID ...
Solved (The Two-Dimensional Square Box)Consider a particle | Chegg.com
PPT - 15_01fig_PChem.jpg PowerPoint Presentation, free download - ID ...
Solved For a particle in a two-dimensional box, the total | Chegg.com
Two-dimensional box-count algorithm: fractal dimension. | Download ...
Solved _ + P4.20 For a particle in a two-dimensional box, | Chegg.com
Solved 78 In the particle in a two-dimensional box, the | Chegg.com
P4.20 For a particle in a two-dimensional box, the | Chegg.com
Solved Particle in a 2D box. (20 points) Consider a particle | Chegg.com
Solved 9. For a particle in a 2-dimensional box, the total | Chegg.com
Solved 8. For a particle in a 2-dimensional box, the total | Chegg.com
Exact solution for the particle in a two-dimensional box. We show the ...
Solved NET a For a particle in a two-dimensional box, the | Chegg.com
Particles in Two-Dimensional Boxes: Separation of Variables in One ...
Solved 5. A particle of mass m in a 2-dimensional box. The | Chegg.com
Solved Consider the following system, a particle is | Chegg.com
Solved P4.20 For a particle in a two-dimensional box, the | Chegg.com
Solved 4. For a particle in a two-dimensional box, the total | Chegg.com
1 identify the quantum numbers nx and ny for the wavefunctions of a ...
Particle in a Box: 2D & 3D Quantum Mechanics
Solved 8) Consider a particle of mass m in a two-dimensional | Chegg.com
Solved v Details Consider a particle in a two-dimensional | Chegg.com
Solved A particle of mass m is confined to a two-dimensional | Chegg.com
Solved Particle in an infinite two-dimensional box. Consider | Chegg.com
Solved 1. The eigenfunctions of a particle in a square | Chegg.com
Solved 5. 1) Write down the wave function of particle in the | Chegg.com
Solved A particle is trapped in a square, 2-dimensional box. | Chegg.com
Solved 2. A particle in a two-dimensional box, with 0 s s a | Chegg.com
A quantum particle is confined inside a | Chegg.com