Showing 93 of 93on this page. Filters & sort apply to loaded results; URL updates for sharing.93 of 93 on this page
Class AB translinear loop | Download Scientific Diagram
A translinear loop implementing I = I I . | Download Scientific Diagram
The MOS translinear loop type-A | Download Scientific Diagram
(a) Bipolar translinear loop. (b) Simple CMOS translinear loop ...
Circuit used for power raising, using the translinear loop principle ...
Translinear loop with common-base and common-emitter con®gurations ...
Basic circuit diagram of electronically simulated translinear loop ...
(PDF) Translinear Loop Principle and Identification of the Translinear ...
Translinear loop - CircuitLab
translinear loop in a circuit | Forum for Electronics
(PDF) A new CMOS current conveyors based translinear loop for log ...
Mixed Translinear Loop Based Class AB Current Gain Cell - ภาภวà ...
(PDF) A New CMOS Current Conveyors Based Translinear Loop for Log ...
A four-transistor NMOS translinear loop. | Download Scientific Diagram
Translinear loop; the emitter current of transistors T q and T qm is ...
Translinear Circuits: How Exponential Current Relationships Are Used
1 A simple translinear loop. | Download Scientific Diagram
Translinear circuits and principle
Basic translinear loops a stacked topology, b up–down topology ...
5.: A dynamic translinear loop. | Download Scientific Diagram
Principle of translinear circuits. | Download Scientific Diagram
MOS translinear loop. (a) Circuit schematic representation. (b ...
(PDF) Identifying translinear loops in the circuit topology
A Basic Translinear Circuit | Download Scientific Diagram
CCII± implementation using a translinear loop. | Download Scientific ...
Figure 3 from Identifying translinear loops in the circuit topology ...
Figure 3 from Design of static and dynamic translinear circuits based ...
Solved (Recognizing & Analyzing Translinear Loops) Ic = ? > | Chegg.com
(PDF) Design of static and dynamic translinear circuits based on CMOS ...
Figure 2 from Design of static and dynamic translinear circuits based ...
Topologies of Translinear Circuits: (a) Alternating, (b) Balanced, and ...
Figure 4 from Identifying translinear loops in the circuit topology ...
Figure 6 from Identifying translinear loops in the circuit topology ...
Figure 10 from Design of static and dynamic translinear circuits based ...
Figure 1 from Dynamic Translinear Circuits—An Overview | Semantic Scholar
Solved Problem 2. Solve for 14-12 using translinear circuit | Chegg.com
Figure 4 from Dynamic Translinear Circuits—An Overview | Semantic Scholar
Figure 5 from Dynamic Translinear Circuits—An Overview | Semantic Scholar
Figure 1 from Application of the translinear principle in digital ...
Enhancing sensor linearity through the translinear circuit ...
lecture 4 part 2: Static Translinear Circuits
(a) Second-order folded voltage-translinear loop. (b) Conventional ...
Operation of circuit for the 100 kHz sine wave input signal: (a) input ...
Square-root-based circuit. | Download Scientific Diagram
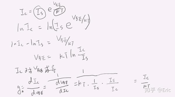
跨导线性电路Translinear circuit - 知乎
GitHub - varunposimsetty/ClassAB_Audio_Amplifier_with_Translinear_Loop ...
Circuit diagram of the voltage mean operation. | Download Scientific ...
Analog Intuition (GATE & VLSI) : Trans Linear Circuits-1
Winner-take-all circuit. | Download Scientific Diagram
Translnear circuits by Anubhav | PPTX