Showing 120 of 120on this page. Filters & sort apply to loaded results; URL updates for sharing.120 of 120 on this page
Sinopsis oficial de Code 8: Part II - Cinemascomics.com
Code 8: Part II | Where to Stream and Watch | Decider
ABB ACS880 Drive Part Code Detail (Type Code) - Click2Electro
Philllipine electrical code 2017 PART 1.pdf
TR244 ITT Cannon, LLC | Circular Connectors
Parts Code Parts Name | PDF | Piston | Cylinder (Engine)
AWS D1.1 2020 Structural Welding Code Steel 217 244 TR | PDF
TR244 tire valve Price
Product Code Explainer
TR244 Advanced Temperature Controller | Pixsys | Procon
How To Find A Part Number
Product Code FC-TR24, 7" Trolley Assembly, Steel Wheels, 5.5" W x 6 ...
TR24-AB2BFG3000 Endress+Hauser RTD Thermometer TR24 Order code ...
Code Parts en | PDF | Automatic Transmission | Manual Transmission
Why are the part numbers on the labels so small? - Site Help ...
Spare Parts HS Code - Eye Mob
JLG Part # 133596GTGN - Genie-DECAL, FAULT CODES
Klaravik Auktioner | Vägskrapa Vreten TR244
HS code for excavator spare parts for importers and exporters
Product and part codes database | PDF
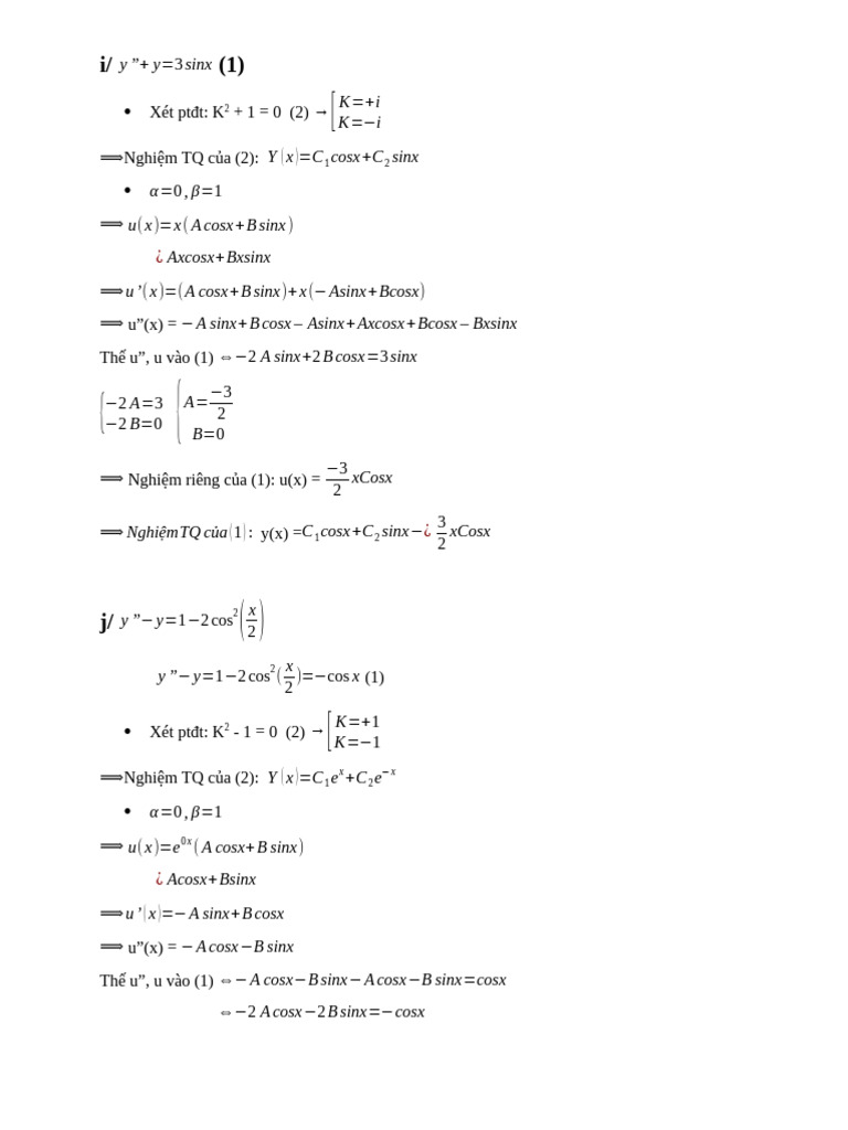
Câu I+j - b2 - tr244 | PDF
ترالی چهار کشو دو طبقه فایبر TR244 | مطب تجهیز
23X9-10 Air-Loc Forklift Industrial Tire Inner Tube TR244 stem
Zadní vzduchová uzávěrka diferenciálu TRE4x4 TR244 Jeep Wrangler JL ...
Parker Part Numbers Guide: A Comprehensive Overview
Electrical Part List - Schematic Diagram | PDF | Computing | Computer ...
Parts Catalog Parts Code 0609-001482 PDF | PDF
Motor vehicle parts HSN Code, Applicability, HSN Code and GST Rate on ...
VW Transmission Code Locations
Echo Light Ring TR244 – ShopTalis
Lowe TR244 Boat specs and Lowe TR244 boat images pictures and ...
Fault Code List For Gear Control (GS) Control Unit | PDF | Anti Lock ...
4-4.5tR PART II STEERING SYSTEM | PDF | Steering | Bearing (Mechanical)
U3501 Engine Code Volkswagen Tiguan [Answered] - VolkswagenBuddy
Item Codes and Part Numbers | PDF | Trailer (Vehicle) | Cookware And ...
PART CODES FOR VW
TUBELESS SNAP IN VALVE TIRE VALVE
Products QR-CODE - TR24.BRCOM-S.009-PJ | PDF
Spare Parts Codes Ordered by Obsolete s Equivalence | PDF | Computer ...
TR24 - HONEYWELL INTERNATIONAL INC | eBay
Honeywell TR24 Wall Modules Button with LED Instruction Manual
TR24-SR-T US Technical Data Sheet: Modulating, Non-Spring Return, 24 V ...
Spare Parts Inventory List | PDF | Manufactured Goods | Mechanical ...
Honeywell TR24 Room Temperature Sensor, LED, Override Button Network ...
Belimo B213+TR24-3-T - Ball Valve Assembly
《TR249》YumiKazama2020作品 - xb1
Help for Jacks Parts Lookup
Jual Head Printer TSC 244 Printhead Barcode Printer For TSC TTP-244 PRO ...
What are PR Codes? - JGP Automotive
NISSAN forklift parts from ZEFENG factory | PDF
Yahoo!オークション - Tryron TR24 レーシングキャブレター...
News - Technorama
Automobiles - Eye Mob
BRAKE CHAMBER - TYPE 24 SERVICE
Tyre Inner Tubes for Quad, ATV, Lawn and Turf, Landrover, Caravan and ...
Traxxas Nitro Rustler Parts Codes | PDF | Axle | Steering
Gree MULTI42HP230V1CO Parts List
Technical Data Sheet TR24-3-T US | PDF | Electrical Wiring | Power Supply
Jual Kaos RACING START CODE: TR 244 | Shopee Indonesia
Gasket Set Bottom End Triumph TR2 TR3 TR3A TR4 TR4A GEG248 - GEG248
Exploring the Inner Workings of John Deere TRS24 with Parts Diagram
John Deere TRS 24 Parts Diagram and Maintenance Guide
Interactive Manual
Exploring the Components of John Deere TRS 24: Illustrated Parts Diagram
ISO Codes | PDF | Engines | Door
Tmp527319010nesting Log1743595764 | PDF
FK 244 08 D2 PAK TR D2PAK (TO-263) FISCHER ELEKTRONIK, Heat Sink, 29.3 ...
Confirmation of Part/Serial/Date Numbers & Codes
レールショップシーダーオンラインショップ / 安達製作所 No.08147 TR24 台車 端梁
TR254 Datasheet(PDF) - MIC GROUP RECTIFIERS
MaxxForce 5 Diagnostic Trouble Codes (EGES395 - DTC) | PDF | Vehicle ...
HAS - Doors Spare Parts W-Codes | PDF
Honeywell TR21, TR22, TR23, and TR24 Wall Modules - Installation ...
Traxxas - Parts List - TRX-4 Sport - 82024-4 • RCScrapyard - Radio ...
TR24-SR-T | Les Contrôles Roger Hogue Québec inc.
TR 244 - The Threat of the Quadripartite - by Luke Throop
TR24-SR-T US: Non-Spring Actuator 24V Proportional
Crane Cams 448031 TR-244/3867-2S-10 Camshaft
HS Codes List and Directory - EMO Trans, Inc.
John Deere Service Codes | PDF | Truck | Machines
JCB JS-Excavator’s Fault Codes Full List - JoeManual.com
Offer #13
TR231 OR TR241_E4_8112W00078.pdf | Power Engineering | Electronic ...
BT Forklift Fault Codes List - Truck PDF | PDF | Sensor | Manufactured ...
レールショップシーダーオンラインショップ / 日光モデル TR24 ピポット軸
HMC Repair Parts and Motor Codes Guide | PDF
TR24 Datasheet(PDF) - Endress+Hauser Group Services AG
Parts-catalogue | SkyCAD - Electrical CAD software
Service Parts Identification Sticker : How To Read Gm Truck Rpo Vehicle ...
Tome 04 - Un TR 244 Ne Pour Natacha | PDF
TR24 Honeywell Electronic Thermostat Automation
Triumph TR2, TR3, TR4, TR6, TR250 & Spitfire Parts - Sports & Classics
Grab Spare Parts List and Codes | PDF | Manufactured Goods | Mechanical ...
TR24
DRT 450 Error Codes Guide | PDF | Throttle | Vehicle Parts
Item # TR4-X, Revolving Lights - TR Series On North American Signal Co.
Belimo TR24-3 Control Valve Valve
MAIN Electrical Parts List: SAMSUNG Proprietary-Contents May Change ...
GT-M8800 Parts List Overview | PDF | Video | Consumer Electronics
Suspension parts(2024-06-11 20_08_29) | PDF | Brake | Vehicle Technology
Gree LIVS12HP230V1B Parts List
Exhaust-TR2 thru TR4 — The Roadster Factory
D0BL-D0BM Parts Catalog (PDF) - Rfg080421 | PDF | Manufactured Goods ...
CADILLAC ESCALADE/ESCALADE ESV FRONT BUMPER COVER PRM OEM#84408072 2017 ...
Kenda TR-244 Tire Tube - 250/275-10 60608296 – Hellhound Performance
How to Setup Barcode Labels & Barcode Ribbons in TSC TE 244 . A guide ...
Just bought a 2011 LT 1500. This is my list of RPO codes. I can ...
Circuit Board Components: Identification Guide & PCB Parts List
Relay module | TRP 24VDC 1CO | 2618000000