Showing 120 of 120on this page. Filters & sort apply to loaded results; URL updates for sharing.120 of 120 on this page
Solved Basic Force Problem You have 3 forces acting on an a | Chegg.com
Solved PROBLEM 01: Determine the total force in the most | Chegg.com
Solved Problem 5 [20 pts]Find: The total reaction force | Chegg.com
Solved What are the contributions to the total force on | Chegg.com
Calculating Total Force – Math for Trades: Volume 3
Solved Find the total force in the reinforcements in the | Chegg.com
Solved Question 2. Find the unknown force F1 if the total | Chegg.com
Solved 11. In the pictures below, draw the Total Force arrow | Chegg.com
Force Video #5: Combined Force Problem AP Physics 1 - YouTube
Example: Finding Total Force using Vectors - YouTube
Calculate the total force against the window when the tank is full ...
[Solved] Detailed handwritten solution . 1. Calculate the total force ...
Find the total force up and the total force down on | Chegg.com
Solved In this experiment, you will find the total force | Chegg.com
Solved Part 3. Background. The calculation of total force | Chegg.com
[Solved] 1) What is the magnitude of the total force (in N) acting on ...
Solved 14. Find the total force in the reinforcemnt in the | Chegg.com
Basic Force Problems (Physics 1) - YouTube
Solved Calculate the total force (in Newtons) on a side of | Chegg.com
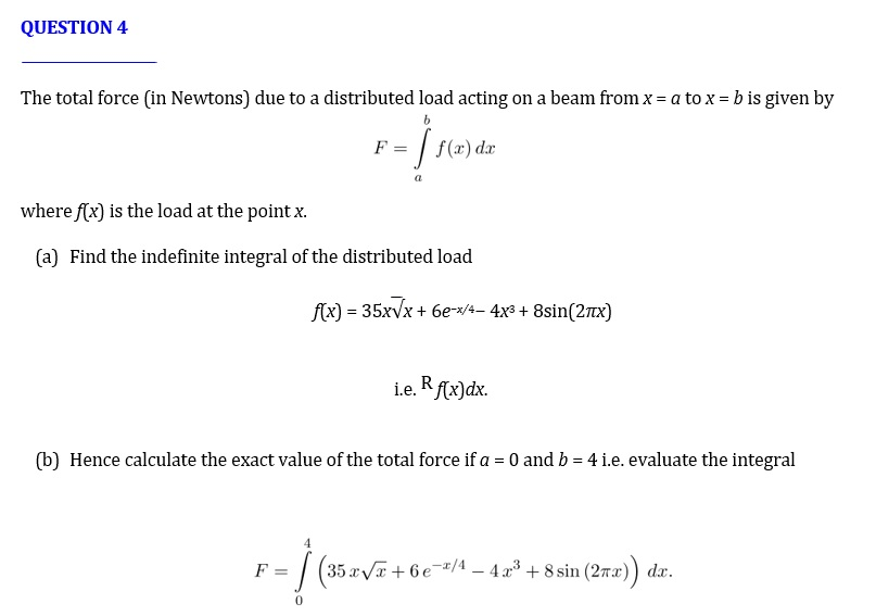
Solved QUESTION 4 The total force (in Newtons) due to a | Chegg.com
Solved Exercises - deduce the total force triangle for the | Chegg.com
Total force acting on an object and its acceleration. | Download ...
Total force on top boundary versus magnitude of applied displacement ...
PPT - Total Force PowerPoint Presentation, free download - ID:6661288
Force diagrams. (a) From the standpoint of N , the total force of T F ...
PPT - Total Force Strategy PowerPoint Presentation, free download - ID ...
Solved Using the force system below, find the total force | Chegg.com
Solved Calculate the total force on the bottom of the closed | Chegg.com
Solved 4.24 Refer to Fig. 4.36. calculate the total force on | Chegg.com
How to find the total force on charge-q
Solved 2 a) Calculate the total force on Q1, taking the | Chegg.com
Force Problem Solving Strategy and Example Problems - YouTube
Solved PROBLEMS 5.2 Find the total force necessary to give | Chegg.com
Based on Force | Problem 3 | A force produces an acceleration of 16 ms ...
Solved The total force at A from the 3 cables is only in the | Chegg.com
Solved I am trying to find the total work done by the force | Chegg.com
The total force on structure 1. | Download Scientific Diagram
Normal Force on a Hill, Centripetal Force, Roller Coaster Problem ...
Force Problem Example - YouTube
The loss of the total force | Download Scientific Diagram
Solved Question 1 1 pts The total force acting on an object | Chegg.com
Diagram for illustration of total force calculation. (a) The total ...
Calculating Total Force exerted on a charged point | Download ...
Solved Estimate total force exerted on the surface of your | Chegg.com
Solved Determine the magnitude of the Total Force (if any) | Chegg.com
Calculating Force Problem & Solution | Course Hero
PPT - Navy Medicine’s Total Force Training Workshop PowerPoint ...
The procedure of calculating total forces. | Download Scientific Diagram
Solved 13. In your own words, what is Total Force? 14. For | Chegg.com
Calculating Force Practice Problems at Lori Allan blog
SOLVED:Calculate Referring to Problem 32 , what are the direction and ...
Solved Problem Set 1: Forces and Motion Balanced and | Chegg.com
Force Problems # 2 - Physics and AP Physics 1
Net Force Problems Revisited
How to Solve Force PROBLEMS in Physics - YouTube
How to solve force problems with multiple objects (Part 2) - YouTube
SOLVED:Referring to Problem 72 , what is the direction and magnitude of ...
Learn How to Solve Force Problems - YouTube
Solving Problems Calculating the Net Force on a Single Object from ...
Formula For Force Physics
How to Solve the Force Problems | PPT
Unit 1. force system, solved problems on force system.pdf
Understanding Force Problems in Physics: Acceleration, Mass, and ...
Force Problems # 3 - Physics and AP Physics 1
PPT - Net Force Problems PowerPoint Presentation, free download - ID ...
PPT - Solving Force Problems: A Step-by-Step Guide for Students ...
Types of Forces Problem Set by Ms Gallegos Fun Physics | TPT
Guide to Solving Force Problems
Force Problems (Setup/Strategies & 5 Examples) - YouTube
Solving force problems question - SOLVING FORCE PROBLEMS You have ...
Force Diagrams - Presentation Physics
Physics Force Problems: Calculating Net Force, Acceleration, and ...
Force Tension Problems
PPT - Forces PowerPoint Presentation, free download - ID:337841
PPT - Addition and resolution of forces PowerPoint Presentation, free ...
SOLVED: 5. [13pts total] Two blocks, with masses as shown in the ...
PPT - Chapter 10 – Forces PowerPoint Presentation, free download - ID ...
Solved Part F - Example: Finding Two Forces (Part I) Two | Chegg.com
Solved Three separate ropes are used to support the 50-kg | Chegg.com
Complete Problems 4 - Introduction To Forces Unit - Positive Physics
SOLVED: Two dimensional dynamics often involves solving for two unknown ...
Solved 7-Step Recipe to Solve Problems with Forces 1 | Chegg.com
PPT - Discussion Lecture(6) Chapter(3) Hydrostatic Forces on Surfaces ...
Free Body Diagrams – AP Physics 1 Study Guide
Calculating Force, Mass, & Acceleration - Middle School Physics Word ...
PPT - Physics Unit 3 PowerPoint Presentation, free download - ID:6497051
Physics 10154 - Homework #4
Three forces are acting on an object as shown (picture may not be to ...
Solved Part F- Example: Finding Two Forces (Part I) Two | Chegg.com
Introduction To Forces Practice Questions - Complete Problems 2 ...
Balanced vs Unbalanced Forces Practice | PDF
PPT - INTRO TO NAVSCI PowerPoint Presentation, free download - ID:5691238
Solved As you will see in a later chapter, forces are vector | Chegg.com
Effect of Forces Science Grade 6 Cam.pptx
Forces Practice 2 - Practice Problems on Forces In the figure to the ...
hopumon - Blog
Resolving Forces » Example-Problem Pair 4 (A-Level Maths) - YouTube