Showing 120 of 120on this page. Filters & sort apply to loaded results; URL updates for sharing.120 of 120 on this page
A sample topological loop drawn for four punctures References to color ...
(a) Scheme of a topological loop showing the BLG sheets (gray) and ...
Contribution of Topological Domains and Loop Formation to 3D Chromatin ...
Topological loop responsible for the leading correction to the critical ...
Loop topology | meaning of LOOP TOPOLOGY - YouTube
A loop topology of an SSA loop. The serial interface standards have ...
Derivation of the topological charge j. (a) Closed loop that encloses ...
2: Arbitrated loop topology with a loop of hubs. | Download Scientific ...
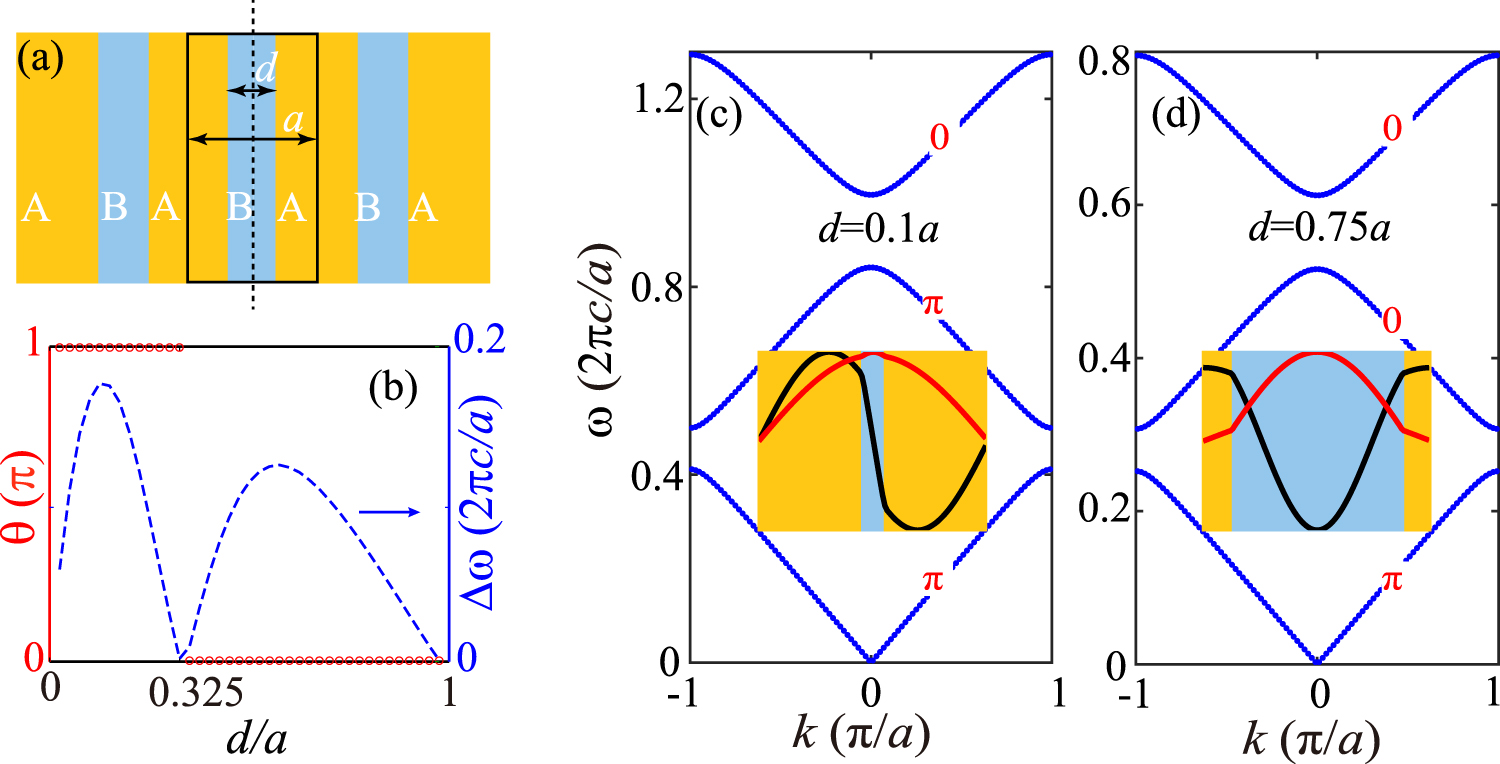
(Color online) a The illustration of the topological loop (TL) and the ...
The four loop topologies. For each loop type, the hinge angle can vary ...
Loop closure grasping: Topological transformations enable strong ...
Modeling Edge Loop Reduction flows - Topology Guide - BlenderNation
Proper loop flow when making retopology organic surfaces | CGTyphoon
Loop topology | meaning of Loop topology - YouTube
Generalization of the nested Wilson loop formalism in topological Dirac ...
Figure 1 from Abstract loop equations, topological recursion, and ...
GitHub - aleskunder/topology_loop_caller: Chromatin loop caller using ...
(PDF) Topological Regularization of 1 Loop and 2 Loop Gravitational ...
Network Topology | Types of Graph | Tree | Loop Properties
Topological optimisation loop (TOL) organization chart considering ...
Topological cycle of two vortex loop defects - YouTube
NTT develops optical concatenated loop topology – Converge Digest
Examples of topological realizations of the loop nerves for different ...
(a) Topological phase diagram calculated using the Wilson loop W as a ...
Geometry topology distribution. Left: first edge loop representation ...
Fibre ( Fiber ) Channel Topologies ( point to point, arbitrated loop ...
| Geometry-independent topological energy flux loop. (A) E-shaped loop ...
Topology Loop Work Charts by stunmuffin. : r/3Dmodeling
The topological structure of the one loop divergent diagrams for: (a ...
Topological structure and inner loop control method of a buck DC/DC ...
Figure 1 from Direct Observation of Flatband Loop States Arising from ...
Procedure: a high-level particle forms a topological map for each loop ...
A loop topology structure of cells and the communication relation ...
Topological lines and RG flows in loop models, Hubert Saleur - 11/10/23 ...
Example of topology involving multiple use of a TE in a single loop ...
Topological shapes defined in terms of topological loops. (A) Any two ...
Topology | Types, Properties & Examples | Britannica
Machine learning topological phases – Condensed Matter Theory and ...
Two concatenated loops on any topological space with a group structure ...
PPT - Dynamic Spectrum Management PowerPoint Presentation, free ...
Illustration of loops in three different topological states, Series ...
Band topology in classical waves: Wilson-loop approach to topological ...
Topology, 3D Fundamentals Guides, Tips & Tricks | CGTyphoon
algebraic topology - Composition of loops - Mathematics Stack Exchange
algebraic topology - A topological question about loops and fixed ...
Topological magnetic Weyl loop. (a) Primitive unit cell of ...
Preventing Network Loops with Spanning Tree Protocol (STP)
Illustration of system topologies in open-loop and closed-loop ...
Topology | Crystal Clear Mathematics
Cg guide topology organic – Artofit
Topological defect in oscillator lattice loop. (a) Unit‐cell structure ...
The topological map generation process. (a) The belief update process ...
Topology Guides
Topology Pattern Solution, Rafael Juarez Jr on ArtStation at https ...
(PDF) Band topology in classical waves: Wilson-loop approach to ...
(PDF) Loop-closing and planarity in topological map-building
Topological data analysis pipeline. (A) Illustration of topological ...
Time series evolution of the topological structure of loop-loop ...
Schematic illustrations of the topological effects and energy spectra ...
Topological entanglement entropy of states on a solid torus with a ...
4 -The graphical representation of the mechanism with topological loops ...
The band structure and topological characteristics of the simulated ...
(PDF) A Graph-with-Loop Structure for a Topological Representation of ...
Quark-loop topological diagrams and their corresponding hadronic ...
Proposed model for topological changes and R-loop formation at HO ...
Network Topology | PPTX
Selected four-loop topologies. The arrows' direction stand for the ...
A schematic illustration showing two loops in an ensemble of type . If ...
[1208.4234] Wilson-Loop Characterization of Inversion-Symmetric ...
Localizing softness and stress along loops in 3D topological ...
Topological Sort — In typescript and C# | by Harish Reddy Konduru | Medium
Change Your Understanding of Topology In Six Minutes - YouTube
A Brief Introduction to Topology
Typical topologies of multibody systems. (a) Open-loop topology; (b ...
Four-loop SS with the topology of Fig. 1 | Download Scientific Diagram
Wilson loops corresponding to the lowest three in the fragile ...
Typical loops carrying nontrivial or trivial topological invariants ...
Comparing Topological Sort Loop-based and Recursive Implementations ...
(PDF) Coverings of topological loops
Network Topologies Its Types Advantages And Network Topologies.
PPT - Uncertainty Principle in Topological Sectors Quantization ...
Topological laser in a directional outcoupling configuration a ...
Simplications that comes from topological equivalence. (a) A hairpin ...
Network Topology Guide with Examples & Templates | EdrawMax
Topological loops in simplicial schema. (A) Sequence of the place cell ...
Topological near fields generated by topological structures | Science ...
Improve Your Modeling with Good Topology - Questions, Critiques, AMA ...
Spanning Tree Algorithm Advanced Computer Networks 1 Topologies
Representative images of topological constraints. The entanglements ...
Two-loop topologies entering the 2-loop 6-point amplitudes. The arrow ...
Circuit topology analysis of cellular genome reveals signature motifs ...
Topological Structures of Möbius-Strip Fermions and Simple-Loop Bosons ...
Schematic diagram of topology map. The topological map consists of two ...
4. Closed-Loop Topology. | Download Scientific Diagram
The topological phase as a function of the external magnetic field at ...
Parasolid v12.0: Model Structure
The evolution of the ‘ h -loop’ in different topological phases. The ...
Landscape of topological research opportunities. Low‐energy excitations ...
AS-level Topology Inference
One-loop topology with N external legs and the corresponding momenta ...
Basic translinear loops a stacked topology, b up–down topology ...
Scheme of nematic topological defect loop, with the isotropic core ...