Showing 120 of 120on this page. Filters & sort apply to loaded results; URL updates for sharing.120 of 120 on this page
Adding & Subtracting Polynomials Made Easy | IGCSE & SAT Math Tips ...
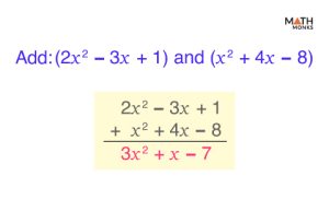
Adding Polynomials Example: Step-by-Step Guide
Adding and subtracting polynomials | PPT
PPT - Adding and Subtracting Polynomials PowerPoint Presentation, free ...
Adding and Subtracting Polynomials
Adding and Subtracting, Polynomials - ppt download
Adding And Subtracting Polynomials (video lessons, examples, solutions)
Adding and subtracting polynomials - MathBootCamps
Adding and Subtracting Polynomials – Explanation & Examples
Adding Subtracting Polynomials
Adding Polynomials
Adding and Subtracting Polynomials - Rules, Examples, & Diagrams
ADDING AND SUBTRACTING POLYNOMIALS Section 8 1 Bellringer
Adding Polynomials - Rules, Steps, Examples
Adding and subtracting polynomials
Adding And Subtracting Polynomials Worksheet With Answer Key
How to add polynomials / Addition of Polynomials / Adding Polynomials ...
Adding and Subtracting Polynomials Checklist and Leveled Practice
4 2 ADDING SUBTRACTING AND MULTIPLYING POLYNOMIALS Adding
Adding and Subtracting Polynomials - KATE'S MATH LESSONS
Adding Polynomials | PPT
Adding Subtracting Polynomials Lesson 10 1 Learning Goal
Adding and Subtracting Polynomials (With Examples)
Adding Polynomials Worksheets
ADDING & SUBTRACTING POLYNOMIALS | Polynomial Basics, Adding ...
Adding and Subtracting Polynomials - 2 Polynomials | Made By Teachers
Adding Subtracting Polynomials Worksheet - Admuscente
How To Add Polynomials || Adding Polynomials || Algebra || Addition of ...
Adding and Subtracting Polynomials Practice by Certified Math Geek
Adding and Subtracting Polynomials - Kate's Math lessons
Adding and Subtracting Polynomials | PDF | Polynomial | Variable ...
Adding and Subtracting Polynomials Activity Operations with Polynomials ...
Adding and Subtracting Polynomials - YouTube
Adding and subtracting polynomials | PPTX
Adding And Subtracting Polynomials Worksheet
SOLUTION: Adding polynomials notes complete - Studypool
PPT - 10.1 Adding and Subtracting Polynomials PowerPoint Presentation ...
Adding Polynomials Ex #1 - Miller | Math, Algebra, Polynomials | ShowMe
Adding Polynomials Worksheets | Math Fun Worksheets
Adding and Subtracting Polynomials Guided Notes and Worksheets - Classful
Adding Polynomials Worksheet
Adding polynomials examples | PDF | Science
Adding polynomials | Math, Polynomials | ShowMe
Adding and Subtracting Polynomials Poster by Midwest Mathematics
Adding and Subtracting Polynomials | PDF
adding polynomials .pptx
Adding Polynomials by Math Club | TPT
Adding Polynomials Lesson by Erin's Essential Equations | TPT
PPT - 8-1 Adding and Subtracting Polynomials PowerPoint Presentation ...
Ex: Adding Polynomials - YouTube
Pre-Algebra - Monomials and Polynomials Worksheets Adding and ...
4 3 Adding Polynomials 1 - YouTube
Adding polynomials worksheet (with solutions) by Mathamaniacs | TPT
10.1 Adding and Subtracting Polynomials | Math, Algebra, Polynomials ...
Adding and Subtracting Polynomials | PDF | Language Arts & Discipline ...
Adding Polynomials - YouTube
Adding and Subtracting Polynomials Task Cards | Made By Teachers
Lesson 6-4 Adding and Subtracting Polynomials - The period 3 MAth Website
Lecture 17. Adding Polynomials - Adding and Subtracting Polynomials ...
Adding Polynomials | Steps & Examples | Study.com
Adding Polynomials Worksheets - Math Monks
Adding Polynomials using Algebra Tiles. - YouTube
Adding and Subtracting Polynomials | ChiliMath
Adding Polynomials: Algebra Animations - YouTube
How to add polynomials step by step, Tutorial for 7th & 8th Grades ...
Addition and Subtraction of Polynomials | CK-12 Foundation
PPT - Adding and Subtracting Polynomials: Examples and Solutions ...
Addition of Polynomials | CK-12 Foundation
Adding Polynomials: The Easy Way - YouTube
How to Add Polynomials (with practice problems)
Addition and Subtraction of Polynomials | Step-by-Step Guide
Learn How to Add Polynomials with Examples - Elementary Math
06 - Adding and Subtracting Polynomials, Part 1 - YouTube
Math Example--Polynomial Concepts--Adding and Subtracting Polynomials ...
Adding Polynomials: 5 Worksheets with Answer Keys (50 Problems Total)
5 2 Polynomial Functions and Adding and Subtracting
How to Add and Subtract Polynomials - A Simple Guide for Beginners
Polynomials: How to Add Polynomials (VIDEO) | Lulumath
How to add or subtract polynomials — Krista King Math | Online math help
Easily Learn To Add And Subtract Polynomials With Simple Techniques ...
Add and Subtract Polynomials | PDF
Algebra - Ch. 5: Polynomials (5 of 32) How to Add Polynomials - YouTube
Elementary Math: A Comprehensive Guide to Adding and Subtracting ...
Addition and Subtraction of Polynomials | How to Add and Subtract ...
How to Factor Polynomials (Step-by-Step) — Mashup Math
How to add polynomials - YouTube
An Example of How to Add Two Polynomials - YouTube
Adding-and-subtracting-polynomialss.pptx
Adding-and-Subtracting-Polynomials 23 | PDF | Polynomial | Arithmetic
How do I Add and Subtract Polynomials? | Tips, Tricks, and Examples ...
PPT - Unit 2, Lesson 1 PowerPoint Presentation, free download - ID:3060040
PPT - Polynomial Operations PowerPoint Presentation, free download - ID ...
PPT - Mastering Polynomials: Like Terms & Operations | Math Guide for ...