Showing 120 of 120on this page. Filters & sort apply to loaded results; URL updates for sharing.120 of 120 on this page
Example Questions For Queuing Theory and Markov Chains: Ations Research ...
Game Theory Example and Questions | PDF | Self-Improvement
Illustrative Example On Answering Theory Questions | PDF | Economies ...
Example OF Problem AND Theory Questions AND Answers (18 June 2021 ...
Answering Theory Questions
Sample Theory Questions For The Driving Test | PDF | Traffic | Traffic ...
Theory Questions - Excel EX1 | PDF
Game theory Questions With Solutions - Game Theory Questions Game ...
THEORY QUESTIONS in auditing theory with solutions - Bachelor of ...
Example of a theory question - Example of a theory question “When a ...
Theory Questions | PDF
Theory quiz questions - I hope this helps - Theory-based quiz questions ...
Theory questions examples - practice - Theory questions examples from ...
Theory Questions For 111 | PDF
UK Driving Theory Test Actual Questions and Answers with complete ...
Example of a theory question. 1 .docx - Example of a theory question ...
How To Answer Theory Questions | PDF
Sample Questions with Answers: CH 3 Theory in Research - Studocu
Driving Theory (Car) - Video questions - 27 Practice Questions
Questions For Theory Test 2021 | Free Mock Theory Test Online Practice ...
Driving Theory Questions Examples at Janice Stacey blog
Theory Test Preparation Guide: Questions and Answers | Course Hero
Theory Questions Test-1-1 | PDF | Traffic | Driving
Theory test questions uk | PPTX
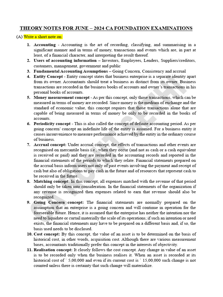
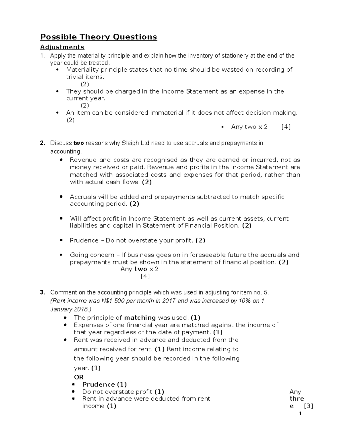
AS theory questions - notes - Possible Theory Questions Adjustments ...
UK Driving Theory Test Questions PDF | PDF | Technology & Engineering
Solved 1 Theory Questions (20 points) Type down your answers | Chegg.com
Art Theory Questions And Answers at Meghan Miller blog
Theory Questions - finals study - THEORY QUESTIONS Positive Accounting ...
01 - Choice Theory Short Questions - Choice Theory Short Exam Questions ...
Sample/practice exam 2020, questions and answers - THEORY Select the ...
NC II Driving Theory Questions Guide | PDF | Traffic Light | Traffic
Unit 4 Theory Questions | PDF
Driving Theory Test Questions | PDF | Traffic | Road
Group Theory Questions in Mathematics III | PDF
Theory Test Questions and Answers 2026 PDF
Theory questions, Exam type - Theory questions - Studocu
Stability Theory Questions | PDF
Theory Questions For Pce | PDF | Communication | Human Communication
Theory Past Paper 1 - Past Paper – Sample Questions Points are ...
Short Questions That You Might Find in The in Class Online Theory ...
321 quiz questions on Theory and Methods A level Sociology | Teaching ...
Top 10 Theory Test Questions You must know | Updated Theory Test 2020 ...
SOLUTION: Set theory important questions - Studypool
Top Test Mock Questions for Driving Theory 2026
Choice theory Exam Complete Questions And Answers - Choice Theory ...
AC THEORY FINAL QUESTIONS WITH CORRECT ANSWERS - AC THEORY - Stuvia US
Examples of Grounded Theory Research Questions
Mock Theory Test Questions – Free Mock Theory Test – NRRBG
Top 10 Most Difficult Theory Test Questions - Alfie's Driving School
SOLUTION: Correlation theory questions - Studypool
Important Theory Questions For The Wednesday Test | PDF | Teaching ...
Theory Questions 1 1 | PDF | Anti Lock Braking System | Traffic
Consumer Theory Questions | PDF
93 Most Complicated Theory Test Questions | PDF | Speed Limit | Road
The 10 theory test questions learners get wrong most: See how many you ...
Theory Questions For Exam Advanced Modelling and Simulation | PDF ...
Section A: Answer all questions - Basic Theory Questions,...
Management Theory Quiz Questions & Answers (Including Explanations ...
Theory Questions (Operations Research) | PDF
Theory Questions B9 | PDF | Musical Instruments | Storytelling
Intro to Rhetorical Theory Exam (A Graded) | Questions Solved 100% ...
450 Questions in One Test!? How Theory Tests Differ Across the World ...
Queueing Theory Questions | PDF | Operations Research | Applied Mathematics
4.theory Questions | PDF
Pass Your 2022 Driving Theory Test The First Time, Guaranteed!
TheoryExample Questions Part I With Anno | PDF
Sample Theory exam 2019, answers - Theory exam format: 90 MCQs, 5 ...
Atomic Theory Quiz: Test Your Knowledge
Multiple choice questions- test sheet copy - Theory of International ...
Exam 2 Sample Questions - Exam 2 Sample Questions Lecture 10: Social ...
The Theory Test | Chippy School of Motoring
UK Theory Test 2025 | Pass Theory Test First Time (50 Questions) - YouTube
Theory Test Practice Online 2026 - FREE UK Driving Theory & Hazard ...
About the Theory Test - Driving Theory Test
Theory Test Practice Features | Driving Theory 4 All
Theory Test - Everything You Need To Know - Pass Drive Driving School
How to pass your theory test : Broughton School of Motoring
LDC guide to the Theory Test
How to prepare and pass your Driving Theory Test
Sample Theory Question Paper for ISL | PDF | Question | Sign Language
Driving Theory Test Practice 2025 - FREE UK Online Revision
STB 322 Theory Questions: Toxicity: Acute vs Chronic Effects ...
Set Theory Questions: Question 1: Numeric Response - Points | PDF | Car ...
Set Theory Problems With Answers | PDF | Empty Set | Numbers
(PDF) Toward a theory of question asking
Theory Questions: Summer 2008
PPT - Unit One Theory Test PowerPoint Presentation, free download - ID ...
Important Components Of A Theory Test Keendrivers - Free Word Template
Theory Test Advice :: About the Theory Test
Theory Test Complete
Civil Theory Questions. | PDF
Chapter 4 theory as practice | PPTX
The role of theory in guiding questions. (a) The question or problem ...
Theory revision - THEORY ALWAYS QUESTION. IMPLICATIONS. WHY LIKE THAT ...
Lecture 1 - Theory, Questions and Methods - YouTube
PPT - Question, theory and method in systematic reviews Research ...
Solved Question 51 ptsWhat do you call a theory that | Chegg.com
NURS5327 Theory Exam 1 Question and Answers 100% Correct - NURS5327 ...
DS Theory Quiz Sample - Page 1 SC 10 15 : Theory Quiz : Sample o There ...
Image Theory Examples at Brenda Gilland blog
Scenario Based Questions | PDF | Usability | Business
THEORY TEST REVISION 2017 | THEORY TEST QUESTION AND ANSWERS - YouTube
Theory-Question-Prompts---Final-Exam.pdf - B07 - PRACTICE THEORY ...
36 Theory Examples - Most Famous Theories (2026)
Theory Mock Test | PDF
GitHub - adamisntdead/theory-test-questions: A List Of Sample Questions ...
PPT - Consistent Cuts PowerPoint Presentation, free download - ID:6528766
PPT - Chapter 6 Developing a Theoretical or Conceptual Context ...
PPT - Sample Theoretical Question PowerPoint Presentation, free ...
Question Types Explained Knowledgehook Help Center
Module 5 Reading Questions.docx - 5-1 1. What is a theory? Give an ...
Solved Problem 6: Theory/Concept Questions: For the | Chegg.com
Prospect Theory: Examples from Big Tech