Showing 116 of 116on this page. Filters & sort apply to loaded results; URL updates for sharing.116 of 116 on this page
Department of Education Deped Computerization Program Batch 1 (E ...
Naglalaman ang DepEd Textbook ng 775 Mga Pagkakamali
Deped Reading Program In The Philippines
Deped Matatag Textbook | Download here!
DepEd textbook procurement increased in 2024, says Edcom
Science Beyond Borders grade 6 Textbook deped Preloved | Textbook ...
PPT - NATIONAL TEXTBOOK DELIVERY PROGRAM ( Textbook Count) Libro ko ...
DepEd DRRMS, UPLB UL-ALIVErary BOOKS Program collab for the 6th ...
Grade 10 English Textbook Deped
Matatag Curriculum Melcs Deped Science 7th Class Textbook Pdf
DepEd to introduce reading program to boost literacy
Sample Reading Program for SY 2024-2025: Philippines DepEd Guidelines ...
DepEd to introduce reading program in schools to boost students’ literacy
DepEd procures 105 textbook titles in 2025, a 289% surge — Anyare.ph
SAMPLE READING PROGRAM For DepEd | PDF
SAMPLE READING PROGRAM For DepEd | PDF | Reading Comprehension | Learning
DepEd K12 Basic Education Program | PDF | Educational Assessment ...
EDCOM commends DepEd efforts: From 27 textbook titles in 10 years, to ...
DepEd program shows big reading gains in early-grade learners
How DepEd plans to implement program on reading, math | ABS-CBN News
DepEd 27 Fifth Grade Filipino Textbook Full Compression Guide - Studocu
Q1 MATHtatag-4-E-Textbook - 4 Deped DEPARTMENT OF EDUCATION Integrative ...
DepEd enhances MATATAG curriculum with new, high-quality textbooks ...
EDCOM 2 - Options for Improving DepEd Procurement for Textbooks, TVL ...
GRADE 3 BOOKS ALL SUBJECTS DEPED PUBLIC | Shopee Philippines
DepEd's Fifth Grade Textbook Alab Filipino (Full) | PDF
LAST SET! 5 FREE Grade 7 DepEd K-12 approved text books with purchase ...
Worksheets For Grade 1 Deped Textbooks
For 11 years, only grades 5 and 6 get complete textbooks — DepEd data ...
DepEd violating law for printing books, self-learning modules: solon ...
DepEd hinimok na tiyakin ang pagkakaroon ng mga textbooks para sa ...
DepEd distributes learning materials for 1st quarter
BOOK Manual-Dep Ed LMS Fundamentals - DepEd Learning Management System ...
Workbooks | DepEd Tambayan
DepEd finding ways to address low fund utilization for textbooks
DepEd’s textbook procurement up by 289% in just a year | Philippine ...
DepEd Reading Program: Catch-Up Friday | DepEd PH
DepEd Order No. 025, s. 2023 : Guidelines on the Procurement and ...
Deped Curriculum Guide
DepEd starts printing learning modules for blended learning
Curriculum Guide Deped Matatag Modules
DepEd’s textbook procurement up by 289% more than in previous 10 years
Deped Matatag Curriculum Guide Pdf
DepEd exec clarifies errors in textbooks | Philstar.com
Deped Matatag E Class Record For Senior High School Grade 11 English ...
DepEd K-12 Curriculum Guides
DepEd on COA report: Textbooks 'not useless, obsolete'
Grade 10 Books New Curriculum Deped Meaning
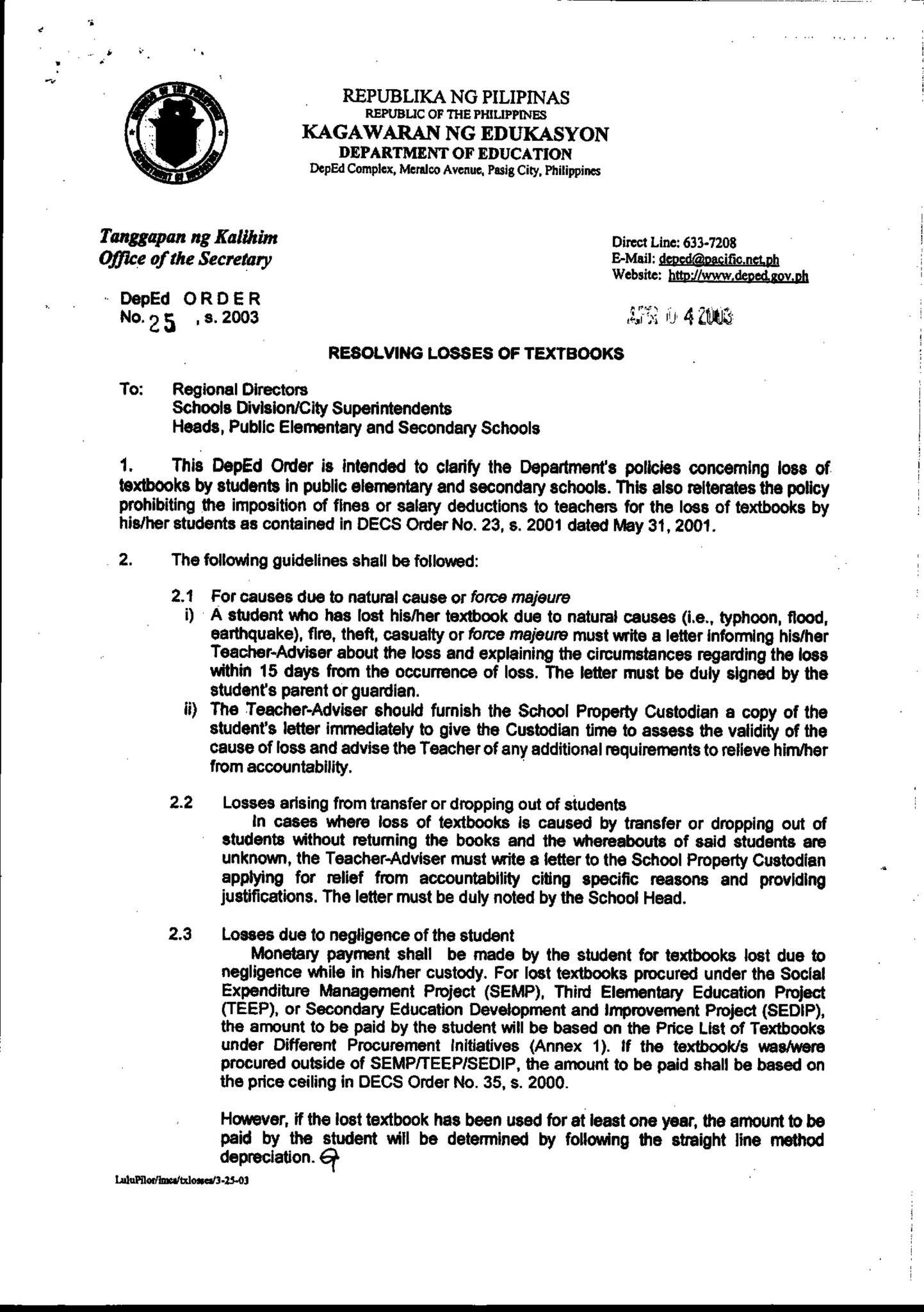
2019 DepEd Guidelines on Resolving Losses of Textbooks - TeacherPH
DepEd commits to deliver 80% of textbooks for Grades 1, 4 and 7 ...
Deped Araling Panlipunan Grade 6 Book
I love Education: DepEd Commits to Timely Delivery of Textbooks and ...
DepEd Philippines added a new photo. - DepEd Philippines
Gatchalian: Textbooks for new DepEd curriculum to be ready by July ...
DepEd Order 008, s. 2025 - Guidelines in the Selection of Textbooks and ...
DepEd Grade 10 – Books & Beyond ME
On claim that ‘a textbook scarcely mentions portions of Philippine ...
MATATAG E-Textbooks, How to access in DepEd LMS Portal - YouTube
Deped Matatag Curriculum Guide For Grade 3
Early Registration Deped Sy 2025 2026 Schedule
Grade 3 Curriculum Guides Archives - The DepEd Teachers Club
DEPED’S TEXTBOOK PROCUREMENT UP BY 289% IN JUST A YEAR - The POST
Deped Matatag Curriculum English 7 Module 4th
Updated Price List of DepEd Textbooks/Learner’s Materials and Teacher’s ...
Deped Programs and Projects | PDF
Grupo ng mga guro, may apela sa DepEd na ikonsidera ang paggamit ng mga ...
Matatag Curriculum Deped Order Pdf
DepEd Central BAC Secretariat | Pasig
Reading And Writing Skills Deped Tambayan at Amber Girdlestone blog
DepEd Commits to Timely Delivery of Textbooks and Enhancing Learning ...
DepEd blasted for 16M obsolete textbooks for public elementary schools ...
DepEd joins Philippine Book Festival, promotes access to quality ...
PAGBILI NG TEXTBOOKS NG DEPED BUBUSISIIN - PILIPINO Mirror
Instructional Materials | DepEd Tambayan
DEPED COMMITS TO DELIVER 80% OF TEXTBOOKS FOR GRADES 1, 4 AND 7 BY JULY ...
DepEd moves to speed up purchase of textbooks, other learning tools ...
What are DepEd Teachers' Files?
DEPED JOINS PHILIPPINE BOOK FESTIVAL, PROMOTES ACCESS TO QUALITY ...
DepEd Story Books Writing (Big Books and Small Books) Standards - TeacherPH
Reading and Writing Skills Module: Hypertext and Inter text • DepEd ...
DepEd sees increased textbooks procurement
Grade 09 English Textbook
DepeD Book Cover by michaeltuan97 on DeviantArt
DepEd Oks Early Procurement Of Textbooks, Learning Tools | PAGEONE
DepEd Philippines
DepEd Guidelines on Resolving Losses of Textbooks
DepEd Tayo Cordillera added a new... - DepEd Tayo Cordillera
DEPED - Division... - DEPED - Division of Negros Occidental
Senior High School Grade 11 & 12 DepEd Subject Textbooks Empowerment ...
Early registration para sa School Year 2025-2026 sisimulan na ng DepEd ...
Announcement for the Development, Printing, and Delivery of Textbooks ...
20K Iloilo City learners to get extra reading materials | Philippine ...
Inventory-of-Pages-in-DepEDssssssssssssssssssssssssss-Textbook-Araling ...
Books (Deped) | PDF
Matatag-EPP TLE-CG-Grades-4-and-7-copy - Republic of the Philippines ...
DepEd: 80% of textbooks arriving by July, but concerns remain - Manila ...
English Curriculum Guide - deped.gov/. *These materials are in ...
Available and repriced ! Grade 7 math and history books homeschool ...
Procurement of Service for the Development, Printing and Delivery of ...
The Dilemma of Philippine History Textbooks - A Review of Select Grades ...
EPP,TLE Curriculum Guide.docx course guide for epp tle for school year ...
Here's the Revised Basic Education Curriculum to be implemented next ...