Showing 119 of 119on this page. Filters & sort apply to loaded results; URL updates for sharing.119 of 119 on this page
Concrete Process of TensorFlow Calculation | Download Scientific Diagram
Flops calculation in tensorflow 2.x version. · Issue #39834 ...
TF 2.0 Feature: Flops calculation · Issue #32809 · tensorflow ...
TensorFlow Tutorial | Deep Learning Using TensorFlow | Edureka
Tensorflow | PPT
What is TensorFlow? | Introduction to TensorFlow | TensorFlow Tutorial ...
What is TensorFlow and How Does It Work?
Review: TensorFlow shines a light on deep learning | InfoWorld
Tensorflow tutorials for beginners, 1: Creating Computation graphs ...
A Basic Introduction to Tensorflow in Deep Learning - Analytics Vidhya
TensorFlow and its Installation on Windows - Intellipaat
Tensorflow for Deep Learning – Ancheng's Playground
TensorFlow Tutorial — A Comprehensive Guide To Deep Learning Using ...
TensorFlow Tutorial for Beginners: Your Gateway to Building Machine ...
Tensorflow Tutorial | Applications of TensorFlow Framework
TensorFlow: Powerful Predictive Analytics with TensorFlow
TensorFlow Study Part I | PPTX
Getting Started with TensorFlow for Deep Learning - The Engineering ...
How to Calculate Dot Product in TensorFlow | Delft Stack
TensorFlow Dot Product | Delft Stack
TensorFlow architecture diagram. | Download Scientific Diagram
Understanding TensorFlow Metrics: How to Calculate Accuracy for ...
TensorBoard | TensorFlow
TensorFlow Tutorial for Beginners [Updated 2025]
python - PyTorch/TensorFlow calculation of surface normal of a surface ...
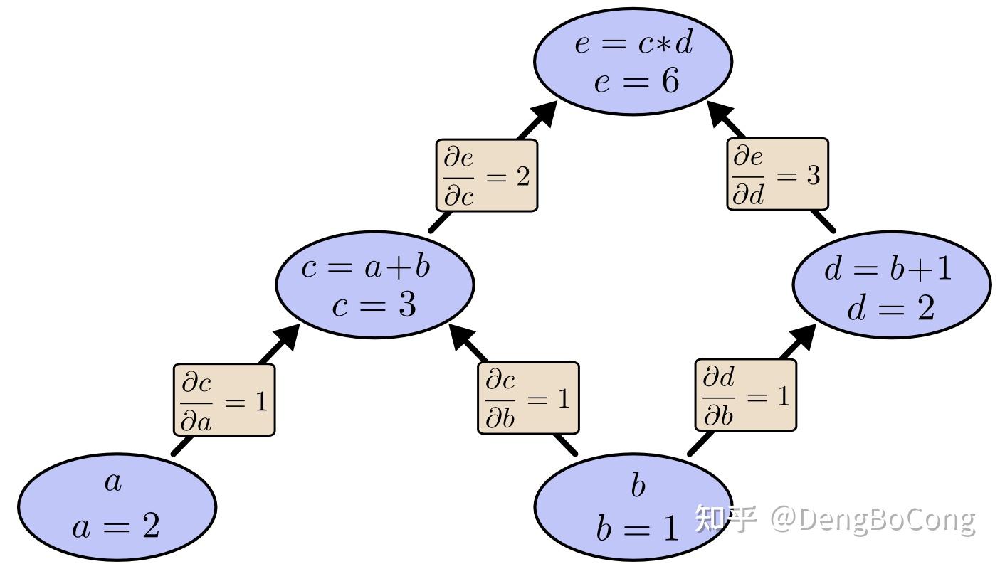
How Tensorflow Calculates Gradients
Basics of TensorFlow GradientTape - DebuggerCafe
Building a Neural Network Using Tensorflow : A Complete Guide
How to Use TensorFlow to Calculate a Gradient - reason.town
Essential Guide to TensorFlow Extended For MLOps
GPU TensorFlow Installation Guide for Windows – deep mind
python - Calculate/Visualize Tensorflow Keras Dense model layer ...
Calculating Tensorflow Object Detection Metrics with Python | Mean ...
A computation graph of TensorFlow operations. | Download Scientific Diagram
What Is TensorFlow Lite and How Is It a Deep Learning Framework?
Tensorflow 超解像 _ Tensorflow 画像 表示 – AOYU
TensorFlow 101 | Mastering TensorFlow 1.x
Tensorflow Neural Network Regression at Brandon Myers blog
Explore Deep Learning: A TensorFlow Python Tutorial | Toptal
Introduction to gradients and automatic differentiation | TensorFlow Core
TensorFlow Layers | Complete Guide on TensorFlow Layers
TensorFlow Cheat Sheet + PDF | Zero To Mastery
How to calculate mean average precision mAP using TensorFlow
Introduction to TensorFlow - Part 1
Image Classification with TensorFlow | by Düzgün İlaslan | Medium
TensorFlow Tutorial How To Use Tensorflow To Read Receipts – Access ...
A Beginner's Guide to Tensorflow
TF Notes (3), Computational Graph in Tensorflow | 棒棒生
TensorFlow Software Overview - Infraveo Technologies
TensorFlow Element Wise Multiplication
TensorFlow implementation example for Smooth Gradient | Download ...
Each step is, in itself, a large TensorFlow graph (from Fig. 2), which ...
python - Optimizing Loss Function for Speed in Tensorflow - Stack Overflow
Calculate gradients | TensorFlow Quantum
deep learning - Generating a *simple* TensorFlow graph illustration ...
Architecture of TensorFlow - Components and Working - TechVidvan
Tutorial 6: Linear Regression using Tensorflow and GradientTape ...
How to compute gradients in Tensorflow and Pytorch | by Mai Ngoc Kien ...
Understand basic TensorFlow programming concepts
Calculate Binary Cross-Entropy using TensorFlow 2 | Lindevs
Implementing a Single Shot Detector Model in Tensorflow 2.0 · UR ...
TensorFlow Max: Use tf.reduce_max To Get Max Value Of A TensorFlow Tensor
TensorFlow ML Software (Features, Tools, and Alternatives)
TensorFlow and Tesseract OCR: Two Popular AI/ML Tools
TensorFlow Fold - 动态计算图 - 知乎
TensorFlow computation graphs. | Download Scientific Diagram
Benchmarking Inference Speed Of Quantized Tensorflow Lite Models On An ...
TensorFlow · Davi Frossard
Tensorflow 2: Introduction, Feature Engineering and Metrics - Gowri Shankar
How to calculate perplexity of RNN in tensorflow - YouTube
TensorFlow 2 saveModel模型JAVA 加载及调用_java tensorflow-CSDN博客
Learning TensorFlow | Computation Graph of Tensors - YouTube
tf.reduce_max: Calculate Max Of A Tensor Along An Axis Using TensorFlow
Numerical instability of gradient calculation of tf.norm (nan at 0, inf ...
Calculate Huber Loss using TensorFlow 2 | Lindevs
python - Tensorflow Precision / Recall / F1 score and Confusion matrix ...
Tensorflow Python How To Serve A Model With TensorFlow | Intel®
Basics of TensorFlow GradientTape : r/learnmachinelearning
Convolutional neural network cnn convolutional neural networks with ...
Getting Started with TensorFlow: A Machine Learning Tutorial - KDnuggets
TensorFlow: What is it and How Does it Work?
How do you build computational graph in TensorFlow? | i2tutorials
TensorFlow.pptx
How To Calculate Power Of Tensors In TensorFlow?
Tensorflow: The Powerhouse For Machine Learning – peerdh.com
Introduction to Tensor Flow-v1.pptx
如何理解TensorFlow计算图? - 知乎
Easy way to calculate the standard deviation or variance of the tensor ...
TensorFlow: Ein umfassendes Tutorial für Data Scientists | Data Basecamp
手把手教你使用Tensorflow2.0搭建循环神经网络_gee调用tensorflow神经网络模型-CSDN博客
TensorFlow新特性实战开发:构建强大的机器学习模型-CSDN社区
TensorFlow-Lite-Object-Detection-on-Android-and-Raspberry-Pi/calculate ...
TensorFlow入门:从基础到实战应用-CSDN博客
Face Recognition with TensorFlow: A Step-by-Step Guide - HashDork
Intel® Extension for TensorFlow* — Intel® Extension for TensorFlow* 0.1 ...
What is TensorFlow? - Blockchain Council
Data Science Struggle: How to use TensorBoard through arithmetic ...
Descubre TensorFlow: La revolución en aprendizaje automático
一張圖了解tensorflow中的線性回歸工作原理 - 每日頭條
TensorFlow:How to calculate the Euclidean distance between two tensor ...
Apa itu TensorFlow? Pengertian dan contoh 2024 | RevoU
Neural Learning with Tensorflow2.0 Part-2 (Overview of Gradient Descent ...
Build a simple Neural Network with TensorFlow.js in JavaScript ...
TensorFlow: A Game Changer for Development
Introducción a los gráficos de cálculo de TensorFlow: simulación de la ...