Showing 120 of 120on this page. Filters & sort apply to loaded results; URL updates for sharing.120 of 120 on this page
Model -Delay Selector III. SYNCHRONOUS VARIABLE-LATENCY DESIGN ...
Gear Selector Mechanism Diagram at Alana Walden blog
3 Phase Motor Connection Diagram with SSR and Selector Switch - ETechnoG
Selector Switch Sequence: 10 Step Relay Switch Circuit Diagram – NYKG
All About Selector Switches – Detailed Guide
SOLVED: Consider a 3-bit synchronous shift register that takes a 2-bit ...
Synchronous Generator Basics, Simple Guide to rewire your HEAD ...
SCHNEIDER SELECTOR SWITCH 2 POSITION 1NO
Presentation on Synchronous Machine.pptx
Selector Switch, 2-Position, 1NO, 22mm | Flux Electronix
Speed Control of Synchronous Motor | PPTX
synchronous motor for presentation | PPTX
Selector Switch 3 Position Diagram at Jeffery Ramirez blog
Synchronous Counters Explained (Part-1) - YouTube
SYNCHRONOUS GENERATOR.pptx
Lecture 3 synchronous machine part1 - YouTube
Understanding the Functionality of a Selector Switch: An Illustrated ...
Introduction to Synchronous Generator, Working, Construction, Types ...
Speed Control Methods Of Synchronous Motor at Hayden Ness blog
PPT - Analysis of Synchronous Sequential Circuits PowerPoint ...
Lec # 03 equivalent circuit of a synchronous generator | PPT
Scalar Control vs. Vector Control Technique for Synchronous Motor
PPT - Synchronous Motors in Operation: Phasor Diagram Interpretation ...
PPT - Chapter5: Synchronous Sequential Logic – Part 1 PowerPoint ...
Basics of Synchronous Motors
11: Modeling Synchronous Communication using Synchronizations with ...
Unlocking the Power of Selector Switches: A Comprehensive Guide to ...
Examples Of Synchronous And Asynchronous Code 7 Examples Of
Synchronous editing. This figure illustrates the synchronous sequence ...
Load Characteristics of Synchronous Motor
(Solved) - Design a synchronous modulo-5 counter, 2,3,4,5,6 & repeat ...
An example of synchronous period selection. | Download Scientific Diagram
Understanding Power Factor Correction Using Synchronous Motors
Rotary Selector Switch Wiring Diagram at Fernando Ward blog
Types of Synchronous Motors
A Selector Switch at Tia Curtis blog
Selector Switch : Construction, Working, Circuit, Types & Its Applications
Chapter 8 Analysis and Synthesis of Synchronous Sequential
Synchronous Learning | Technology Glossary Definitions | G2
Synchronous Control | Optical Linear Actuators using Arduino
Working Principle of Synchronous Motor
Synchronous generators and converter control scheme. | Download ...
3 Synchronous
Regulatory logic of neuronal diversity: Terminal selector genes and ...
Introduction of Synchronous Motor site_title); */?>
Explain Why Three Phase Synchronous Motor Is Not Self Starting » Wiring ...
Synchronous Counter in Digital Electronics with circuit Diagram
Synchronous Motors Vs Induction Motors Key Insights
Principle of the first vector selection in a synchronous frame ...
Starting Methods for Synchronous Motors: A Complete Guide for ...
Synchronous Machines in PE Power - Study for FE
Synchronous machines ( construction and actual rotors ) | PPTX
Synchronous Machines|synchronous generator & synchronous Motor – EEE ...
Synchronous Generators | How it works, Application & Advantages
What is Selector Switch - Cantak
Dependence of the selector characteristics on the selector cell ...
What is the difference between synchronous and asynchronous AC motors?
Difference Between Synchronous and Asynchronous Circuits
Model Predictive Control for Virtual Synchronous Generator with ...
Synchronous Generator.pdf
Permanent Magnet vs Reluctance vs Hysteresis Synchronous Motor: A ...
Difference Between Synchronous and Asynchronous Motors | ZHENLI MOTOR Guide
Selector Switch 1 x N/O + 1 x N/C, 2 Position - Maintained (Changeover ...
Understanding Synchronous Counter and Asynchronous Counter for ...
Synchronous Generator Model at Marc Rogers blog
How Does A Synchronous Condenser Operate at Autumn Allen blog
Synchronous Data Transmission What Is Synchronous Digital Hierarchy
23. Synchronous Machine — EE2E11 Electrical Energy Conversion
Synchronous Motors Overview | PDF
Synchronous Dual-Port RAMs | Renesas
The logic for the selector of Figure 5. | Download Scientific Diagram
How people-first companies combine synchronous and asynchronous ...
Circuit connection: The Three-Phase Synchronous Motor (20 marks ...
Design of Synchronous Sequential Circuits| Step by step explanation ...
SOLVED: Q2: (a) Shown below is the symbol for a 4-bit synchronous ...
PPT - Synchronous Sequential Logic Part I PowerPoint Presentation, free ...
Mechanical Selector Switch at Alonzo Christensen blog
Schematic representation of the selector motion mechanism in 2D ...
SOLUTION: Synchronous condenser its pros and cons with an example ...
What is a Synchronous Motor? Working ... – Hiatran
Synchronous counter | Types, Circuit, operation and timing Diagram
Schematic Diagram Of Synchronous Generator
Adaptive Control of a Virtual Synchronous Generator with Multiparameter ...
Synchronous and Asynchronous Programming - GeeksforGeeks
Figure 1 from DESIGN ANALYSIS OF AN AUTOMATIC PHASE SELECTOR | Semantic ...
Schematic motion sequence of the selector in 3D, including the selector ...
Synchronous Serial Transmission -Protocols & Working
Difference Between Synchronous and Asynchronous Transmission
Synchronous Motor: Construction, Working, and Applications
PPT - Synchronous machines PowerPoint Presentation, free download - ID ...
Synchronous Motor Generator
Full article: Overview of position synchronous control technology for ...
Details of the selector design. | Download Scientific Diagram
Field Winding In A Synchronous Machine at Betty Thacker blog
Applications of Synchronous Motors: Industry Uses, Power Factor ...
国立智能-产品中心
Frame synchronization selector. At the startup and extremely low ...
PPT - EECS 150 - Components and Design Techniques for Digital Systems ...
Characterization and synthesis of a 32-bit asynchronous microprocessor ...
123 Cincinnati History Museum Stock Photos, High-Res Pictures, and ...
Understanding the Role of Neutral in Three-Phase Systems
What Is Data Transmission? How to Ensure Smooth Data Flow
Introducing our new family of MULTISELECTORS
Overall architecture of the source-synchronous transmitter used to ...
Synchro Converter Circuit Diagram
PHASE_SELECTOR_PHASE_DETECTOR_SYNCHRONOUS_RECTIFIER_BALANCED_MODULATOR ...
Arduino-Based Voltage Regulators for Switching Applications | by ...
Three Speed Motor Diagram Speed Control Methods Of Various Types Of
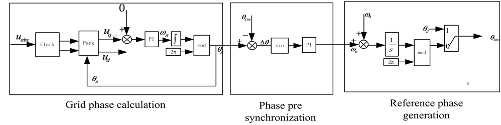
Research on Seamless Switching Control Strategy Based on Virtual ...