Showing 120 of 120on this page. Filters & sort apply to loaded results; URL updates for sharing.120 of 120 on this page
Supervisory Code Data Integrity Project June 16 2015
GSCLLP Supervisory Code of Conduct | PDF
"mdlOutputs" function in the supervisory code describes the dispatch ...
GSC LLP Supervisory Code of Conduct | PDF
Supervisory code every so often need a little help figuring why ...
The importance of Values & Ethical Code for Supervisory Boards
Supervisory Staff Role in Fire Safety According to Fire Code and ...
Workday Extend Supervisory Organization Creator I am sharing some code ...
Supervisory Roles and Functions: A Comprehensive Overview (Course Code ...
Supervisory volume: Code Section 5.02 | Coding, Bcba, Exam
Supervisory volume: Code Section 5.02 - YouTube
Supervisory Code Data Collector LK9150 Cable Accessories | eBay
June 11, 2024 Public EVV Forum for HHCS and PCS Nurse Supervisory Code ...
Supervisory Staff and Ontario Fire Code
Alarm Code Construction the supervisory signal arriving at 'node 3' is ...
Attachment1_List of Supervisory Codes and
Leadership Code Introduction For Supervisor 2 | PDF | Strategist ...
StealthLock System - Programming the Supervisor Code - YouTube
Free Supervisor Code of Conduct Template to Edit Online
Code of Conduct for Supervisors | Hult Coaching Qualifications at Ashridge
PPT - UL Code 864 9 th Edition PowerPoint Presentation, free download ...
Semiconductor Naics Code at Brandon Myers blog
Supervisory Control: Key Concepts & Benefits | PDF | Performance ...
Supervisor Assigns a Cost Code with Owners to a Docket - Virtual ...
GitHub - SRvdVelden/Supervisory_Control: All the code for the warehouse ...
HCHB HH Service Code Description | Contractor KB
Supervisory & Management Skills (March 10,2026) - Edmonton Construction ...
Form Supervisory Plan ≡ Fill Out Printable PDF Forms Online
Supervisory Alarm - Linkage Fire and Security Corp
(PDF) Automatic Generation of the Supervisor Code for Industrial ...
Supervisory & Bargaining Unit Codes Guide
Standard Erlang supervisor code arrangement. | Download Scientific Diagram
Figure 1 from Automatic Generation of the Supervisor Code for ...
Shop: Code Auditor: Code Supervisor: Code Form of Checking | PDF
DX8000 - How to change supervisor code - YouTube
Supervisory Level Management - YouTube
Audit of Supervisory Processes – Systemically Important Banks Group ...
Given Employee Employee Number Salary Department Code Supervisor Code | PDF
Employee Code of Conduct - Free Template
Photo of Justin Privette, Code Enforcement Supervisor
Code of Discipline 2014 | PDF
Changes introduced- changes introduced by the new Commercial Code of ...
Supervisory Board - Supervision in Company | Dudkowiak & Putyra
Corporate Governance Code - Delivery Hero
PPT - Supervisory Systems PowerPoint Presentation, free download - ID ...
Code of Practice For Site Supervision 2009 (2024 Edition) 98 | PDF ...
Changing the Supervisor code - YouTube
Code supervisory.docx - Running Head: ETHICS IN THE SUPERVISOR'S ...
Shop: Code Auditor: Code Supervisor: Code Form of Checking | PDF | Blu ...
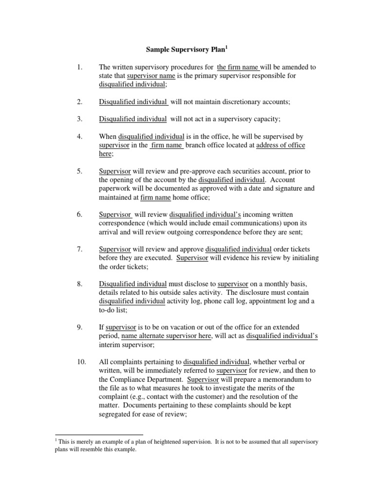
Sample Supervisory Plan | PDF | Common Law | Public Law
(PDF) INCREASING THE EFFECTIVENESS OF SUPERVISORY BOARDS AS ONE OF THE ...
Supervisory Guide For | PDF | Teachers | Curriculum
Supervisory Rule (Basic) | PDF
Understanding the Importance of Supervisory Signals in Fire Alarm ...
Code Supervisor | Dhaka
CODE 3 Z3S MATRIX VEHICLE SIREN - Wi-Com Solutions Inc.
A month to appreciate our hard-working Code Enforcement officers ...
5 bs a school dress code for the 21st Century | PPTX
How to change your supervisor code - YouTube
10 Supervisory Skills to Have | SC Training
What is supervisory control? - Industrial Automation - Industrial ...
Code of Practice for Site Supervision 2009
NASW Code of Ethics Updates - ASWB Exam - Agents of Change
Top-level schematic of the supervisory scheme | Download Scientific Diagram
2. Functions of Supervisory Control. | Download Scientific Diagram
Performance Appraisal Form (including supervisory skills)
PPT - Ethical Principles Code of Professional Ethics - CRCC Dual ...
CODE 3 SUPERVISORTL INSTALLATION & OPERATION MANUAL Pdf Download ...
Craft a Code of Conduct: 7 Essentials & Examples (+Template)
Supervisory Control: Định Nghĩa, Ví Dụ Câu Và Cách Sử Dụng
Supervisor pseudo code and implementation fragment | Download ...
Supervisor Authorisation Code - Help Files Netbookings
PPT - Bargaining Units Bargaining Unit Status and Union Members ...
PPT - Time & Attendance PowerPoint Presentation, free download - ID:6384368
PPT - Faculty of Arts PowerPoint Presentation, free download - ID:4124418
Sample WSP/CoE Section - Service Provider - Due Diligence - RIA ...
Corporate Governance | METRO AG
Step by Step Creating Company Codes in SAP
Occupational Health and safety and code, 2020.pptx
SSSC_supervision_presentation.pptx
Occupational Health Supervisor (Code - HSE - OHS) | PDF | Occupational ...
Newsletter - Thursday, January 24, 2024
D 4 4 2 - Supervisory-Plan-checklist | PDF | Teachers | Curriculum
Security Supervisor Job Description | Security Supervisor Roles and ...
Free Supervision Form Templates For Google Sheets And Microsoft Excel ...
What Is a Supervisor? Key Skills, Duties and Roles
Mastering ICD-10 Codes for Ground-Level Falls Ensuring Precision in ...
Project Management Status Codes Powerpoint Slide | PowerPoint Templates ...
PAX A920 pro - Microsoft Azure API Management - developer portal
How To: View the Supervision Report
PPT - Supervisor Roles PowerPoint Presentation, free download - ID:6809825
Supervisor Assignments
PPT - OSHA and You as a Supervisor PowerPoint Presentation, free ...
Keep your scripts alive with Supervisord | Layershift KB
Supervision Codes Help Guide | PDF
Clinical Supervision Session Forms, Assessment Template, Therapy ...
The benefits and outcomes of effective supervision
How do the different supervision modes work ? – Cloudli Support
Create production supervisor Tcode in SAP | Transaction Codes List
Swiss Association of Trust Companies - ppt download
PPT - CS 367: Model-Based Reasoning Lecture 6 (01/31/2002) PowerPoint ...
Provider, Supervision & QC Codes - ppt download
EMERGENCY CODES in hospital related to some disaster | PDF
PPT - Supervision and Supervision Ethics Presenters in Alphabetical ...
What Are The Duties Of An Office Supervisor at JENENGE blog
Safe Supervision (Guide To Supervisors) | PDF
The supervisors of a factory are given a 'pass code' which is passed on ...
PPT - Labor Relations PowerPoint Presentation, free download - ID:6774106
Labour Codes.pptx
Medical Coding and ICD-10-CM Coding Guidelines | Coding Clarified