Showing 120 of 120on this page. Filters & sort apply to loaded results; URL updates for sharing.120 of 120 on this page
Generate and Examine Structured Text Code - MATLAB & Simulink
Structure Text Programming - Codesys 6 | PDF
Structure Text Programming - Codesys 1 | PDF
Generate Structured Text Code for a Simple Simulink Subsystem - MATLAB ...
Structured Text Code Generation for Enum To Integer Conversion - MATLAB ...
Structure Text Programming - Codesys 14 | PDF
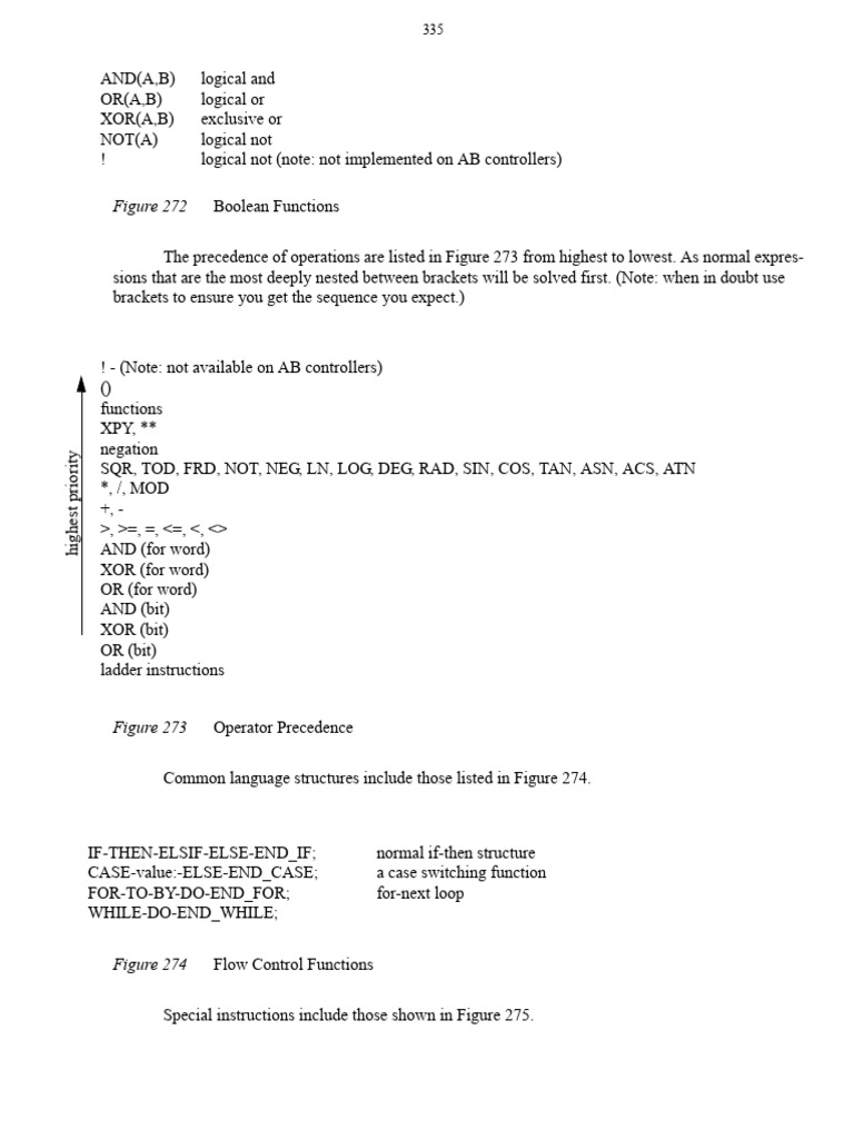
Structure Text Programming - Codesys 3 | PDF
Generate Structured Text Code with VAR_IN_OUT Variables - MATLAB & Simulink
Structured Text PLC Code for Sequential Process Data Storage
Structure Text Programming - Codesys 7 | PDF
1: Formula in negation normal form with visualized structure sharing ...
Generate Structured Text Code for Model Reference Hierarchy - MATLAB ...
Generate Structured Text Code for Width Blocks - MATLAB & Simulink
Generate Structured Text Code for Reusable Subsystems - MATLAB & Simulink
Structure Text Programming - Codesys 4 | PDF | Boolean Data Type ...
Code structure. Further details are given in the main text | Download ...
What Is Text Structure Examples at Brenda Bradley blog
Structure Text Programming - Codesys 10 | PDF
Introduction to structure text (ST)
Text Structure Chronological Order
text structure | OK Math and Reading Lady
Generate Optimized Structured Text Code by Folding Expressions - MATLAB ...
Generate Bus Variables as STRUCT Data Types in Structured Text Code
Structure Text Programming - Codesys 13 | PDF
Structure Text Programming - Codesys 16 | PDF | Computer Engineering ...
60+ Text Structure Examples
Free Text Structure Activities
PPT - Negation & Null Values PowerPoint Presentation, free download ...
Write a PLC Program for Selector Machine using Structured Text
Understanding Structured Text - News
Ladder Logic vs. Structured Text for Omron PLCs
While Do Statement in Structured Text PLC Program
Basics of Structured Text (ST) Programming | Examples & Applications ...
Structured Text - Expressions and Operators
Structured Text Programming in PLC – Basics, Syntax & Industrial Use
Basic Structured Text Programming in Mitsubishi PLCs - Technical Articles
Understanding the FOR Loop in CODESYS Structured Text (ST) | by Tamim ...
Structured Text Tutorial For PLC Programmers
Structured Text Functions
If-Else Condition in Structured Text (ST) Programming – RSLogix 5000 ...
Text Structures | PDF
Project > Scripts > ST language > What is Structured Text Programming?
Distribution of negation structures per polarity and domain | Download ...
Learn Structured Text in 2020
Nonfiction: Coding Nonfiction Text Structures
Structured Text PLC Example for Motor Interlocking and Control
PPT - - Meeting 2 - Understanding Structure PowerPoint Presentation ...
Structured Text (ST) in PLC- Why should you use it | by Mouhammad ...
Arrays in structured text - ppt video online download
Structured Text
Structured Text Programming in CoDeSys | PDF
PLC Structured Text (ST) Programming.pptx
Structured Text (ST) Programming in Schneider EcoStruxure Control ...
At the top is the example of Figure 2 with a negation flag set; in the ...
Structured Text vs. Instruction List for PLC Programming
Introduction to the PLC Language: Structured Text | Owlcation
Informational Text Structures Anchor Chart
Structured Text Examples using Ladder functions - UniLogic Software ...
Coding differences in two negation frames. | Download Table
Non-Fiction Text Structures - MsJordanReads
Codesys #14: Basics of Structured text (ST) programming, Assignment in ...
Basic Structured Text Programming | HubPages
Text Structures Anchor Chart Authors Purpose Anchor Chart - Etsy
Structure Codes | PDF
Structured Text Programming: A Step by Step Guide (With Examples) | PLC ...
Solved a. Transfer the following Ladder code to Structured | Chegg.com
Structured Text Tutorial | PDF | Boolean Data Type | Control Flow
Structured text of sentence from Fig. 5 | Download Scientific Diagram
Logical Operators in Structured Text (ST) – AND, OR, NOT, XOR with Examples
Nonfiction Text Structures - The Classroom Key
Structured Text Programming - controlcircuitry.com
Codesys: Write your first program in Codesys: Structured Text - Part #3 ...
Structured Text (ST)
RSLogix 5000 Structured Text (ST) | Controlling Speeds
Connected Components Workbench Structured Text (ST) Language | Micro800 ...
Structured text vs. Ladder - NJ Series / Sysmac Studio - MrPLC.com
20): The Description of the Structure Code. | Download Scientific Diagram
Negation Examples
Table 1 from Appendix A : The syntax of the Structured Text programming ...
CodeSys Structured Text Case Construct 2021 | "Case Of" Example - YouTube
Using Timers in Structured Text (ST) in RSLogix 5000 – Complete Guide
Structured Text CASE OF Statement
The structure of the code. | Download Scientific Diagram
PPT - Programmable Logic Controllers PowerPoint Presentation, free ...
PLC Programming Languages: A Comparative Guide - Engineer Fix
Structured Text: Create And Use Structured Datatypes - YouTube
PLC Programming Development Tips - Automated Electrics
PPT - PROGETTO del CONTROLLO di MACCHINE AUTOMATICHE per l ...
IEC 61131-3 Explained
Understanding and Using SCL Regions in TIA Portal
PPT - Semantics and Inference Part II Johan Bos PowerPoint Presentation ...
PPT - CS 103 Discrete Structures Lecture 07 Logic and Proofs ( 7 ...
information architecture - How to improve readability of highly ...