Showing 120 of 120on this page. Filters & sort apply to loaded results; URL updates for sharing.120 of 120 on this page
The graph of the three smooth functions and the sign function ...
Graph of the smooth extension of function f(x)=x $f({x})=x$ | Download ...
Smooth Function Graph
SOLVED:Sketch the graph of a smooth function f and label a point P(a, f ...
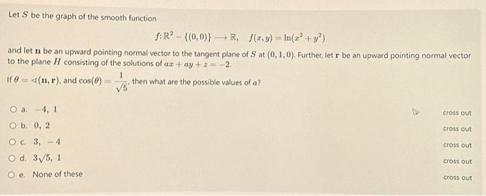
Solved Let S be the graph of the smooth function | Chegg.com
Solved On the graph of a smooth function r(t) below, each | Chegg.com
3: The graph of a piecewise smooth function u(x,t) | Download ...
(PDF) How the Reeb graph of a smooth function encodes the class of the ...
Non-analytic smooth function - Wikipedia
Smooth Function & Flat: Definition, Examples, C^n - Statistics How To
Create An Equation And Sketch A Graph That Is Smooth Curve - Tessshebaylo
Smooth step function for three different values of c. | Download ...
A positive smooth function with all derivatives vanishing at zero ...
Solved 2. A smooth function that starts out at 0. Consider | Chegg.com
Graph of a Function
Solved 2. A smooth function that starts out at 0 . Consider | Chegg.com
What Is A Smooth Curve Graph at Sebastian Montefiore blog
Impressive Info About When To Use A Smooth Line Graph Combo Chart ...
Recommendation Info About How To Tell If A Graph Is Smooth Change The Y ...
The smooth function ϕ(x), α = 1. | Download Scientific Diagram
Brilliant Tips About What Is A Smooth Curve On Graph How To Make ...
Sketch a graph of a single smooth and continuous | Chegg.com
real analysis - Smooth function with specific features - Mathematics ...
Graph of the function f (x 1 , 0) | Download Scientific Diagram
Graphics of the smooth function f (x) = e − 1 x 2 | Download Scientific ...
Brilliant Tips About What Function Is A Smooth Curve Python Plt Axis ...
Solved 1 point) A contour diagram for the smooth function | Chegg.com
curves - Equation for a smooth step function - Mathematics Stack Exchange
Smooth function
Smooth function curves of different values by weight... | Download ...
Solved Sketch a graph of a single smooth and continuous | Chegg.com
deformations of smooth functions on 2-torus whose kronrod-reeb graph is ...
The smooth function by variable values of the constant í µí»½ ...
calculus - A smooth function instead of a piecewise function ...
Smooth function y=P(μ,x) and nonsmooth function y=max (0,x ...
Actual smooth function with parameter P1 | Download Scientific Diagram
real analysis - Creating a smooth function which is positive on some ...
Comparison between the smooth function f (1) and the piecewise-linear ...
A smooth function f on a 2-torus T2\documentclass[12pt]{minimal ...
Smooth function estimates are obtained by applying the naive model ...
Plot of the smooth step function | Download Scientific Diagram
Beautiful Work Info About How To Know If A Graph Is Smooth Particle ...
Plot of the function of Equation 4, representing a “smooth” step ...
3.2 Smooth and piecewise smooth functions - YouTube
Smooth Vector-Valued Functions - Mathematics LibreTexts
Smooth Curve: Definitions - Statistics How To
Smooth vs. Non-smooth Functions
calculus - smooth functions or continuous - Mathematics Stack Exchange
A schematic for different smoothing functions. A smoothing function ...
3 Typical smoothing function and its derivative for a complete set of ...
Fit Smooth Curve to Plot of Data in R - GeeksforGeeks
What is a smooth function? - YouTube
Solved 18. Show that, if f(x, y) is a smooth function, its | Chegg.com
How to Plot Smooth Curve in Matplotlib | Delft Stack
Solved 2. Let y=f(t) be a smooth function. Show that the | Chegg.com
Graphs of smooth window functions s and c. | Download Scientific Diagram
r - Missing Confidence Intervals on a Geom_smooth function with double ...
Set of smooth graphs of a functions Stock Vector Image & Art - Alamy
Smooth response data - MATLAB smooth
1. Example integrands 1) f nice , a smooth function, 2) f peaky , a ...
What Is A Curve Graph at Greg Booth blog
Smoothstep | Visual Effect Graph | 12.0.0
Joining Points on Scatter plot using Smooth Lines in R - GeeksforGeeks
Smoothing approximations for piecewise smooth functions: A ...
How to Create Smooth Lines in ggplot2 (With Examples)
How to smooth a curve in the right way?
Approximation result of the smooth function. | Download Scientific Diagram
calculus - what does "how smooth f is" mean? - Mathematics Stack Exchange
How To Plot A Smooth Curve In Matplotlib
Smooth transition between linear functions - Mathematics Stack Exchange
Figure 1 from Title REEB GRAPHS OF SMOOTH FUNCTIONS ON MANIFOLDS ...
Examples of smooth functions 1 - Mathematics Stack Exchange
Plotting Smooth Curves in matplotlib: A Python Guide to Signal ...
Function
SOLVED:32 1.The graphs of polynomial functions arc smooth and ...
Finding Limits Of Polynomials – Project Greater Ed
PPT - End Behavior of Functions PowerPoint Presentation, free download ...
Polynomial Functions. - ppt download
PPT - 3.2: Polynomial Functions and Their Graphs PowerPoint ...
Polynomial Functions of Higher Degree - ppt download
Fourier Convergence Theorem
PPT - Section 11.1 PowerPoint Presentation, free download - ID:565954
smooth_1d_1
Practitioner’s Guide to Deep Learning
Smoothing sums | Tricki
Constructing Approximations to Bivariate Piecewise-Smooth Functions
PPT - Vector Functions: Definitions, Examples, and Applications ...
PPT - Bruce Mayer, PE Licensed Electrical & Mechanical Engineer BMayer ...
Smoothing – Evidence Synthesis Academy
How to Plot in Matplotlib? - Scaler Topics
PPT - Investigating Graphs of Quadratic Functions PowerPoint ...
Chapter 2 Functions and Graphs - ppt download
Smoothing sums wiki page – E. Kowalski's blog
Plots of the smoothing functions of each variable used in generalized ...
Solving Systems of Equations by Graphing - Math Steps & More!
Graphing the Basic Functions
calculus - Comparing functions' smoothness - Mathematics Stack Exchange
Understanding the “Smoothstep” function! - YouTube
Square Root Graphs, in Depth - Expii