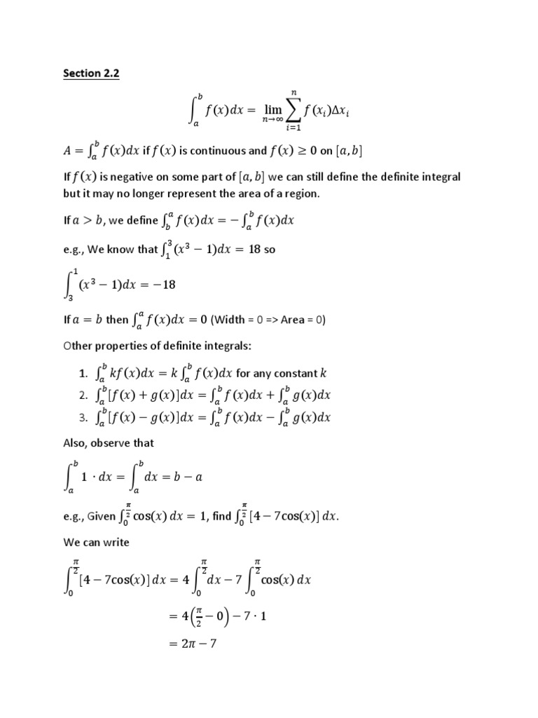
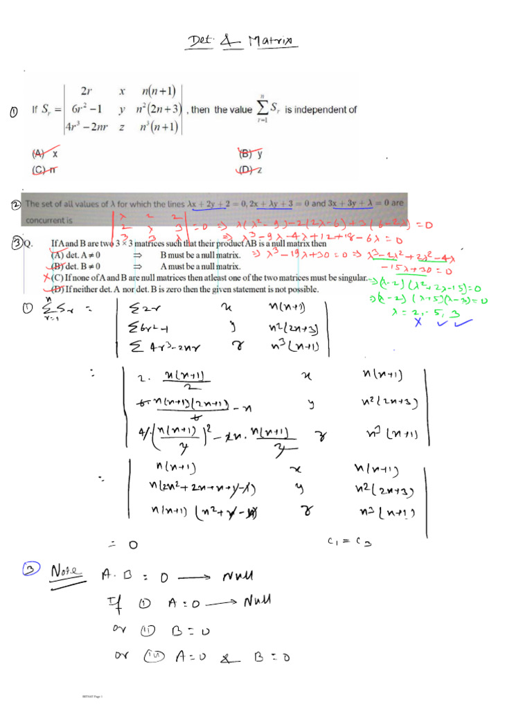
Showing 120 of 120on this page. Filters & sort apply to loaded results; URL updates for sharing.120 of 120 on this page
Math Notes | PDF
? Basic Math Notes | PDF
Math Notes 12 | PDF | Function (Mathematics) | Limit (Mathematics)
Class 10 Math Quadratic Equations Notes | PDF | Mathematics ...
Math (Mathematics) Aesthetic Notes PDF Bundle | for High School Grade ...
Basic Math Notes | PDF | Fraction (Mathematics) | Ratio
Math Short Notes Part-1 | PDF
Math Notes (Maths Notes) | PDF | Triangle | Euclidean Plane Geometry
Math Formula Handwritten Notes PDF Download | Math formulas, Math ...
Math Small Group Notes by Encourage Teach Inspire | TPT
10 Printable PDF Math Notes Note Template Student Notes - Etsy
Math Notes 03 | PDF
Class 12 Math Notes PDF Download 2025-2026 (Digital Handwritten Notes ...
Math Notes Yr 1 .23 ? | PDF
Math notes | PDF
Math Notes 3 | PDF
Best Aesthetic Math Notes | PDF | High School Study Guides - NewtonDesk
Math Notes – Algebra Basics | PDF
Day - 1 Math Notes | PDF
SAT Math Notes | PDF
Math Notes | PDF | Triangle | Mathematics
Math Notes 22-Pages-19 | PDF
A Math Notes | PDF
Math Short Notes Part 2!!! | PDF
SOLUTION: Math notes pdf file - Studypool
Math Study Notes Bundle PDF | Complete Mathematics for 11th and 12th ...
Math Notes | PDF | Data | Information
S5 Math Algebra and Calculus Notes | PDF | Equations | Algebra
Math 1 Notes | PDF | Equations | Mathematics
Math Formula Handwritten Notes PDF Download | Math formulas, Math, Math ...
math notes | PDF
Math Notes ??? | PDF
Math Notes First Semester PDF | PDF
Math Notes | PDF | Ordinary Differential Equation | Mathematical Objects
Add Math Notes | PDF
s1 Math Notes | PDF
MATH 220 Notes | PDF
Chapter 1 math notes | PDF
Math Formula Handwritten Notes PDF Download | Math formulas, Math notes ...
Maths Notes | Download Comprehensive Study Material PDf
Algebra, Geometry, and Trigonometry Notes | PDF | Trigonometric ...
6 Calculus Notes | PDF
Essential Math Concepts Overview | PDF
Calculus Handwritten Notes | PDF
Discrete Mathematics Notes | PDF
Basic Maths NOTES | PDF
Math Formula - Short Handwritten Notes [PDF]📚 | Math formulas, Math ...
CALCULUS Notes | PDF
[Handwritten Math Notes] Complete Trigonometry Notes and Formulas with ...
Algebra Notes PDF | PDF
Basic Calculus Notes and Activities PDF | PDF | Function (Mathematics ...
Calculus Notes | PDF | Numbers | Triangle Geometry
Basic Mathematics Short Notes | PDF
Multivariate Calculus Notes | PDF
Math Notes Template Set Student Pages Bundle Note Taking Graph Dot Grid ...
Free Math Notes Template For Google Docs
Math Formula - Short Handwritten Notes [PDF]📚 | Math formulas, Sets ...
Calculus Notes | PDF | Derivative | Function (Mathematics)
Basic Mathematics Notes 1 24 | PDF
Calculus Notes | PDF | Calculus | Integral
calculus notes | PDF
(PDF) Math notes | Elisa Muñoz - Academia.edu
Basic Math Principles Explained | PDF
Mathematics Notes | PDF
Basic Calculus - Notes | PDF
Maths Notes W-1 To W-4 | PDF | Numbers | Set (Mathematics)
Maths Notes | PDF
Basic Mathematics. Notes ? | PDF
Calculus Notes | PDF
Grade 5 Math Notes: Key Topics | PDF
Mathematics Short Notes-1 | PDF | Inequality (Mathematics) | Polynomial
Calculus cheat sheet.pdf | Lecture notes Calculus - Docsity
10 Printable PDF, Math Paper, Math Notes, Student Notes, Digital Note ...
Math_55a_Notes.pdf | PDF | Basis (Linear Algebra) | Field (Mathematics)
math-notes........................................ | PDF
Free Class Note Templates, Editable and Printable