Showing 23 of 23on this page. Filters & sort apply to loaded results; URL updates for sharing.23 of 23 on this page
State study finds PFAS in sewage sludge spread on NC farmland, with no ...
Sewage sludge: Officials fear waste from other communities threatens ...
Maine is tightening limits on “forever chemicals” in drinking water ...
Dragonberry Weed Could Help Scientists Extract Rare-Earth Metals From ...
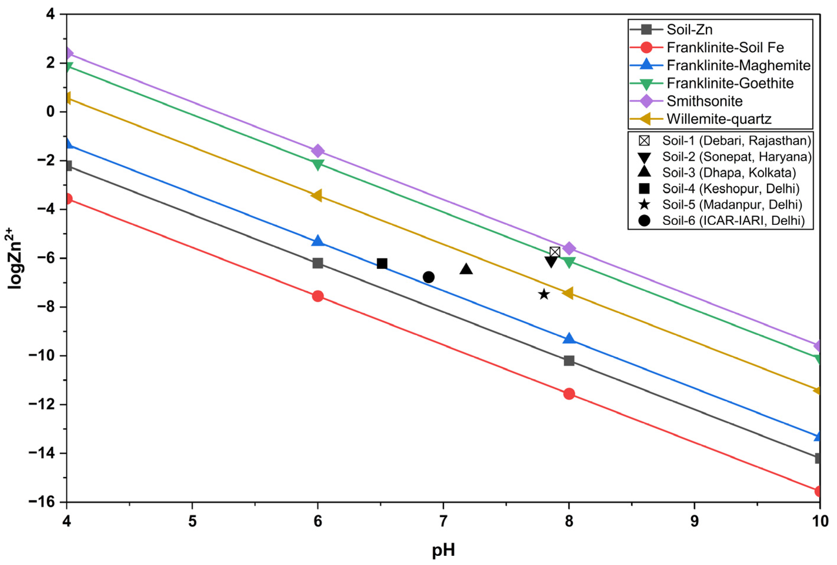
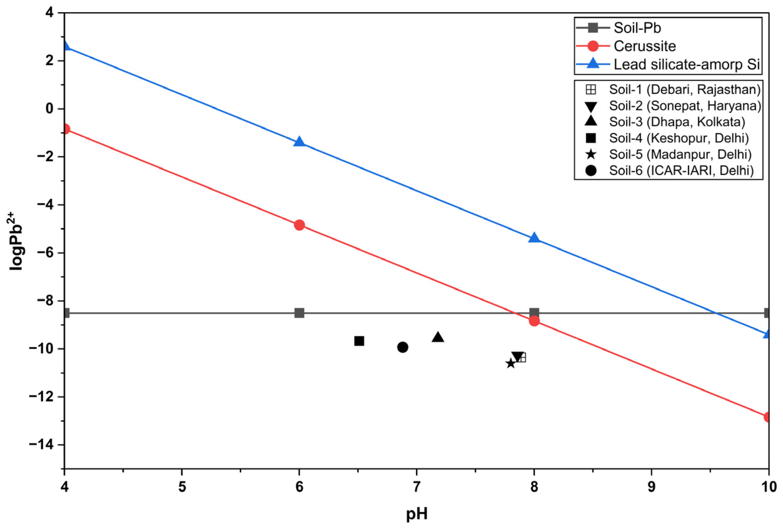
Prediction of Solid Mineral Phases Controlling the Solubility of Zn, Cd ...
Newsband - Inlet-outlet pipe civil work at DPS Lake begins
Do toxic algae blooms make COVID more deadly? Florida researchers ask
Page A6 | E‑Paper – The Post and Courier | Full Digital SC’s Top Newspaper
The UBA database – “Pharmaceuticals in the environment” | Umweltbundesamt
Performance Enhancement of Rice Bran Oil–based Transformer Fluid ...
Improved monitoring helps Bath Ales reduce consumption | Endress+Hauser
AGROLAB further expands certifications for environment and energy ...