Showing 120 of 120on this page. Filters & sort apply to loaded results; URL updates for sharing.120 of 120 on this page
SLC25A binding site isoform 1. Isoform 1 was represented as cartoons on ...
SLC25 family with energy metabolism and immunity in malignant tumors
The SLC25 Carrier Family: Important Transport Proteins in Mitochondrial ...
The SLC25 Mitochondrial Carrier Family: Structure and Mechanism: Trends ...
Physiological and pathological roles of mitochondrial SLC25 carriers - PMC
Preliminary investigation of mitochondrial solute carrier family 25 ...
SLC25A1 ensures metabolic crosstalk between mitochondria and cytosol ...
| Identification of SLC25A44 as a mitochondrial BCAA transporter. a ...
Mitochondrial SLC25 Carriers: Novel Targets for Cancer Therapy
The role of the mitochondrial outer membrane protein SLC25A46 in ...
SLC25A51 promotes tumor growth through sustaining mitochondria ...
SLC25A48 controls mitochondrial choline import and metabolism: Cell ...
(PDF) Mitochondrial carrier family inventory of Trypanosoma brucei ...
专家点评Protein & Cell | 杨崇林实验室揭示线粒体锌离子转运蛋白-云南大学生命科学学院
Characterization of SLC25A44 in thermogenic adipocytes a, Expression ...
MiR-421 reversed circCNST-induced SLC25A3 expression in OS cells. (A ...
SLC25A2 Gene - GeneCards | ORNT2 Protein | ORNT2 Antibody
Mitochondrial-derived compartments facilitate cellular adaptation to ...
Maestro of the SereNADe: SLC25A51 Orchestrates Mitochondrial NAD+ ...
Identification of a novel SLC25A42 variant in a patient with ...
(PDF) BCAA catabolism in brown fat controls energy homeostasis through ...
Identification of a new classification of mitochondrial solute carrier ...
Frontiers | Emerging Roles in the Biogenesis of Cytochrome c Oxidase ...
The mammalian phosphate carrier SLC25A3 is a mitochondrial copper ...
SLC25A22 as a Key Mitochondrial Transporter Against Ferroptosis by ...
PGC1 a links mitochondrial and lipogenic functions by inducing SLC25A1 ...
Roles of the mitochondrial citrate transporter SLC25A1 and the plasma ...
SLC25A47 is a liver-specific mitochondrial carrier that links to human ...
Full article: OPA1 and mitochondrial solute carriers in bioenergetic ...
Welcome to the Family: Identification of the NAD+ Transporter of Animal ...
An Overview of Mitochondrial Protein Defects in Neuromuscular Diseases
A Variant of SLC1A5 Is a Mitochondrial Glutamine Transporter for ...
Reversible modification of mitochondrial ADP/ATP translocases by paired ...
SLC25A32 promotes GBM cells proliferation (A-C) qRT-PCR was used to ...
Ability of mitochondrial carriers for cationic amino acids to transport ...
Mitochondrial Cristae Morphology Reflecting Metabolism, Superoxide ...
The membrane transporter SLC25A48 enables transport of choline into ...
The mitochondrial transporter SLC25A25 links ciliary TRPP2 signaling ...
(A) Phylogenetic tree based on the sequence alignment of the deduced ...
Characterization of Slc25a44-KD mice a, Generation of Slc25a44-KD mice ...
SLC25A46 levels regulate mitochondrial morphology. (a) SLC25A46 ...
The mitochondrial carrier SLC25A10 regulates cancer cell growth ...
20,000 picometers under the OMM: diving into the vastness of ...
Deficiency in SLC25A15, a hypoxia-responsive gene, promotes ...
Mitochondrial citrate carrier SLC25A1 is a dosage-dependent regulator ...
SLC25A46 localizes to the mitochondria with differential mutant protein ...
Deficiency in SLC25A1, Encoding the Mitochondrial Citrate Carrier ...
Mitochondrial SLC25 transporters. (A) Some mitochondrial transporters ...
OPA1-dependent cristae modulation is essential for cellular adaptation ...
Endoplasmic reticulum and Mitochondrial Proteins | Encyclopedia MDPI
Loss of the mitochondrial phosphate carrier SLC25A3 induces remodeling ...
Developing splice-switching oligonucleotides for urea cycle disorder ...
Schematic representation of the metabolomic pathway of amino acids ...
Diagrammatic presentation of the mitochondrial SLC25 transporter ...
Molecular Mechanisms of the SLC13A5 Gene Transcription
An Overview: The Diversified Role of Mitochondria in Cancer Metabolism
Amino Acid Transporter Enzyme at Philip Ayala blog
The Human SLC25A33 and SLC25A36 Genes of Solute Carrier Family 25 ...
(PDF) The mitochondrial citrate carrier, SLC25A1, drives stemness and ...
SLC25A51 is a mitochondrial protein that affects cellular NAD ...
Altered Slc25 family gene expression as markers of mitochondrial ...
Neurodegenerative Diseases Associated with Mutations in SLC25A46 ...
Solute carrier transporters: emerging central players in tumour ...
Slc25a32 mutations specifically affected the mitochondrial uptake of ...
The Role of Mitochondrial Solute Carriers SLC25 in Cancer Metabolic ...
In Silico Analysis of the Structural Dynamics and Substrate Recognition ...
Mitochondrial Proteostasis Requires Genes Encoded in a ...
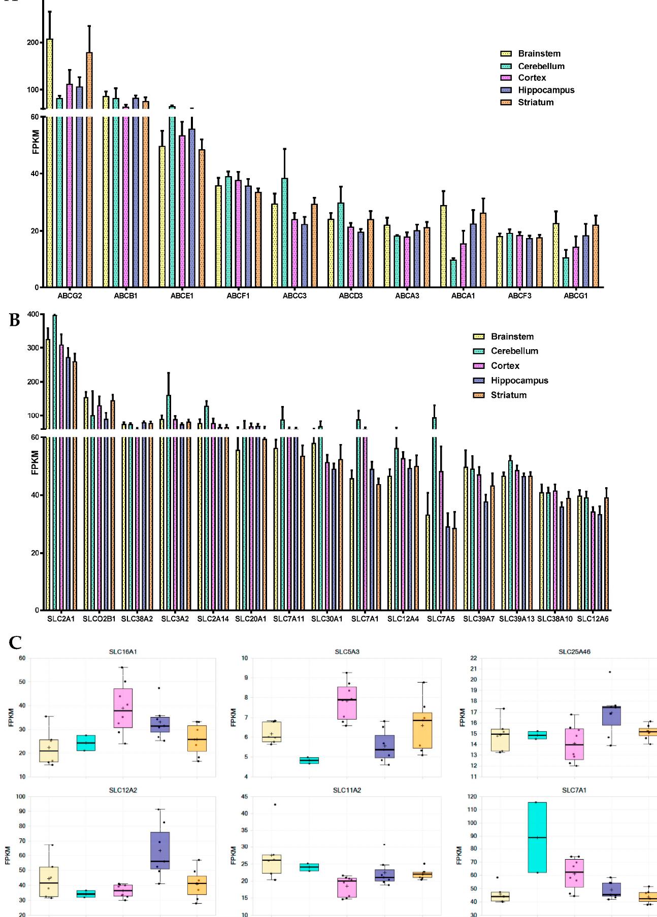
Differences in the mrna levels of abc and slc transporters
Functional effects of regulation of SLC25A21-AS1 in EOC cells ...
Heterogeneous Expression of Nuclear Encoded Mitochondrial Genes ...
Characterization of RNAs extracted from EVs isolated by SEC, exoEasy ...
(PDF) The Human Gene SLC25A29, of Solute Carrier Family 25, Encodes a ...
Human mitochondrial carriers of the SLC25 family function as monomers ...
(PDF) SLC25A51 is a mammalian mitochondrial NAD+ transporter
Mitochondrial choline import regulates purine nucleotide pools via ...