Showing 119 of 119on this page. Filters & sort apply to loaded results; URL updates for sharing.119 of 119 on this page
Quiz & Worksheet - Simple Random Samples | Study.com
Practice 13A - Worksheet on simple random samples - Consider the ...
Quiz & Worksheet - Stratified Random Samples | Study.com
Simple Random Samples - STRICKLER WMS
Worksheet 1.docx - Worksheet 1- Simple random sampling 1. What is a ...
Solved Simple Random Samples The most common form of a | Chegg.com
Solved Simple Random Samples Two methods of teaching reading | Chegg.com
Solved Two different simple random samples are drawn from | Chegg.com
Solved How many different simple random samples of size 5 | Chegg.com
Random Samples Worksheet | Digital by The Distracted Teacher | TPT
Solved 3. For the simple random samples generated in | Chegg.com
Random Sampling Worksheet by Taylor J's Math Materials | TPT
Simple Random Sample - 35+ IN PDF
Random Sampling Methods Worksheet - AP Statistics
Chapter 7 Sampling and Sampling Distributions Simple Random
Random Sampling Methods Worksheet
In-Depth Guide of Simple Random Sampling: Definition, Pros, Cons, and ...
Sampling and Sampling Distributions Simple Random Sampling Point
Random Samples Random Sampling: What's Efficient? | SAS Learning Post
Comparing Random Samples Worksheets Differentiated 7th Grade Math
Grade 7 Math Making Inferences from Random Samples 7.SP.2 Practice ...
Random Sampling - GCSE Maths - Steps, Examples & Worksheet - Worksheets ...
Simple Random Sampling Examples 3: Sampling
Understanding Random Sampling Independent Practice Worksheet Answer Key ...
Random Sampling Reading Worksheet w/Answer Key **Editable** | TPT
Free random sampling worksheet, Download Free random sampling worksheet ...
Simple Random Sample | Types of Sampling | Benefits and Limitations
Simple Random Sampling (Definition, Example)| Formula, Calculation
35+ Simple Random Sampling Examples to Download
Lesson: Simple Random Sample | Nagwa
Types Of Simple Random Sampling Technique
Simple Random Sampling - GeeksforGeeks
Lecture 6 Simple Random Sample | PDF | Estimator | Mean
Simple Random Sampling | PDF
Types Of Simple Random Sampling
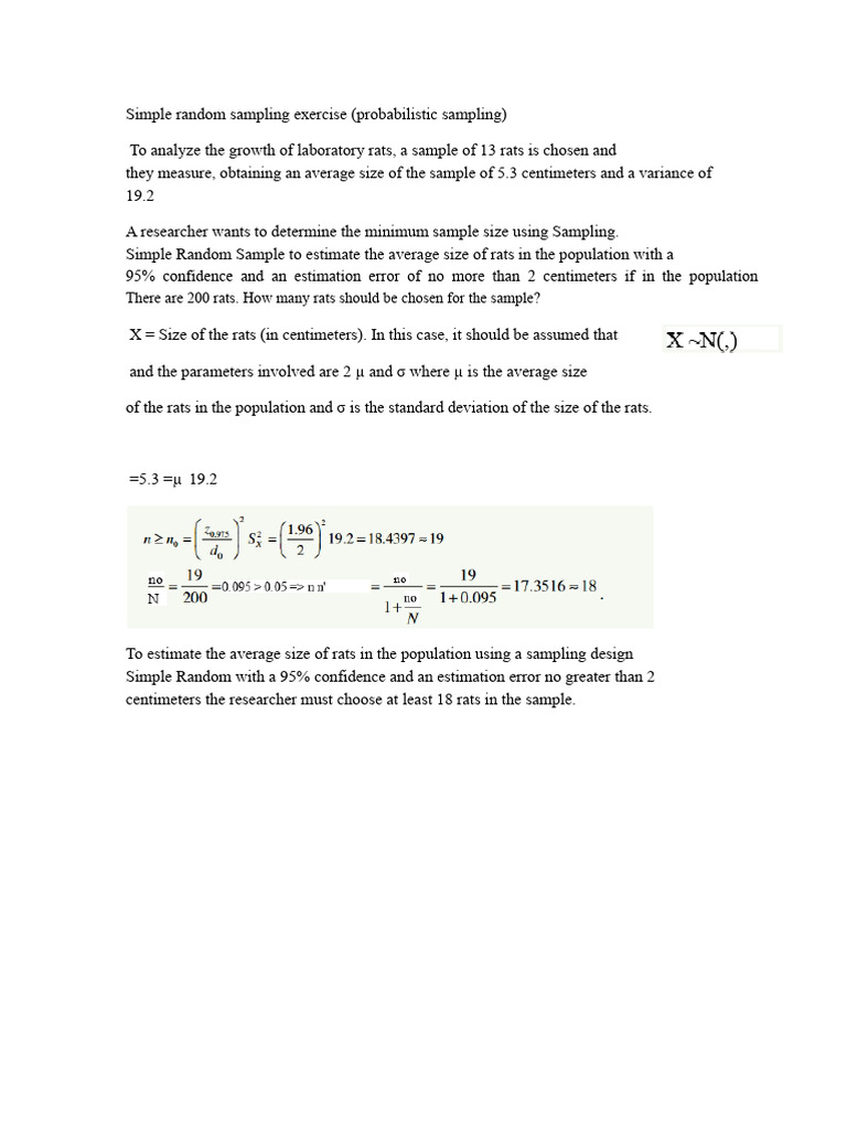
Simple Random Sampling Exercise | PDF
STAT 270 Worksheet.xlsx - Simple Random Sampling Excel has a simple ...
Random Samples Differentiated Worksheets by mrscasiasmath | TPT
Simple Random Sampling: 6 Basic Steps With Examples
Random and Biased Samples Worksheet: Practice Exercises and Solutions
Simple Random Sampling
Simple Random Sampling - Formula Sheet | PDF | Teaching Methods & Materials
Random Sampling Worksheet by Taylor J's Math Materials | TpT
Random Samples Activity1.pdf - Random Samples FOCUS POINTS 1. Explain ...
Simple Random Sampling Notes | PDF | Estimator | Statistical Theory
Simple Random Sample - Definition, Formula, Examples
Simple Random Sample - . a. What is a simple random sample? It is when ...
Simple Random Sample | PDF | Sampling (Statistics) | Probability And ...
1-2 Exercise Simple Random Sample 1 .docx - 1-2 Exercise: Simple Random ...
PPT - Chapter 4 Simple Random Sampling PowerPoint Presentation, free ...
EXERCISE: SIMPLE RANDOM SAMPLING STATISTICS AND DATA | Chegg.com
Simple Random Sampling - Types, Method and Examples
Guide: Simple Random Sampling (SRS) - Learn Lean Sigma
Solved *Simple Random Sample Simple Random Sample (SRS): Use | Chegg.com
Simple Random Sampling: 8 Steps With Examples
Simple random and systematic random sampling - Simple Random and ...
Example of simple random sampling - businesssere
random example Worksheet - WordMint
Types Of Random Samples
Document16.docx - 1-2 Exercise: Simple Random Sample 1. What is a ...
Answered A simple random sample of 12 students... bartleby.pdf - 2/22 ...
Simple Random Sampling - Exercises-1 | PDF
Solved (i) Simple random sampling Example Suppose there are | Chegg.com
Simple Random Sampling: Definition, Estimation, and Examples
Use random sampling to draw inferences about a population | 7th Grade ...
Random Sampling - Worksheets Library
Inferences and Random Sampling Worksheets Differentiated 7th Grade Math
Random Sampling Labor Day Themed Math Worksheets
Estimating Population Size with Random Sampling - Worksheets Library
Brilliant Info About How To Obtain A Random Sample - Makepanic42
Stratified Sampling Stratified Random Sampling: Definition, Method And
Worksheet | solver - Worksheets Library
Understanding Random Sampling online exercise for | Live Worksheets
Favorite Tips About How To Draw A Random Sample - Examinationvisual
Random worksheets by Kids Can Learn English | TPT
Use random sampling to draw inferences about a population | 7th ...
Stratified Sampling (A) Worksheet | PDF Printable Measurement ...
Random Sampling Data
Sampling Techniques Worksheet 1kly8ij - Worksheet: Statistics Name ...
Random: Sample Excel Worksheet | PDF | Teaching Methods & Materials
Random Sampling Activity
PPT - Chapter 7 Sampling and Sampling Distributions PowerPoint ...
PPT - Designing Studies PowerPoint Presentation, free download - ID:1524266
Sort By Grade - Worksheets Library
PPT - Chapter 1 Introduction to Statistics and Data Collection ...
PPT - Lecture 4 Outline: Tue, Sept 16 PowerPoint Presentation, free ...
PPT - Chapter 3 Producing Data PowerPoint Presentation, free download ...
ST3004: Research Methods Data Collection and Sampling - ppt download
PPT - Designing an Effective Statistical Study: Key Methods and ...
PPT - CHAPTER 8: Producing Data: Sampling PowerPoint Presentation, free ...
PPT - Chapter 7 PowerPoint Presentation, free download - ID:5748263
PPT - Sample Surveys PowerPoint Presentation, free download - ID:1649060
PPT - Chapter 12: Sample surveys PowerPoint Presentation, free download ...
Sampling School Populations - ArgoPrep - Worksheets Library
PPT - Chapter 1 Introduction to Statistics PowerPoint Presentation ...
Statistical Inference I - ppt download
1.2: Sampling Methods - Statistics LibreTexts
R Lessons – dataanalysisclassroom
PPT - Mastering Sampling Methods for Accurate Data Collection ...