Showing 120 of 120on this page. Filters & sort apply to loaded results; URL updates for sharing.120 of 120 on this page
The Nazaroo Zone: The So-Called "Proof" of the Shell Theorem
Newton's Shell Theorem Explained
PPT - Exploring Ellipses and Shell Theorem in Astronomy PowerPoint ...
The shell theorem | shell theorem derivation | imran abid - YouTube
Newton's Shell Theorem - YouTube
Shell Theorem and Gravitation - YouTube
Sir Isaac Newton Shell Theorem and the Topological Geometry of ...
Shell Theorem Of Gravitational Force | Basic Concepts - YouTube
A QUICK Proof of Shell Theorem in Under 3 Minutes! - YouTube
Shell theorem - Wikiwand
homework and exercises - Feynman's proof for Newton's shell theorem ...
Shell Theorem – FlatEarth.ws
Understanding the Shell Theorem and Gravitational Fields: A | Course Hero
Shell Theorem
(PDF) On Newton’s shell theorem
(Newton's) Shell theorem - Learn with yatharth
Gauss Theorem Numerical on Charged Spherical Shell Class-12 Nootan ISC ...
Shell Theorem | PDF
Shell theorem 0_{0}^{-}- Although Newton'slaw of Gravitation is Valid for..
Shell Theorem | Understanding Gravity
GRAVITATIONNewton's shell theorem. This theorem gives gravitational forc..
geometry - Understanding Newton's proof of the shell theorem ...
State Newton’s shell theorem for the gravitational force. – Discussion ...
Solved 1. The Shell Theorem is a statement about the | Chegg.com
Newton`s Shell Theorem
(PDF) The Shell Theorem Is Wrong
Scallop shell artist’s book that I made filled with scans of collected ...
Book - Introduction to Plate and Shell Theory (Gebraucht) in Rieden AG ...
SHell theorem for Newton haw of Q Find Gnowitational Force blw solid sphe..
Shell theorem - NUSH Astro
03.3: The Electric Field-The Shell Theorem - YouTube
Electrostatics 7 Shell Theorem - YouTube
Newton's Shell Theorem | Explained and Proved in HINDI - YouTube
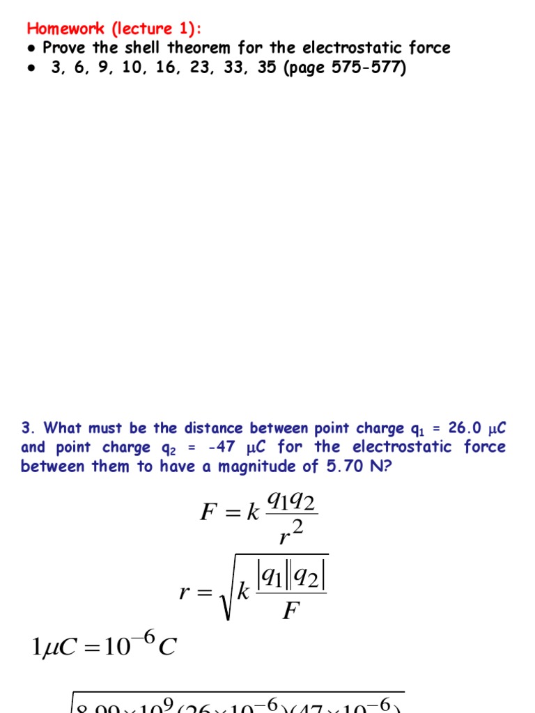
Prove The Shell Theorem For The Electrostatic Force 3, 6, 9, 10, 16, 23 ...
Newton’s Shell Theorem - YouTube
Lecture 2.7. Proof of Shell Theorem for points inside and outside the ...
Understanding the Shell Theorem and its Applications in Physics ...
Shell Theorem on Gravitation - YouTube
Gravitation |L5| Shell theorem gravitation class 11| sprinter institute ...
Shell theorem Gravitation | Formulas 🔥| JEE MAINS | NEET - YouTube
Electrostatics Challenge: Shell Theorem & Superposition Principle (JEE ...
Shell theorem gravitation class 11|Gravitation class 11|Gravitation ...
Shell Theorem of Newton: Why Earth is not point mass? | Science Snap
Shell Theorem for electrical forces - YouTube
Shell theorem - Alchetron, The Free Social Encyclopedia
Figure 1 from Shell theorem for spontaneous emission | Semantic Scholar
05 SHELL THEOREM ON LAW OF GRAVITATIONAL FORCE - YouTube
Is shell theorem (for electrostatics) valid for obtaining the potential ...
Shell Theory (Volume 29) (North-Holland Series in Applied Mathematics ...
ELECTROSTATICS C01 SHELL THEOREMS - YouTube
Introduction to Linear Shell Theory: Ciarlet, P. G.: 9782842990688 ...
Solved \#1: The Shell Theorem, part II. Consider the case of | Chegg.com
Theory of Shell Structures
INTRODUCTION TO PLATE AND SHELL THEORY by Turner, C. E.: Very Good Hard ...
SOLUTION: SHELL THEOREMS - Studypool
Shell theory of the nucleus : Feenberg, Eugene : Free Download, Borrow ...
Amazon.co.jp: Shell Theory of the Nucleus : Japanese Books
A generalization of the Shell Theorem. Electric potential of charged ...
Shell Structures: Theory and Application | Springer Nature Link ...
Shell Structures: Theory and Applications: Volume 3 - 1st Edition - Wo
Newton's shell theorem: geometry for the observation point outside the ...
Nuclear Shell Theory (Dover Books on Physics): de-Shalit, Amos, Talmi ...
The Shell Book: Lember, Barbara Hirsch: 9780395720301: Amazon.com: Books
Introduction to Plate and Shell Theory by Turner, C.E., Reader in ...
Shell Structures: Theory and Applications Volume 4 (ebook ...
Shell Theories | PDF | Teaching Methods & Materials | Science & Mathematics
Newton's shell theorem: geometry for the evaluation of the solid angle ...
(PDF) The Book of Shells
Shell Theory: Most Efficient Structure | PDF | Curvature | Sphere
Shell theory | PDF
Buy Fundamentals of the Analysis and Design of Shell Structures ...
Introduction To Shell Structures and Shell Theories | PDF
2 Membrane theory of shells of revolution | Shell structures in civil ...
(PDF) A generalization of the Shell Theorem.Electric potential of ...
Newton’s Shell Theorem| Electric Field due to Spherical Shell | Shell ...
Shell Theory: An Overview of Membrane and Bending Theories for ...
The Book of Shells: A Life-Size Guide to Identifying and Classifying ...
Shell theorem_word文档在线阅读与下载_免费文档
The Shell Handbook: Kenneth Wye: 9781906239671: Amazon.com: Books
Shell – BookXcess
Buy Introduction To The Theory Of Shells Book Online at Low Prices in ...
Solved Prove Newton's Shell Theorems for a uniform spherical | Chegg.com
The Shell Collector's Handbook: The Essential Field Guide for Exploring ...
Solved 3.4 [20 marks] Isaac Newton proved the Shell Theorem, | Chegg.com
Plate and Shell Structures | Wiley Online Books
Theory of Plates and Shells: Mcgrawhill Book Company | PDF | Bending ...
The Shell Book: Rogers, Julia Ellen: 9781019902745: Amazon.com: Books
mygolfball
PPT - Chapter 4 Gravitation PowerPoint Presentation, free download - ID ...
Theory of Shells (Volume 3) (Studies in Mathematics and its ...
Galactic Evolution: Story From Beginnings to Beyond | Science Snap
"Introduction to the Theory of Shells" by Clive L. Dym
[PDF] Introduction to the Theory of Shells by Clive L Dym ...
Amazon.com: Structural analysis of shells: 9780070033542: Baker, E. H ...
Flux Definition (fluid flow example) Gaussian Surfaces - ppt download
Theory of Plates and Shells (McGraw-Hill Classic Textbook Reissue) by ...
THEORY OF PLATES & SHELLS 2E : Stephan Timoshenko: Amazon.in: Books
2. Gravitation: Section 2 (Dynamics and Astrophysics of Galaxies)
A Bunch of Hydrogen - Galactic Spiral Structure (Part 1) - Dave Payne's ...
PPT - Chapter 14 Gravitation PowerPoint Presentation, free download ...
An Anthology of Shells by DK - Penguin Books Australia
The Theory of Plates and Shells (McGraw-Hill Classic Textbook Reissue ...