Showing 120 of 120on this page. Filters & sort apply to loaded results; URL updates for sharing.120 of 120 on this page
Session Notes Template & Example | Free PDF Download
Group Notes Template & Example | Free PDF Download
2018 CIGRE SESSION CONTRIBUTION TEMPLATE SLIDES Please use
Free Session Notes Template For Google Docs
1 One Way To Write Session Notes LCD 323 – Spring ppt download
Mental Health Session Notes Templates: Tips and Examples – Simply.Coach
Creating Objective Session Notes - CREATING OBJECTIVE SESSION NOTES ...
Attendance and Session Notes » Spark Tutoring/College Tutors of Indiana
Session Notes Template | Notes template, Templates, Notes
Session Notes Template - Detrester.com
Creating Effective Session Notes for Client Progress | Course Hero
Session Notes Templates Student Meeting School Counselor OneNote ...
Creating and Managing Session Notes
Session Notes Template with Examples - Heidi Health
Session Notes » CoachAccountable
Session Notes Freebie by Smartie Pants | Teachers Pay Teachers
How to Use Session Notes
Session Notes Printable PDF, for Therapists, Counselors, & Coaches, A4 ...
Session Notes Template by The Zillennial Social Worker | TpT
10 Essential Session Notes Examples for RBTs to Enhance Documentation ...
Session Notes by School Social Worker Lilly | TPT
Session Notes Template for Electronic Visit Verification Appointments
session notes template Doc Template | pdfFiller
Writing Effective Session Notes | Session Note Tips for Registered ...
Session Notes Template | Notes template, Education templates, Progress ...
Session notes form - jfjflu - SESSION NOTES ACTIVITY ☐Independent - Studocu
Verifying Appointments and Adding Session Notes
Session notes 1-5 - Session 5 Notes - Hi how are you - Last week - This ...
Defined Contribution Plan Example And How It Works - Admin316
Session Notes Template - Midi-box.com
How To Write Contribution In Project Report Example - Design Talk
Session Notes Template - Sfiveband.com
Contribution Margin Notes.docx - Contribution Margin Class Notes 1 ...
Session Note Format | PDF
Session Notes, Templates, Audits - Oh My! Using BST to Teach Accurate ...
Group member contribution form (1) - GROUP MEMBER CONTRIBUTION In group ...
Sample Accomplishment Report In Lac Session Topics
Create a Session Note from a Completed Form Quickly and Easily - YouTube
Group 2 report contribution - GROUP REPORT CONTRIBUTION Semester ...
Session Note Template
Editable Group Session Note Page for School Counseling
Free Special Contribution Notice HR Template to Edit Online
Session Note Templates
GROUP SESSION NOTE PAGE | EDITABLE | SCHOOL COUNSELING | TPT
Group Member Contribution Form for Project Assignment - Studocu
Creating a Session Note Template
FREE 33+ Contribution Form Samples in PDF | MS Word
How To: Create a Session Note Template
Assessment 3: Contribution Template: Meeting Records | PDF | Cognition ...
Session/Meeting Notes by SweetC Creative | TPT
What is a contribution? PhD Seminar Session | PPTX
Contribution Log - ASSESSMENT 2: Group Contribution Log URL for Group ...
Presentation Assessment Group Contribution Log Final - nu112 - MQ - Studocu
Statement of Contribution - In assignment 2b I did requirement ...
Group Session Note 2 .docx - Group Session Note Session # 1 &2 ...
My Contribution AlyssaSpina.docx - Individual Contribution Template In ...
Take care with contribution timing this financial year - AWT ...
Create Learner Session Note
Session Note by carlytheslp | TPT
Contributions Implementation Working Group Induction Process Workshop Notes
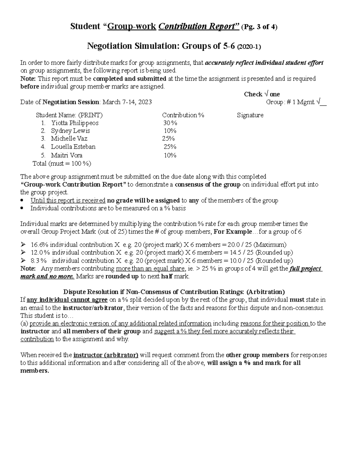
Group-work Contribution Report-1 - Student “Group-work Contribution ...
My Contribution document.docx - Individual Contribution Individual ...
PRESENTATIONS notes and score sheet and RUBRIC 1 .docx - PRESENTATIONS ...
SIT182 Group X Name Individual Contribution Template 1 .docx - NOTE ...
Cornell Notes Test 1 - HELPFUL - Taking Notes Topic - Social ...
How To Write an Annual Contribution Summary Letter
Thank You For Contribution
Coaching Session - Their input was invaluable as they pointed out areas ...
Thank You Notes For Wedding Gifts Templates - Templates.maexproit.com
Importing Session Note and Form Templates from our Library
Session Note – Just Counseling Things
PPT - Engagement Profile and Scale PowerPoint Presentation, free ...
How To Write Effective Coaching Notes: 5 Templates & Solutions
E Documentation and Reporting This training program is
CoachAccountable Knowledge Base
PPT - Introduction to SSHSP – Training Agenda PowerPoint Presentation ...
Free Class Note Templates, Editable and Printable
Unit 5.4 - Contributing your Own Work to a Group Project (Notes ...
[2025] Samples Of Short Thank You For Attending The Event / Meeting ...
Team Contributions Slide Template
Free Homeroom PTA Meeting Letter Template to Edit Online
Making a Timetable - Learning Indico
Documenting Your Contribution: Individual Project Template | Course Hero
11 Heartfelt Donation Thank You Note Examples – XCBUBJ
How SessionLab helps Cultivating Leadership streamline their workflow ...
FREE 8+ Sample Pledge Forms in PDF | MS Word
Thank You Letter For Organizing A Workshop at Zac Ayers blog
Contribution-Report 4members-rev2 W2016 - Strategic Human Resources ...