Showing 95 of 95on this page. Filters & sort apply to loaded results; URL updates for sharing.95 of 95 on this page
Selection Sort | C Programming Example - YouTube
Selection Sort | C | C++ | Algorithm | Example | Program - YouTube
Selection Sort in C | Selection Sort Example In C | Edureka
C Program for Selection Sort
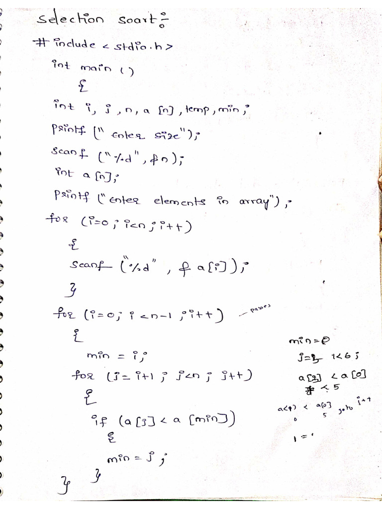
C Program: Selection sort algorithm - w3resource
Programming Tutorials: Selection Sort Program in C , C++ - Sorting ...
Selection Sort in C++: Example & Advantages (with code)
C Program for Selection Sort - GeeksforGeeks
Selection Sort in C | Scaler Topics
Selection Sort in C - Naukri Code 360
Selection Sort Algorithm In C / C++ With Program Examples
Selection sort in C | How Selection sort works in C? ( Examples)
Selection Sort C Program - YouTube
Selection Sort Program in C | Code | Video Tutorial
selection sort in c
Selection Sort in C with Explanation | Algorithm, Program and Time ...
Learn how to sort data in C programming using selection sorting algorithm.
Selection sort in C
SOLUTION: Selection sort in c language - Studypool
Selection Sort in C | Selection Sort Example, Algorithm & Program Code
C - Selection sort program in C (With Algorithm) - QA With Experts
Selection sort with C Program - YouTube
Selection Sort Program with Tracing || Selection Sort Program in C ...
14.2. Selection Sort — Snefru: Learning Programming with C
Selection Sort in C & C++ – Program & Algorithm - Studocu
Selection Sort in C: The C Program for Selection Sort
Selection Sort - in C Programming | PDF
selection sort program in c | sorting array in ascending order - YouTube
I Built a Selection Sort Program in C - Then I Tried Using It - YouTube
Selection Sort in C | PDF
Selection Sort in C++ programming language | PrepInsta
C# - Selection sort
Selection Sort (With Code in Python/C++/Java/C)
Selection Sort Algorithm C++ Code in Data Structures | Part -2 | DSA ...
Selection Sort Algorithm in C# - YouTube
C++ Selection Sort Program - YouTube
What Is Selection Sort Algorithm? Explained With Examples // Unstop
Selection Sort in C++ | Examples to Implement Selection Sort in C++
Selection Sort In C++ With Examples
C Program For Selection Sort: Explanation & Step-by-Step Guide
C++ Program For Selection Sort - GeeksforGeeks
Selection sort in C\C++ (Algorithm, Pseudocode and complexity ...
Selection Sort In C, C++, Java, Python With Examples
Selection sorting algorithm with example in C/C++/Java programming
Selection Sort - GeeksforGeeks
How to write code for Selection Sort in C? - YouTube
Selection Sort Code for C++ ~ Electrical and Electronics Projects
C++ Program for Selection Sort
C++ Program For Selection Sort Using Function
Selection Sort in C++ Programming | Dremendo
Selection Sort in C# : Learn the Basics
C++ Programming: Selection sort in C++
using selection sort algorithm in c++ Archives - Electronic Clinic
2 different C++ programs to implement selection sort - CodeVsColor
C++ Program To Implement Selection Sort
An alternative way of performing Selection sort in C++ - Studocu
Selection sort Technique in C++
C++ Selection Sort Algorithm Code Snippet
C++ Program to Implement Selection Sort-Scaler Topics
Introduction To Sorting Techniques In C++
C/C++ flow chart - selectionsort.c
C++ Program To Merge Two Arrays In Ascending Order 11+ Pages Solution ...
AlgoDaily - A Sorting Algorithms Cheat Sheet
The new Epic Games Store Savings Sale offers discounts of up to 95% on ...
Auctions: Steel Patek Philippe 1518 Sells For $17.6 Million, Highest ...
Second hand Gas - Joli Closet
Steel Anchors - B+BTec Tools
[Official][1.12.2]Modern Weapons Pack - Flan's Mod
2023 Ferrari 812 GTS for sale at Envy Auto Group - CLASSIC.COM
1965 Chevrolet Impala SS for sale at Gateway Classic Cars - Scottsdale ...