Showing 120 of 120on this page. Filters & sort apply to loaded results; URL updates for sharing.120 of 120 on this page
Example of the Script Concordance Test Scoring System | Download Table
Scoring a Script Example | OER Commons
Scoring Script | PDF | Cognitive Science
Scoring Methods in Script Concordance Tests: An Exploratory ...
Scoring The Script | PDF
Scoring the Script Worksheet: Stanislavski Style Scene Study - Studocu
A Reader's Notes On Script Scoring - Stage 32
Script Scoring - Admin Law - Studocu
Scoring a Script Scoring your script for success
Script Analysis and Scoring Techniques for Scene Development | Course Hero
How can we Generate Unit Tests - Part 2: Building Scoring Script ...
Example of scoring 10 dialogue scripts. | Download Scientific Diagram
Scoring Script Using Beats.ppt - Scoring a Script Scoring your script ...
Acting Basics: Script Scoring - YouTube
AP Seminar High Scoring IMP Sample Presentation | Script + Oral Defense ...
Script Scoring Lesson by Canva Creations | TPT
HOW TO LOG IN RUN FUNCTION OF SCORING SCRIPT ON AML - Microsoft Q&A
kubernetes - Azure ML scoring script deployment to azure arc K8s ...
Monologue Scoring a Script - Scoring a Script Rationale: Scoring a ...
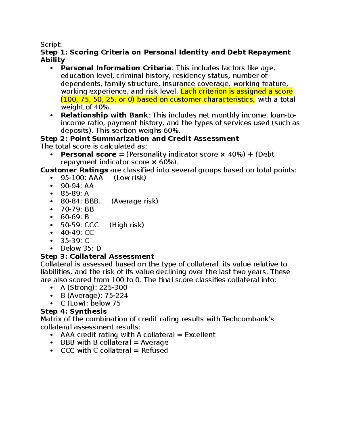
Script - business - Script: Step 1: Scoring Criteria on Personal ...
Reader's Theater Scoring Rubric - Reading Literacy Assessment - Any Script
I made a scoring script for drifting but I don't know how to evaluate ...
Example of Two-Column Script | PPTX
Test Script for Blackjack Scorer: Blackjack Scoring Function | Course Hero
PPT - Writing a Script PowerPoint Presentation, free download - ID:2833647
Scoring a Script: Understanding Character Objectives and Tactics - Studocu
BEATS AND SCORING BEATS IN SCRIPTS & MONOLOGUES ...
Be The Teacher: Scoring a Scene | How to memorize things, Teaching ...
Scoring Scripts - YouTube
How to Score a Script by Curtain Up Creations | TPT
Creating Dynamic Dialogue: A Script Analysis Guide to Compelling ...
Script Writing Rubric - Scriptwriting Rubric SCORE Conventions ...
Scoring the Script: Part 1 | Art, Theatre Arts, Drama | ShowMe
Author scoring scripts for batch deployments - Azure Machine Learning ...
Rules for writing scripts used for scoring
How to Break down a Script (with FREE Script Breakdown Sheet)
Score Script - YouTube
How to Integrate Your Script and Score | MusicalWriters.com
Scoring Scripts & GitHub – Naviter.com
Using a scoring scheme to identify the "gold standard" reasoning by ...
World-Class Script Coverage Services | by Industrial Scripts®
Scoring sheet | PDF
What Is Test Script In Software Testing - Free Math Worksheet Printable
Criteria for Grading the Script - Criteria for Grading the SCRIPT 4 3 2 ...
How-to Prepare for a Sporting Event: Creating a Game Script
Script Analysis 101: How to Score a Script
Script Score vs. Script Analysis. Discover the main differences between ...
2020 NSPC Guidelines for TV Script Writing and Broadcasting - TeacherPH
From Song to Stage: How to Write a Musical Script - Celtx Blog
How to Write a Video Script [Template + Video] - Blog
Script Definition Music at Nancy Hickman blog
Mastering Theatrical Script Formatting: A Creative Guide | Course Hero
StoryFit's Script Analysis Breaks Down Famous Screenplays - StoryFit
Test Script Template
Soccer Football Live Score Script | Codester
Readers' Theater Scoring Rubric - Reader's Theater in the Elementary ...
Happy Blackboards: Anti-Thematic Script Analysis, or How to Teach ...
Screenplay Format - Format your script by industry standard ...
8 Video Script Templates for All Types of Videos | Free Download
How to fix ERROR: "message": "An unexpected error occurred in scoring ...
Painstaking Lessons Of Info About How To Write A Play Script Format ...
preparing_a_monologue_and_scene - BEATS AND SCORING BEATS IN SCRIPTS ...
Structure Of A Movie Script 60 Photos - Moonagedaydream.film
Action song competition scoring sheet | DOCX
Script Printable - Printable Kids Activities
2020 NSPC SCORE SHEET FOR RADIO SCRIPT WRITING AND BROADCASTING ...
Scoring Your Script: An Actor’s Manual | Public profile, Acting, It cast
From Script To Score: Crafting The Essence Of A Great Film
Film Scoring 101. Meaning, Types, Techniques, and Examples. - FilmDaft
Stage Play Script Format Rewriting The Script: The Impact Of The
2020 NSPC Guidelines for Radio Script Writing & Broadcasting Contest ...
PPT - Theatre I PowerPoint Presentation, free download - ID:2330167
How to Score a Script? - YouTube
Getting Started: Writing a Musical | MusicalWriters.com
Ultimate Guide to Stage Direction
Using Test Cycles for Data-Driven Testing | General Testing Articles ...
Final-PPTX-EGRA-Scoring.pptx
Staging Score — Stage Write
Success Page Scripts and Helpful Hints - Formsite
Articles
Guide to Writing a Screenplay in Nine Steps
🚀 Serving MLflow Models on Azure ML: Deploy with Online Endpoints and ...
Building Screenplay Structure | Final Draft®
resources | NewMusicalsInc
Guides, Worksheets & Templates for Writing Musicals | MusicalWriters.com
Movie Screenplay Examples SCREENPLAY FORMAT: Action And Dialogue
The Stage Manager's Toolkit
How Data Can Help You Write A Better Screenplay | FiveThirtyEight
How To Format A Stage Play Script? - Broadway Behind The Curtain - YouTube
Quia - Class Page - actingchap4
PPT - METHOD ACTING PowerPoint Presentation, free download - ID:7024348
Dance score sheet | DOCX
Printable Judges Score Sheet Template - Printable Computer Tools
Free Scorecard Sheet Templates, Editable and Printable
How to Create Score Sheets for Dance Auditions of Multiple Ages & Skill ...
Your Complete Audio Post-Production Workflow Guide - MASV
(PDF) Experimenting with a computer essay-scoring program based on ESL ...
Downloads 1520358064 Drama Scoresheet | PDF
15 Screenplay Examples From Each Genre to Download for Free