Showing 120 of 120on this page. Filters & sort apply to loaded results; URL updates for sharing.120 of 120 on this page
SCBF with all HSS members | Eng-Tips
a) Schematic of the numerical model for six-storey SCBF with ...
SCBF Y-direction second-story shear versus SDR, Frame 1: (a) story ...
How To check SCBF columns for Amplified forces (Ω0=2) In ETABS (SCBF ...
a) Schematic of the numerical model for six-storey SCBF b) Leaning ...
How To Control Braces in SCBF framing Type? (part 04) - YouTube
The three-story SCBF shown below forms the part of | Chegg.com
RISA | SCBF Seismic Brace Connections
Near-field tension loading protocol developed by Fell et al (2006) and ...
Reliability index for SCBF members: (a) braces due to axial load; and ...
SCBF on LinkedIn: #newwebsite #expandedfeatures #rebranding #newlogo # ...
Effect of SCBF on Marshall stability. | Download Scientific Diagram
SCBF - Intersection of Bracing | Eng-Tips
SCBF stands for Spinal Cord Blood Flow | Abbreviation Finder
SCBF (Swiss Capacity Building Facility) - Israeli Other | Startup ...
Ocbf and SCBF Earthquake Loads As Per Is 800 925 | PDF | Fracture ...
5-storey SCBF elevation view with chevron braces | Download Scientific ...
RISA | OCBF & SCBF Seismic Brace Connections now Available
SCBF elevations for the 9 and 12 story | Download Scientific Diagram
Near-field compression loading protocol developed by Fell et al (2006 ...
SCBF Swiss Capacity Building Facility - YouTube
The system model for using SCBF for traffic measurement. | Download ...
Support SCBF structure with storage steel tank—position of the latter ...
SCBF Design and Bracing Connections | PDF | Beam (Structure) | Solid ...
SCBF Brace-to-Beam/Column Connection Design with 2tp linear clearance ...
SCBF during 5 min of TENS stimulation. SCBF measured for 20 s before ...
SCBF has a new logo & visual identity! | Dana Ellis
Jobs at SCBF - Swiss Capacity Building Facility
SCBF - Special Concentrically Braced Frame in Medical & Science by ...
Comparison of SCBF and FA with and without pruning. The left graph ...
Reliability index for SCBF members considering reverse fault ground ...
벌크헤드 피메일 커넥터 SCBF | 주식회사 피팅코리아
SCBF Parallel | PDF | Buckling | Beam (Structure)
SCBF during 15 min of TENS stimulation. SCBF measured for 20 s before ...
Effect of adding SCBF on VFB. | Download Scientific Diagram
IDA results for the SCBF structure, along with median and 16th/84th ...
7 Steel - SCBF - Design PDF | PDF | Buckling | Deformation (Engineering)
SCBF response as recorded by target-tracking DIC | Download Scientific ...
Values and variations of SCBF and SCRO with different sampling ...
HSS Connection Solutions under Seismic Loading – for Braced Frames ...
Figure A-3 for the case of the SCBF where it is seen that the values of ...
(PDF) Reliability Analysis of Steel SMRF and SCBF Structures ...
SCBF Over Moment Frame | Eng-Tips
Design and Analysis of steel lateral load resisting systems (SMRF, SCBF ...
Typical SCBF test specimen and shake table test setup at UNR | Download ...
Effect of τ on the SCF distribution due to in-plane bending loading ...
SCBF supports #financialinnovators with #patientcapital, partnering ...
Effect of SCBF on Marshall stiffness. | Download Scientific Diagram
SOLUTION: Scbf ibc - Studypool
Figure 4 from STUDY OF SEISMIC BEHAVIOR OF SCBF WITH “ BALANCED BRACING ...
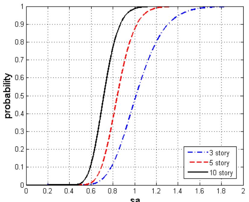
Fragility curves at cp level for scbf system seismic
Figure 3 from STUDY OF SEISMIC BEHAVIOR OF SCBF WITH “ BALANCED BRACING ...
Different loading configurations that simulate mixed mode I/II for ...
Effect of SCBF on flow. | Download Scientific Diagram
PPT - Seismic of Older Concentrically Braced Frames PowerPoint ...
Optimally designed 10-story SCBFs | Download Scientific Diagram
Connection details: (a) connection and field splice of beam at shared ...
Hysteretic curves of the specimens: (a) SXBF and (b) SCBF. | Download ...
Specimen photographs: (a) SCBF; (b) BRBF | Download Scientific Diagram
-Different types of connections in SCBF. | Download Scientific Diagram
Characteristics and details of single-bay two-story SCBFs. | Download ...
RISA | Calculation of Forces in Seismic Brace Connections
AISC+341 05+Column+Splices+ +SCBF+Column | PDF | Buckling | Structural Load
Building plan views: (a) all SMRFs; (b) 3-story and 6-story SCBF; and ...
A Technique for Optimizing the Sequences Yielding under Load of ...
Seismic Vertical Brace Connections
| The alteration of instant spinal cord blood flow (SCBF) and oxygen ...
Performances of SCBF. The first two graphs show performances of SCBFwP ...
Changes of variables in different stages of SCBF. | Download Scientific ...
Nonlinear pushover analysis for 4 -story archetype: (a) BRB building ...
Triangular Rail Type at Jesse Oliver blog
Performances of stochastic channel-based federated learning (SCBF ...
Regional spinal cord blood flow (SCBF) at baseline, immediately after ...
GitHub - EBakhshivand/SMF-SCBF-dual-system: Seismic Design Procedure of ...
Structural - Special Concentric Braced Frame (SCBF) Connections in High ...
Regional spinal cord blood flow (SCBF) was determined using fluorescent ...
Buckling restrained braced frames | PPTX
Smart Braced Frame
Analytical Evaluation of Cross-Cable Self-Centering Concentrically ...
Frontiers | Influence of the Brace Configurations on the Seismic ...
(PDF) Buckling Restrained Braced Frame (BRBF) Structures: Analysis ...
a) Schematic of numerical model for six-storey SCBF. b) Leaning column ...
Review on Structural Performance of Braced Steel Sturtures Under ...
¿Qué significa SCBF?
AISC Seismic Steel Connection Design http://asp.civilbay.com/connect ...
Steel Seismic Force Systems Guide | PDF | Buckling | Deformation ...
Understanding SCBF: Frameworks and Regulations | Tunley Environmental
PPT - Changes to the 2010 AISC Seismic Provisions PowerPoint ...
System efficiency | Swiss Re
Schematic of the stochastic channel-based federated learning (SCBF ...
AISC SDM-SCBF Connection Example | PDF
SCFB working principle - YouTube