Showing 115 of 115on this page. Filters & sort apply to loaded results; URL updates for sharing.115 of 115 on this page
SAT Math Notes | Triangle | Fraction (Mathematics)
Sat math tutor math study notes – Artofit
SAT Math Notes - Academic Fitness NW
SAT Math Notes
Sat Math Study Notes
Beautiful hand drawn SAT math notes! | Studying math, Sat math, Study notes
SAT Math Notes | PDF | Inequality (Mathematics) | Mathematics
Math SAT Summary Notes - Jamie York Press
SOLUTION: Sat math notes - Studypool
SAT Math Notes | PDF
Sat Math Notes - References | PDF
Sat Math Notes | PDF | Mathematics | Algebra
Sat Math Notes | PDF
A Guide to SAT Math - Math notes in detail - A Guide to SAT Math by ...
SOLUTION: Essential sat math study notes v1 3 - Studypool
Sat math notes jajjajajajajajajajajjkakakakakakakkakaka - SAT Math Prep ...
Math - Math Diagnostic - Page 1 SAT Math Notes By Steve Baba, Ph. 2008 ...
SAT Math Study Notes | Academic Fitness NW | Studying math, Sat math ...
Panda Workbook L1213 Sat Math Notes - PDFCOFFEE.COM
Sat math study notes – Artofit
Essential SAT Math Notes: Complete Guide to Acing the Math Section ...
3_sat Math Notes Print | PDF
Sat Notes Pdf - Fill Online, Printable, Fillable, Blank | pdfFiller
SAT Mathematics Notes Chapter 1 | PDF
Essential SAT Math Notes, Guide And Facts
SAT Math Section Formulas: Key Concepts on Numbers, Sequences, and More ...
Quick Guide on SAT Math Section with Topics and Practice
SAT Math Cheatsheet: Essential Formulas and Strategies | Leverage Edu
Official SAT Study Guide_ About the SAT Math Test | Quizzes Mathematics ...
The Ultimate SAT Math Formula Sheet to Boost Your Score Fast ...
Free SAT Math Notes: Number and Operations Topics by Paul Raymond
SAT Math Topics Breakdown: What Math is on the SAT?
Here’s What You Need to Know About the SAT Math Section - Test Innovators
More sat math notes! These include percent, radicals, exponents, and ...
SOLUTION: Sat math summary - Studypool
Best 12 SAT NOTES – Artofit
SAT math study guide - Summary Mathematics - Pay attention to graphs ...
3 Quick Strategies to Help in the SAT Math Section - i2i Education
SAT Notes: Math Resources for Studying Triangles and Angles
SAT MATH SAT MATH SAT MATH | Exams Mathematics | Docsity
SAT Math Practice Problems and Solutions (ID: 10 med math) - Studocu
DSAT P1 M3 - Practice Questions for SAT Math - Studocu
DSAT P1 M2 - Practice Problems and Solutions for SAT Math - Studocu
DSAT P1 M1 - Practice Problems for SAT Math - Studocu
Vocabulary - Math Formulas for SAT Prep (Course Code: 10) - Studocu
SAT Practice TEST 01 Math Module 02: Important Skills & Questions - Studocu
Vocabulary - Math Formulas for SAT Prep (Course Code: 18) - Studocu
SAT Practice TEST 01 Math Module 1: Important Skills & Questions - Studocu
Vocabulary - Math Formulas for SAT Prep (Edition: 4 Weeks) - Studocu
2021 SACE Stage 2 Math Methods SAT 3: Integration & Applications - Studocu
What Kind of Math is On the SAT? - PrepMaven
Preliminary SAT Advanced Mock Test – Digital PSAT Practice Questions ...
SAT Practice Test 10 With Answer Key - PDF Download
Ib Math Exam Formula Booklet Ch 1 Physics Class 12 » Respectnegative15
2026 Differential Calculus Methods Revision Notes - Studocu
Hammad A., Patient & Qualified Math Tutor | Algebra, Geometry ...
Ib Math Formula Sheet Chemical Formulas List For Class 9
Vocabulary - Math Formulas 11: Enhance Your Ivy League Lexicon - Studocu
JRMF Math Festival at Hercules Library Hercules Library Tickets - 07/25 ...
Derivation Lens Maker Formula Sat Physics Equation Sheet
WX5P0107 SAT Practice Test 9: Digital Format Reading & Writing Module ...
May 2025 SAT Practice Test - Full Version - Studocu
Chiikawa Study Planner A5: Weekly Time Block for IELTS, SNBT, SAT - Studocu
SAT Suite Question Bank - Geometry and Measurement Problems - Studocu
Physics Motion Formulas For Class 9 Wallah Notes Pdf 12
Pin by Mireisy Torres on PA | Life hacks for school, High school ...
SAT® Practice Test# 8 - PDF Download
Comment 'SAT' for 1-1 classes with me. In this lesson we practice Digi ...
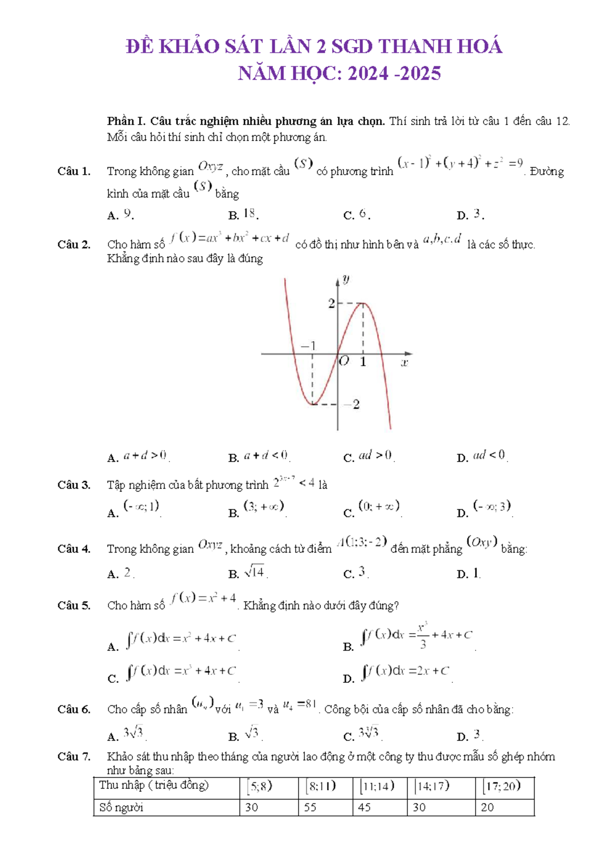
ĐỀ KHẢO SÁT LẦN 2 SGD THANH HOÁ NĂM HỌC 2024 - MÔN TOÁN - Studocu
Sat® Bubble Sheets : Cutting-edge tools for test-prep tutors & their ...
Đề thi khảo sát Tiếng Anh vào lớp 6 - 2023-2024 - Yên Lạc - Vĩnh Phúc ...
SAT編|STAND WITH
Best ChatGPT Prompts (2025): 101 Copy‑Paste Templates – HeLovesMath
Mathematics Form 5 Formula List Firework Chemical Equation
Gooning Note🥶🥶🥶 | Facebook