Showing 120 of 120on this page. Filters & sort apply to loaded results; URL updates for sharing.120 of 120 on this page
Consider the Following Which Two Structures Represent the Same Compound
SOLVED: Which of the following structures represent the same compound ...
SOLVED: Classify the following pair of compounds as the same compound ...
SOLVED: Classify the following pair as the same compound enantiomers ...
Which structural formulas represent the same compound and ...
The structures shown below are: A) one and the same compound B ...
Why are these the same compound and not constitutional isomers? : r ...
Which of the Following Structures Represent the Same Compound - Edward ...
Solved Do the two structures in each set describe the same | Chegg.com
Do the line-angle formula in each of the below pairs represent the same ...
Solved Classify the pair of compounds as the same compound, | Chegg.com
A Brief Guide to Types of Isomerism in Organic Chemistry | Compound ...
Classify the pair of compounds as the same compound, | Chegg.com
Difference Between a Molecule and Compound Made Simple | YourDictionary
[Solved] Which of the pictured structures are the same compound? A B C ...
Solved Classify the following pair of compounds as the same | Chegg.com
Classify the following pair of compounds as the same | Chegg.com
Solved The two structures below represent the same compound. | Chegg.com
Answered: The compounds are: O the same compound… | bartleby
Solved which of the following structures represent the same | Chegg.com
Which of the following structures represent the same compound? Wh ...
SOLVED: H The compounds shown are: A.Constitutional isomers B.The same ...
Solved Which of these structures represent the same | Chegg.com
Enantiomers, Diastereomers, Identical or Constitutional Isomers ...
PPT - Quick Guide to Organic Nomenclature PowerPoint Presentation, free ...
Stereochemistry.Isomers are different compounds - презентация онлайн
SOLVED: Consider each pair of compounds below and determine whether the ...
SOLVED:For each pair of compounds below, determine whether they are ...
Solved Identify the relationship between the following two | Chegg.com
SOLVED:In each of the following sets, which structures represent the ...
Correct. Determine the relationship between the two compounds: OH ...
Identify the relationship in the given pair. Do the compounds represent ...
Identify the following pairs of compounds as one of the following: A ...
SOLVED: Classify the following pairs of structures as resonance forms ...
Compare the two structural formulas in each set. Do they represent the ...
SOLVED: Indicate whether the pair of structures shown represent ...
Solved Which of the following terms best describes the pair | Chegg.com
Solved Indicate whether the pair of structures shown | Chegg.com
indicate whether the pair of structures shown represent stereoisomers ...
Indicate whether the pair of structures shown represent stereoisomers ...
SOLVED: Compare the two structural formulas in each set. Do they ...
SOLVED: Compare the two structural formulas in each set: Do they ...
identify the relation between these two compounds identical compounds ...
3.1: Types of Chemical Compounds and their Formulas - Chemistry LibreTexts
SOLVED: Identify the relationship between the following two structures ...
SOLVED: For the following pair of compounds, identify whether the ...
Solved Sort the following pairs based on whether they | Chegg.com
Types of Isomers: Constitutional, Stereoisomers, Enantiomers, and ...
PPT - Organic Compounds PowerPoint Presentation, free download - ID:3106115
All about Homolog and Isomer! – ChemSimplified
SOLVED: Question 31 For the following pair of compounds, determine the ...
For each pair of compounds below determine whether they are...
Determine whether the given pair of molecules represent constitutional ...
PPT - Stereochemistry and conformations PowerPoint Presentation, free ...
The two compounds below are: H .. .. H-C-O-N=O and H .. .. H + C=O-N=O ...
4 consider each pair of structural formulas that follow and state ...
for the following pair of compounds identify whether the compounds are ...
Enantiomers vs Diastereomers vs The Same? Two Methods For Solving Problems
SOLVED: Identify the relationship in the following pair: Do the ...
Indicate whether the pair of structures shown | Chegg.com
determine how the following pairs of compounds are related are thev ...
SOLVED: Indicate whether the pair - of structures shown represent ...
SOLVED: QUESTION What is the relationship between the following ...
Solved What is the relationship between these two compounds | Chegg.com
Solved What is the relationship between the following | Chegg.com
SOLVED: Indicate Whether the pair Of structures Shown represent ...
SOLVED: Question 5 point What is true about the relationship between ...
SOLVED: 2 pts Question 12 Which of the following terms best describes ...
The following Newman projections represent which of the following. a ...
Isomers: The Arrangement of Atoms in Space University of California ...
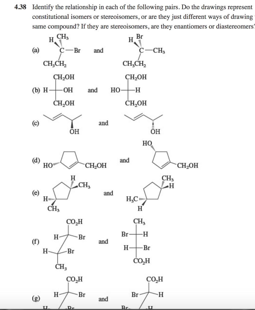
Solved Identify the relationship in each of the following | Chegg.com
Solved Indicate whether the pair of structures | Chegg.com
17. What is the relationship between the two molecules shown below? CIH ...
SOLVED: For each pair of compounds below, determine whether they are ...
Consider the following pairs of structrue. Identify the relationship ...
Text: Classify each pair of compounds as constitutional isomers ...
Solved Establish the relationship between the two compounds | Chegg.com
SOLVED: Question 8 What is the relationship between the following ...
SOLVED: What is the stereochemical relationship between the compounds ...
[Solved] 3. For each pair of compounds, determine if they are ...
constitutional isomers problem do the structural formulas in each set ...
Solved Choose the relationship between these two compounds. | Chegg.com
determine the relationship between the two compounds constitutional ...
SOLVED: Question 11 4 pts Which of the following terms best describes ...
Solved For the pair of compounds below, determine whether | Chegg.com
Solved 1. Give the stereochemical relationship between each | Chegg.com
PPT - 4. Organic Compounds: Cycloalkanes and their Stereochemistry ...
14 classify each pair of compounds as constitutional isomers ...
Chapter 2: Isomers Flashcards | Quizlet
SOLVED: Determine the relationship between the two drawings ...