Showing 91 of 91on this page. Filters & sort apply to loaded results; URL updates for sharing.91 of 91 on this page
Schematic of NEO-DFT self-consistent loop procedures. The proton SCF ...
ShiAlchemy: SCF Loop in Quantum Espresso
General layout of the SCF loop type reactor and the measuring range of ...
General Layout of the SCF loop type reactor. | Download Scientific Diagram
The dc-link current under SCF for open loop system for (a) 1 / 3 D ...
SCF and TPO promote ID2 and HIF-1α expression in a feed-forward loop to ...
Fic. 8.— ncp loop (a) channel maps, (6) scf maps, and (c)
Flowchart for the SCF method. | Download Scientific Diagram
Flow chart of the SC-FLOSIC algorithm presented in this work. Loop (1 ...
"Is it possible to bypass the self-consistent field (SCF) loop in ...
SCF 泛素连接酶复合物的全系统拆卸和组装,Cell - X-MOL
Overall structure of SCF and its relationship with other cytokines. ( A ...
Cell cycle - Role of SCF complex in cell cycle regulation Pathway Map ...
1. General flowchart of the SCF method. | Download Scientific Diagram
Architecture of the SCF-Net and the SCF module. The local context ...
(left) Measured (black dots) and simulated open-loop (gray line) SCF ...
SCF routing performance factors. | Download Scientific Diagram
(a) Cross-section image of the SCF and (b) schematic diagram of the ...
SCF Development Stages. | Download Scientific Diagram
The SCF mechanism 1 | Download Scientific Diagram
Flow diagram of the SCF algorithm showing how the equations are to be ...
SCF complexes under developmental or stress inductions. (A) Cellular ...
1: An illustration of the SCF procedure [16] . | Download Scientific ...
Cell cycle Role of SCF complex in cell cycle regulation which is the ...
Structures of SCF stationary phases | Download Scientific Diagram
(a) Detail of the core of the SCF with three bridges. Cross-section of ...
CFC based implementation of the SCF example with Calc/Logic function ...
Distribution of SCF values around the hole for different fiber ...
SCF CORE - Secure Controls Framework
Serverless 指南: 云函数 SCF 终极指南
Illustration of the SCF procedure of our code. | Download Scientific ...
1. The SCF iteration. | Download Scientific Diagram
1: Schematic representation of the SCF iteration flowchart. | Download ...
“时尚新生 Close the Loop” SCF x H&M设计大赛
shows a 3D sketch of the SCF in Configurations 1 and 2. In both ...
SCF 2.0: 4 Flows Combination Mode. • SCF 3.0: Platform 'N + N' Mode ...
ShiAlchemy
The self-consistent-field cycle — Siesta Documentation
howto:cdft [CP2K Open Source Molecular Dynamics ]
OT_talk slides
Schematic representation of post-SCF calculations of inter-and ...
Partial diagram of the "Signaling by SCF-KIT" pathway showing the ...
3: Flow chart for the self-consistent field (SCF) treatment of open ...
pwscf_loop_word文档在线阅读与下载_无忧文档
Schematic overview of the proposed method. | Download Scientific Diagram
| A scheme showing the SCF/KIT signal transduction. (1) SCF/KIT ...
Imaginary-Time Time-Dependent Density Functional Theory - cflamant
c-Kit/SCF信号轴概述及病理生理作用 - 知乎
c-Kit/SCF信号轴概述及病理生理作用|干细胞_新浪财经_新浪网
The architecture of the SCF. | Download Scientific Diagram
Architecture of improved SCF-Net. | Download Scientific Diagram
简述对SCF-Net的个人理解-CSDN博客
Evaluation of single‐cell loops predicted by scGSLoop. a) Highly robust ...
In-house hands-on tutorial — STATE hands-on tutorial documentation
40.1 Standard settings ‣ User’s manual of OpenMX Ver. 4.0
SFC states and possible transitions performed by the open-loop control ...
VistaStar – Adjustable Dreamy Nebula Ceiling Light
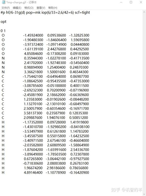
技术篇-底物结构的电荷构建 - 知乎
STM32 SCF文件-CSDN博客
Control-loop-based SFCL control. | Download Scientific Diagram
什么是退耦器件?怎样去选择退耦器件呢? - 世界半导体论坛
PCB基本的器件管脚类型及其补偿说明 - 世界半导体论坛
Nature子刊:早期逆境对儿童期脑结构与功能连接耦合的影响_methylclock-CSDN博客
MedeA-VASP计算篇2:表面优化_哔哩哔哩_bilibili