Showing 120 of 120on this page. Filters & sort apply to loaded results; URL updates for sharing.120 of 120 on this page
Abstract Rule 22 Elementary cellular automata example implementation ...
LAW FIRMS ADVERTISING FOR CANDIDATES: Take note of Rule 22.1.11.1 | Di ...
Rule 22 - Visibility of Lights | PDF | Home & Garden | Science ...
[Audio Rules of Court] RULE 22 - Computation of Time - YouTube
Rule 22 | Rules of Court | 2019 Amendments to the Rules of Civil ...
Rule of 72 NoteTakingGuide 2.4.5.L1 - Rule of 72 Note Taking Guide 1 ...
Rule 21 and 22 - ENGINEERING - Strength of Materials - Studocu
Rule 22 ut rules enc - r | PDF
Rule 22 Reflection - Reflection No._ 22 _ | Visibility of Lights ...
15: Rule 22 phase transition. | Download Scientific Diagram
Rule 22 - Visibility of lights
Rule 22 – Rules of the Road (Visibility of Lights) - YouTube
Rule 22 - Computation of Time | PDF | Violence
Rule 22 Request Form | Clerk of Courts
Order 22 Rule 3 Application | PDF | Affidavit | Evidence
English Grammar Rule - 22 💫💥 By Priscilla Ma'am 💥 - YouTube
120 Rules of English Grammar - Rule 22 - #bank #sbi #rbi #ssc #ibps # ...
Automatic Disclosures: a Primer on NH Rule 22 - Docest
Rem1 Obra Notes Rule 15 - Rule 22 | PDF | Pleading | Prejudice (Legal Term)
Order 21, Rule 22 CPC
Rule 22 starting from initial configuration 1001 (Left) versus starting ...
Rule 22 – The End Lyrics | Genius Lyrics
RULE 22 (fillable) REQUEST | Jody M. Higdon
CPC Order 41 Rule 22 Cross Objection (Part-2) | Free Judiciary Coaching ...
Rule 22 - Computation of Time | PDF | Complaint | Judiciaries
Rule 22 - If Trees Could Talk Chords By Fish In A Birdcage & Kristina ...
CCS Conduct Rule 22 Consumption of Intoxicating Drinks Exemptions | PDF ...
Legal representative taken on record application Order 22 Rule 2 of CPC ...
Rule 22 and Piecemeal Pleadings - Barnard | Law Firm
Fillable Online General Rule 22 Request Form - DeKalb County State ...
Rule 30 (top), rule 3 (middle) and rule 22 (bottom) ECAs showing that ...
Sensitivity of Rule 22 to initial configurations under the Gray-code ...
Application for Substitution of Legal Heirs I Order 22 Rule 3 Plaintiff ...
RULE 22A NOTICE AND PRE-TRIAL MINUTES - CASE NO: [INSERT CASE NO] - Studocu
FORM 109 NOTES ( RULE 22-2 (2) AND (7) ) - Fill and Sign Printable ...
LM1561 - Notice Regarding Rule 22A Conference and Trial Preparation ...
Makiletse Mmola on LinkedIn: I fully support the idea that Rule 22.1.5 ...
Di Gibson on LinkedIn: ATTORNEYS / CANDIDATE ATTORNEYS What is a Rule ...
Rule 22; Computation of Time; CIVIL PROCEDURE [AUDIO CODAL] - YouTube
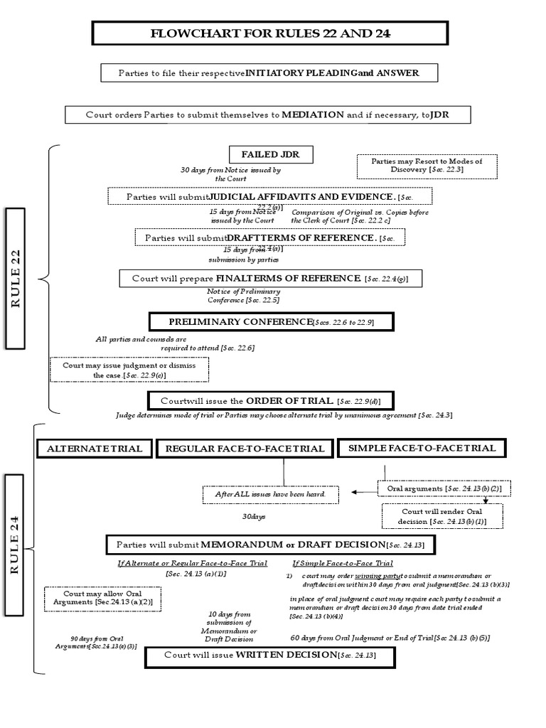
5 manual for lawyers and parties rules 22 and 24 (1) | DOCX
Flowchart of Rules 22 and 24 | PDF | Judgment (Law) | Trials
Rule 22: Counting Days in Civil Procedure | PDF | Complaint | Judiciaries
PPT - SEC Rule 22c-2 PowerPoint Presentation, free download - ID:1088907
Rules 22 & 24 Flowchart | PDF | Judgment (Law) | Common Law
Fillable Online Form 22 (Rule 7-1 (1) ) Fax Email Print - pdfFiller
Rule 22: Quotation Marks by Evan-Moor Educational Publishers | TPT
What is the 22 Rule? - YouTube
Solved In 1971, the Senate passed Rule 22. What was Rule | Chegg.com
Standard 22 Notes 1 | PDF | African American Civil Rights Movement ...
illustration of rule r2.2. | Download Scientific Diagram
UNIT 22 - notes - ECO2003F - Studocu
Rule 222 Disclosure Cook County5 | PDF | Discovery (Law) | Witness
Notice per Rule 35(5) - Supreme Court of South Africa - Studocu
Rule 23 (Section 22-29) | PDF | Deposition (Law) | Civil Law (Common Law)
Rule 22: Comma Usage in Specific Instances by Evan-Moor | TPT
100 Most Important Rules |Rule - 22 "ENOUGH" | English Grammar | Pankaj ...
Rule 222 -- from Wolfram MathWorld
The return map of rule 22. | Download Scientific Diagram
Sigma Rule #22 #shortsvideo #rules #tiktok - YouTube
Application Under Order 22, Rule 9 (2), C. P. C. | PDF
Form - I - (See Rule 22) Abstracts of The Minimum Wages Act 1948, and ...
Steam Community :: Guide :: Rule Book: 11th Edition of Advanced Troll Chess
Eng 22 EXAM NOTES | PDF
NCIS Gibbs rule #22 | Ncis gibbs rules, Gibbs rules, Ncis cast
The Password Game Rule 22: Your Password Must Contain One of the ...
Rule 22: Visibility Of Lights | Navigation Rules Of The Road - YouTube
Understanding Memorandum Checks: BP 22 Explained | Course Hero
Rule 22: Using "Is" & "Are" by Evan-Moor Educational Publishers | TPT
Rule 22: No rounded, pointed or decorated bars — AddTwo
Rule #22 social media... CaseyRenae.com | Social media, Etiquette, Language
The attractor of rule 22. | Download Scientific Diagram
Rule 22: Direct Quotations (quotation marks, capitals, commas) | TPT
30 Useful Nursing Note Samples (+Templates) - TemplateArchive
BP 22 Notes | PDF | Fraud | Money
Note 222 | PDF
PPT - PART XIV SERVICES UNDER THE UNION AND THE STATES CHAPTER I ...
Serving Area Table. - ppt download
1 publication rules22-24 (4) | PDF
Rules of Procedure 101 | PPTX
Rules Of The Road Lights at Branden Chandler blog
PPT - ALWD Citation Manual PowerPoint Presentation, free download - ID ...
Notes for The World of Simple Programs: A New Kind of Science | Online ...
DO 40-03 [ Amending THE Implementing Rules OF BOOK V] - Republic of the ...
Rule-22: Third conditional sentence in right from of the verbs special ...
PPT - OST184 Records Management PowerPoint Presentation, free download ...
PPT - The New Part 226 Rules: Highlights PowerPoint Presentation, free ...
Federal Rules of Civil Procedure Outline 2.docx - 1/6/ Interpleader ...
What Are Jordan Peterson's 42 Rules For Life?| Best Guidance
RR 22-2020 (Notice of Discrepancy) PDF | PDF | Internal Revenue Service ...
Law and language and perspective - SCOTTISH LEGAL SYSTEM 2022 - 23 ...
How to compress cellular automata images
3. THE General Rules OF Interpretation - LEGAL STATUS OF RULES OF ...
Application Under Order 22, Rule, 4, C. P. C. | PDF | Lawsuit ...
Christie Colaianni on LinkedIn: NSWCPD is ahead of the curve and ...
spelling-rule-22 | Spelling rules, Spelling lessons, Teaching spelling
The Family Proceedings (Amendment) (No.2) Rules 2008