Showing 120 of 120on this page. Filters & sort apply to loaded results; URL updates for sharing.120 of 120 on this page
R1. In R, you can use rmultinom to generate random | Chegg.com
Error in rmultinom · Issue #13 · Danko-Lab/TED · GitHub
Multinomial distribution | Properties, proofs, exercises
Multinomial Distribution in R - GeeksforGeeks
Multinomial Theorem _ Brilliant Math & Science Wiki | Combinatorics ...
Simulating Distributions & Variables In R
PPT - Analisis Data Kategori PowerPoint Presentation, free download ...
probability - Expected value of the largest item in a multinomial ...
How to use the MULTINOMIAL function
logistic - Simulating Multinomial Logit Data with R - Cross Validated
Understanding Multinomial Distribution for Multiple Outcomes | Course Hero
Multinomial theorem - YouTube
Multinomial Distribution | Real Statistics Using Excel
Resampling Assemblage Counts | Musings on Quantitative Palaeoecology
Output of multinom.mc for a binomial and a multinomial example ...
Multinom Package In R at David Oldham blog
How to Use the Multinomial Distribution in R - MAKE ME ANALYST
【MULTINOMIAL】函数使用技巧 - 知乎
Multinomio - Qué es, definición y concepto
PPT - Formal Multinomial and Multiple-Bernoulli Language Models ...
multinomial distribution - R - Interpreting the multinom output using ...
Speed boosting in R: Writing efficient code & parallel programming | R ...
Multinomial Theorem
Function Reference: multinom
Probability Distributions in R - GeeksforGeeks
Ordinal and Multinomial Regression
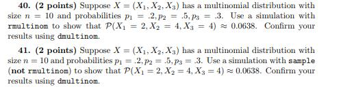
Solved 40. (2 points) Suppose X = (Xi, X2,X3) has a | Chegg.com
How to Use MULTINOMIAL() function in Google Sheets · Better Sheets
How to use Rstudio to simulate 1000 multinomial | Chegg.com
Homework-4.pdf - Homework 4 Problem 1 Suppose X = X1 X2 X3 has a ...
R : Multinomial regression using multinom function in R - YouTube
Residuals and diagnostics for multinomial regression models - Gerber ...
9 Multinomial Distribution and Chi-squared Test | Brownian Motion and ...
[Must Learning with R_8] ChB1. 기초통계이론 1단계 - Mathematics, Statistics_Park
Multinomial Theorem: Definition, Concepts & Solved Examples - Embibe
Multinomial Expansion
A4. 다항분포(multinomial distribution) - Must Learning with R (개정판)
Lec1 2 5 Example Multinom - YouTube
Multinomial Regression
Chapter 6 Hypothesis Testing | Exploring Data Science with R and the ...
(Solved) - Transcribed image text : -IR > Suppose each of a series of ...
Help to understand and apply the multinomial theorem - Mathematics ...
Multinomial Coefficient -- from Wolfram MathWorld
Chapter 6 Joint Distributions | bookdown-demo.knit
The Little Book of LDA
Multinomial coefficients
Solved > 5. Study the bootstrap discussion in Rice, page | Chegg.com
r - Differences between multinomial models (mgcv and nnet) - Cross ...
Definition and examples multinomial | define multinomial - algebra ...
Probability cheatsheet | PDF
R : Fitted values for multinom in R: Coefficients for Reference ...
Homework-4.pdf - Homework 4 Dr. Purna Gamage Problem 1 Suppose X = X1 ...
Supervised Classification, Logistic and Multinomial | Freakonometrics
State-Space Modelling of Multinomially Distributed Data • multinomialTS
PPT - Being Warren Buffett: a classroom and computer simulation of the ...
1 Generative Models for Discrete Data – Modern Statistics for Modern ...
Συνάρτηση MULTINOMIAL Excel
Solved And R code | Chegg.com
Modern Statistics for Modern Biology - 1 Generative Models for Discrete ...
Probability of an allele being undetected for different numbers of ...
Variable selection • vimix
Multivariable Functions Lecture 1 Part 2: Functions from Rn to Rm - YouTube
Empirical Bayes Deconvolution • deconvolveR
Exploring the underlying theory of the chi-square test through ...
Multi nomial pdf | PPT
R : How to set specific contrasts in multinom() in nnet package? - YouTube
Econometrics // R - Multinominal-Karteikarten | Quizlet
Chapter 8 Modeling Categorical Time Series | Dynamic Time Series Models ...
Visualizing the Correlations of a Matrix | Statistically Significant
Modern Statistics for Modern Biology - 2 Statistical Modeling
Inverse CDF Transform Sampling - Amir Masoud Sefidian - Sefidian Academy
Plot row standard deviations versus rank of row means — meanSdPlot ...
Module 5 Exploratory data analysis 2: Probability distributions for ...
Fig. S3. Multinomial exact test undertaken with the program multinom ...
Multinomial theorem
Multinomial | meaning of MULTINOMIAL - YouTube
bayesian - Interpretation of a classic multinomial logit vs. BMA of ...
Solved (30 points) Assume a finite mixture model with | Chegg.com
Multinomial coefficient
[Code implementation] Gaussian mixture · Go's BLOG
R语言使用nnet包的multinom函数构建无序多分类logistic回归模型、使用回归系数及其标准误计算每个系数对应的Z统计量的值 ...
A CLASSER
probability - Multinomial regression using multinom function in R ...
R - Notes
Result of running package nnet::multinom. | Download Scientific Diagram
dataframe - Sort from smallest to largest the first column of a table ...
Multinomio - YouTube
Teorema Multinom - YouTube
Blog | University of Hawaiʻi Reed Lab | A website for the Reed Lab in ...
sorting - How to sort from smallest to largest the first row and the ...
Generate figures • RITHMS
Solved In class we studied the χ2 goodness-of-fit test that | Chegg.com
Inversion method to generate random variables – Statistics Blog
the data diary - Gauss’ Goal Generation
Lab 1
Lobry (1995) JME 40:326
Estimation of Gaussian graphical model with multipartite blockwise ...