Showing 120 of 120on this page. Filters & sort apply to loaded results; URL updates for sharing.120 of 120 on this page
Revised Assignment UBLC 05162023 | PDF | Injunction | Legal Concepts
Revised Assignment 6 Template | PDF
Revised Assignment 1 (1) | PDF | Microsoft Excel | Computing
Revised Assignment 2 | PDF | Economies | Business
Revised Assignment Unit 35 - Professional Engineering Management | PDF ...
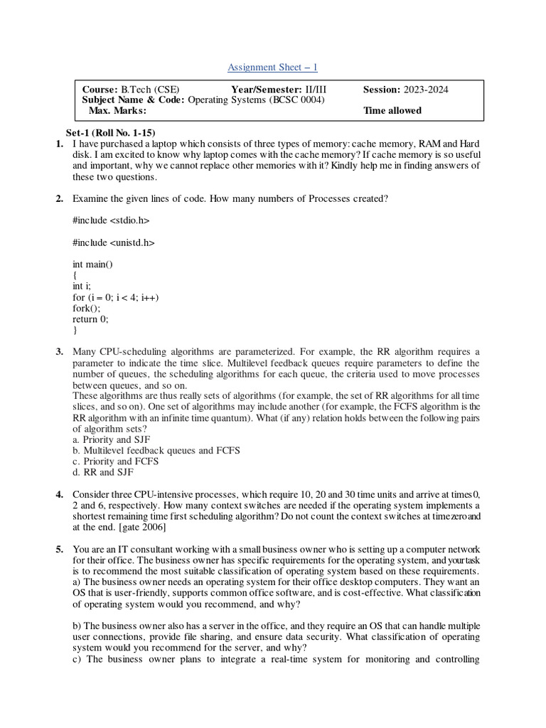
Revised Assignment | PDF | Scheduling (Computing) | Operating System
Revised assignment A - School of Advancement Foundations 1: Developing ...
Revised - Assignment 2 | PDF | Data | Information
Revised Assignment One | PDF
Revised Assignment One PDF | PDF | Community Organizing | Conversation
(PDF) REVISED ONES ASSIGNMENT METHOD FOR SOLVING ASSIGNMENT PROBLEM
Revised Group Assignment | PDF
Revised - Week 10 Assignment Template - Week 10 Assignment Template ...
Revised Assignment #4 2 1 .docx - *This week's assignment instructions ...
Revised Assignment One (1) Third Time | PDF | Espionage | Happiness
The revised draft (RD1) is the culminating assignment of our first m | DOCX
REVISED ASSIGNMENT 6 - 6b11fe8af20150d01d9b3dc4d838 - 250509 - 170457 ...
Revised Assignment One | PDF | Friends | Leisure
Assignment topics and revised guideline - Assignment topics Section One ...
Revised assignment 1 - Computer Science - Studocu
Revised Assignment No 4 | PDF | Aesthetics | Creativity
revised assignment - YouTube
FPX4040 ASSIGNMENT 2 | STAFF UPDATE REVISED | NURS-FPX4040 Staff Update ...
Assignment 2 revised - YouTube
Revised Homework Assignments Math 100A/Fall 2005 We have
53692 - revised - ASSIGNMENT/ TUGASAN - Studocu
Revised Guidelines - Assignments | PDF
Assignment (Revised) | PDF
Writing Revision Assignment - English-for
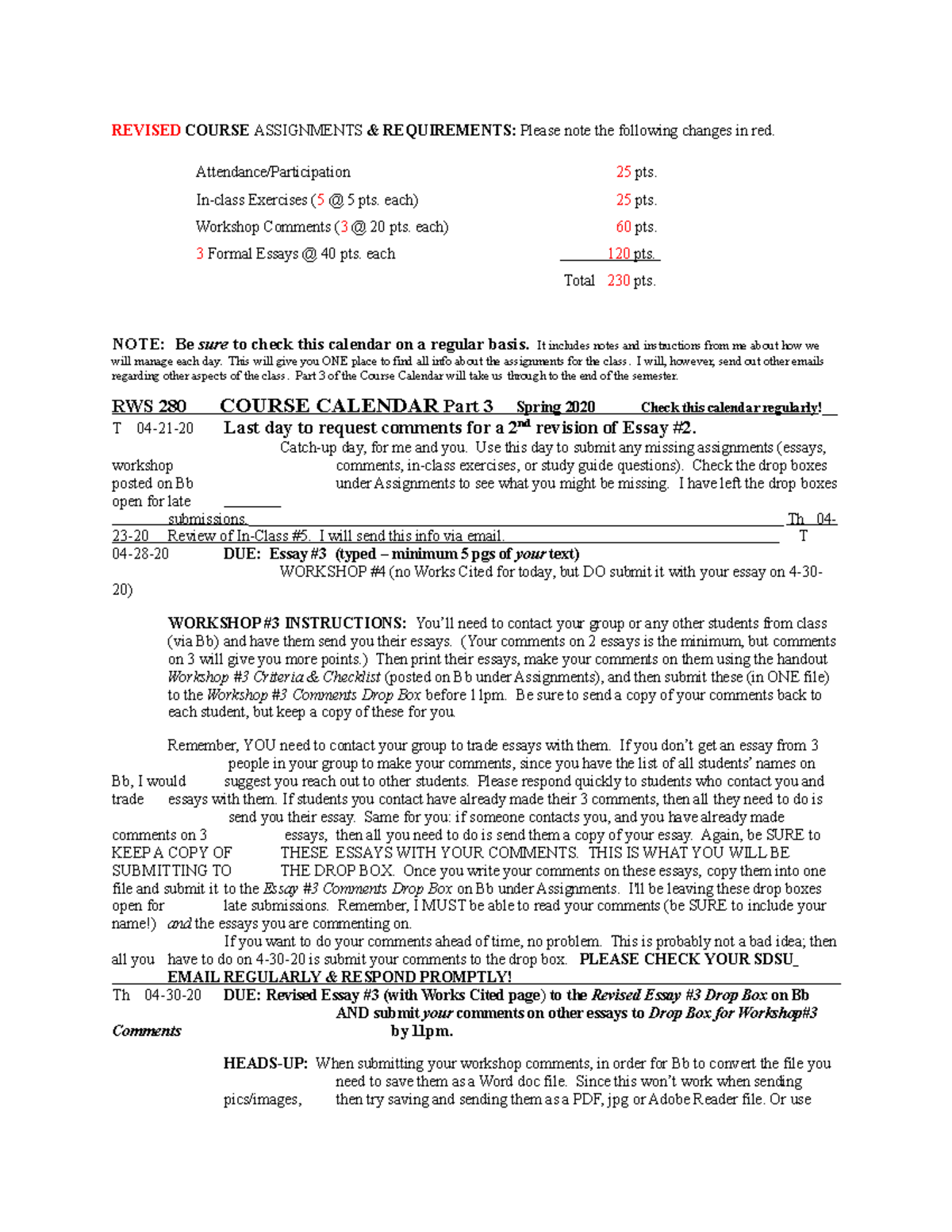
Revised Course Calendar Part 3 - REVISED COURSE ASSIGNMENTS ...
Assignment (revised for winter 2021) - Assignment Worth 8% of the ...
PPT - Reflective Nursing Assignment Help: Expert Work Instantly ...
PPT - How to Revise Your Assignment the Right Way PowerPoint ...
PPT - 9 Tips On How To Revise Your Assignment Effectively PowerPoint ...
Revised Plan to Implement Assignment. Annotations were added for each ...
Examining Sample Assignment 1: Summary and Analysis β Reading and ...
Revised Stamp Vector Art, Icons, and Graphics for Free Download
Solved Represent the revised assignments with visual | Chegg.com
Revised Title: Comprehensive Assignments Overview: 713, 420, 214, 848 ...
Revision Assignment - You will have 1 hour to complete this activity ...
Revision Assignment Average | PDF
Academic Year 2023-24: Revision Assignment | PDF
How to Revise Your Assignment the Right Way
Revised Research Work - This is my academic account for uploading my ...
Revision Assignment - Student Names: ___________________ Date ...
Assignment of Remedial Class 2016 | PDF
Final Assignment Revision Posted on Sunday, May 18, 2014 !.docx
PPT - Engineering Assignment Help A Step-by-Step Approach to Success ...
9 Tips On How To Revise Your Assignment Effectively
Revision Assignment Class 1 | PDF
Revision Assignment Final 1 | PDF
Revision cover letter assignment sheet | PDF
Revise and amend your Week 4 Key Assignment by adding what you.docx
Review, Reflect and Revise Assignment (Updated) | PDF
Revision - graded assignment - Revision There are two main types of ...
Assignment InstructionsWe have read and reviewed Chapters 1 and .docx
Vimbai High School Revision Assignment | PDF | Equations | Formula
Assignment (2) Revision | PDF
REDO Assignment Note by Teach Around the Clock | TPT
XI Revision Assignment | PDF
Solved Overview This assignment will be a rework of the | Chegg.com
Reflection and Revision for Assignment Writing | #GoOpenVA
4 Revision Assignment | PDF | Foods | Digestion
REVISED
Revisely New assignment - Revisely
US second-quarter GDP revised higher as businesses boost investment in ...
Solved: Science 14: Module 4 2 Assignment Booklet 4A 1 _4. Which of the ...
Revisionist Class Assignment | PDF
A student's modifications in the final assignment (Cycle 2) | Download ...
Revision Assignment worksheet | Live Worksheets
DST 500: Final Assignment Rubric for A History of Madness - Studocu
Assignment Redo | PDF
Solved REVISE ASSIGNMENT AND ASNWER CORRECTLYBELOW IS THE | Chegg.com
Assignment Restoration | PDF
DO 114 s2018 - Revised Guidelines for Provisional Accreditation of DPWH ...
Revised Corporation Code of the Philippines: General Provisions ...
Solved: The classifcation system was revised after scientists ...
EDU1 Application Form for Educator Post - Revised 2024 - Studocu
Revision - assignment 7081230 | Teacher David | Live
Revision - assignment worksheet | Live Worksheets
revision assignment - ESL worksheet by soankry
Post-Judgment Remedies and Appeals Guide | PDF | Appeal | Judgment (Law)
SOLUTION: Assignment.worksheet.revised - Studypool
Article-Review-Revised-Assignment TH .docx - MGMT2001 ARTICLE ...
How to Revise an Essay: Key Strategies for Effective Editing
How to Rewrite Assignments and Essays Effectively
How Students Can Rewrite Their Assignments - Worthy Tutors
Document Overview and Analysis | PDF
Effective Tips for Revising Assignments: Homework, Test Changes ...
Achieve > Add notes and reviewer feedback to your revision plan for a ...
Revising Poems Assignement | PDF
Revision Assignment-1 | PDF
Strategies, Hints, and Tips for Revising and Editing Essays
How to Revise: A Step-By-Step Guide to Revising Your Writing - WRITERS ...
Special Exhibition: On Assignment, Dallas Times Herald 1963 | Visit Dallas
To prepare for this Assignment, review the readings | Chegg.com
Assignment.docx eng comp module 5 - Assignment: Feedback and Revision ...
ENG110 Unit 6 Assignment: Revising & Editing Template Guide - Studocu
US economy notches fastest growth pace in nearly two years in second ...
BNSS Assignment: Concept of Revision vs. Appeal & Limitation Cases ...
Victory Capital sweetens $8.6 billion Janus Henderson bid with more ...
UN Hormuz vote now expected next week; China opposes authorization of ...
BUKSU - ππ ππ«π π‘π’π«π’π§π ! π£π£π£ π πππ¦π’π§π’π¬ππ«πππ’π―π ππ’ππ πππ (πππ) - ππ₯ππ§π ...
WHY AND HOW TO REVISE
A guide to editing your assignments properly
Homeland Security to sweep New Orleans next week | CNN Politics
Budget Fast Track - All For One
Understanding Coding Systems: ICD-10, CPT, and PCS Essentials | Course Hero
Solved: Figure 2 Figure 2 shows a sketch of the curve C with equation r ...
F-22s suddenly pulled from Super Bowl flyover due to βoperational ...
Revision Assignmeant | PDF | Tea | Rectangle
Johnson Matthey accepts 26% price cut on Honeywell deal as catalyst ...
DeKalb schools unveil second round of closure proposals
BLOG | MPL in English 21000
Exclusive: Russia raises August oil export plan after drone strikes ...
Vanderbilt fined after allowing fans to storm court after victory over ...